![]() |
|
| Visite: 2182 | Gradito: |
Leggi anche appunti:Diritto dell'informazione e della comunicazioneDIRITTO DELL'INFORMAZIONE E DELLA COMUNICAZIONE La Stampa La Le parole sono finestre (oppure muri)LE PAROLE SONO FINESTRE (OPPURE MURI) "Le parole sono finestre, oppure muri, ci "la comunicazione" - tesina"LA COMUNICAZIONE" TESINA INTRODUZIONE La |
![]() |
![]() |
"
TESINA
INTRODUZIONE
La parola comunicazione viene frequentemente utilizzata e non è facile dargli un unico significato perché rientra in tanti contesti differenti tra loro,come la filosofia,sociologia,psicologia, la biologia,la teoria dell'informazione ed altri.
Comunicare potrebbe significare trasmettere un'informazione a qualcuno tramite un mezzo dove gli agenti della comunicazione possono essere persone,esseri viventi o macchine. Un modello riassuntivo e schematico di come avviene la comunicazione è sicuramente quello di Shannon-Weaver che prevede:
messaggio segnale segnale messaggio
![]()
![]()
![]()
ricevuto
Sorgente trasmettitore canale ricevitore destinatario
![]()
Rumore
In particolare la sorgente formula il messaggio che viene inviato da un trasmettitore,attraverso un canale, sotto forma di segnale che può essere influenzato da rumori,poi il segnale arriva ad un ricevitore che fornisce al destinatario il messaggio iniziale.
La necessità di comunicare a grandi distanze ed in modo sempre più semplice e veloce,ha rappresentato per l'uomo,fin dai tempi più remoti,uno dei principali obbiettivi da raggiungere. Per questo motivo nel corso degl'anni grazie alla genialità delle mente umana e alle numerose scoperte scientifiche,le tecniche di comunicazione sono state perfezionate sempre più fino ad arrivare ad oggi in cui comunicare tra due punti distinti della terra,con i giusti strumenti,risulta estremamente facile. In particolare fino al diciottesimo secolo,la comunicazione è avvenuta prevalentemente tramite la lettura,le immagini e il comune parlare,dove riscontravano un grande importanza le opere dei numerosi e famosi scrittori che si sono susseguiti lungo questo periodo. A partire dal diciannovesimo secolo,l'uomo sempre più avido di nuove conoscenze e scoperte,incominciò a gettare le basi per quello che poi sarà,nel secolo successivo,il boom tecnologico. Basti pensare come durante l'ottocento con l'invenzione della pila di Volta,della dinamo e dei principi di Faraday si incominciò a comprendere come l'elettricità poteva essere indotta e trasportata su grandi distanze attraverso dei fili. Successivamente ci fu l'invenzione del telegrafo elettrico di Morse per poi arrivare all'invenzione del telefono di Meucci in cui il segnale vocale veniva trasformato in segnale elettrico, importanti furono le invenzione di Hertz per quanto riguarda la scoperta delle onde elettromagnetiche e la propagazione nell'etere di segnali elettrici che portarono all'invenzione della radio da parte di Marconi che diminuì le distanze oceaniche tra America ed Europa. Notevoli ed importanti furono anche le scoperte nel campo della cinematografia che portarono ad un nuovo modo di comunicare.
Infine un notevole contributo nel ventesimo secolo fu dato dalle due grandi guerre che alimentarono e sovvenzionarono le nuove scoperte,fino ad arrivare attorno agli anni '60,in piena guerra fredda, all'invenzione del computer e successivamente allo sviluppo del più grande strumento di comunicazione e cioè Internet.
ELETTRONICA
A partire dai primi anni del novecento si cercò di comunicare non più utilizzando dei fili ma sfruttando la propagazione delle onde elettromagnetiche via etere. In quegli anni infatti Guglielmo Marconi sulla base degli esperimenti condotti da Maxwell e da Hertz riuscì a creare un dispositivo,che prese il nome di radio, capace di trasmettere onde elettromagnetiche attraverso un'antenna, e di riceverle in un altro punto. Evento che rivoluzionò in quel periodo il modo di comunicare giocando anche un ruolo fondamentale durane le grandi guerre. Essendo quindi l'antenna l'elemento fondamentale della trasmissione via etere risulta importante capire il suo funzionamento.
L'ANTENNA
L'antenna è un dispositivo capace di irradiare e captare onde elettromagnetiche di conseguenza si può comportare sia da trasmettitore che da ricevitore. In particolare l'antenna prende anche il nome di trasduttore perché dato il segnale elettrico,che riceve dall'alimentatore, lo converte in onde elettromagnetiche,poi queste onde vengono captate da antenne riceventi che ritrasformano le onde in segnale elettrico. Inoltre grazie al principio di reciprocità,principio fondamentale dell'elettromagnetismo,un'antenna si può comportare sia da trasmittente che da ricevente.
Di fondamentale importanza per lo studio delle antenne reali e il radiatore isotropo,cioè un'antenna ideale puntiforme che irradia energia con uguale intensità in tutte le direzioni. Inoltre per lo studio delle antenne vengono utilizzati anche dei grafici tridimensionale che prendono il nome di solidi di radiazione che illustrano i punti di irradiazione dell'antenna ,anche se poi per semplicità questi grafici vengono sostituiti da diagrammi di radiazione ottenuti sezionando il solido con due piani ortogonali.
PARAMETRI DELL'ANTENNA
La direttività D di un'antenna è il rapporto tra la densità di potenza Smax prodotta nella direzione di massima irradiazione e la densità di potenza Sr prodotta a distanza r nella stessa direzione: D=Smax/Sr
Il guadagno G di un'antenna è legato alla direttività perché anche questo paramento si considera nel punto di massima irradiazione quindi risulta ad un punto t: G=smax/St
L'efficienza di un'antenna viene considerata perché come in tutti i dispositivi anche nelle antenne si hanno delle perdite. Infatti considerando la potenza di trasmissione Pt si può notare come sia diversa dalla potenza di alimentazione Pa perché c'è stata una perdita Pp di potenza,quindi risulta Pa=Pt+Pp,di qui dividendo tutto per Pa si ottiene il rapporto Pt/Pa che si indica con 'e' e prende il nome di efficienza o rendimento.
La resistenza di irradiazione di un'antenna dissipa parte della potenza irradiata e viene indicata con Rr=Pt/I2
Inoltre lungo una generica direzione di propagazione r i
campi elettrico e magnetico che compongono il campo di radiazione risultano
normali sia tra loro sia alla direzione r e sono legati dalla relazione E/H=η=![]()
In cui η risulta essere l'impedenza caratteristica dello spazio che coincide con quella del vuoto e vale 377
ANTENNA POSTA SUL SUOLO
Un campo elettromagnetico irradiato da un'antenna posta sul suolo subisce notevoli modifiche a causa della forma della terra,infatti l'onda irradiata si divide in onda diretta e in un'onda che incide il suolo e viene riflessa. Analizzando questa riflessione si può ipotizzare,facendo riferimento anche ai principi di ottica,che l'onda riflessa non è altro che l'onda diretta di un'antenna virtuale posta nel suolo al di sotto di quella reale,che prende il nome di antenna immagine. Di qui risulta che se l'antenna reale è disposta verticalmente al suolo allora la corrente è in fase con quella dell'antenna immagine, viceversa se l'antenna è posta orizzontalmente allora le due correnti sono fuori fase. Tutto ciò da origine al principiò dell'immagine grazie al quale l'antenna riesce a trasmettere onde elettromagnetiche utilizzando la terra come filo di ritorno con il quale si possono risolvere notevoli problemi riguardante l'istallazione di antenne sul suolo.
ALTEZZA DI UN'ANTENNA
Per calcolare l'altezza di un'antenna o almeno farci un idea di quando dovrebbe essere grande, la paragoniamo ad una linea aperta cioè una linea che non è chiusa su nessun carico o che è chiusa su un carico avente impedenza infinita per cui valgono gli stessi principi:
Z(d)=-jZocotg(βd)
Dove la distanza d in questo caso risulta essere proprio la distanza tra carico e generatore quindi uguale all'altezza dell'antenna:
Z(d)=-jZocotg(βh)
In cui Zo si annulla per h=λ/4 n (con n dispari)
Imponiamo quindi h=λ/4 in cui λ(lunghezza d'onda) è uguale al rapporto tra c(velocità della luce) ed f(frequenza). λ=c/f
Quindi l'altezza dipende da λ che tanto è più piccola quando è più è grande la frequenza,per avere un'antenna piccola bisogna trasmettere ad alte frequenze e non a caso le antenne trasmettono con frequenze nell'ordine dei Mhz e Ghz
TIPI DI ANTENNE
La prima antenna fu inventata da hertz seguito da Marconi ed oggi tra le più importanti troviamo quella a cortina di dipoli che è una tipologia di quella hertziana e l'antenna yagi:
Il dipolo hertziano è costituito da un conduttore rettilineo di lunghezza l con gli estremi aperti ed è alimentato al centro da un generatore di tensione,il quale genera un corrente che si propaga con velocità u lungo il dipolo.

Questo dipolo paragonato ad una linea aperta presenta in corrispondenza degli estremi,essendo la corrente nulla,dei nodi di corrente e dei ventri di tensione per cui si ha una riflessione totale che da origine ad un regime stazionario. Inoltre il dipolo hertziano si comporta in modo tale da avere un'impedenza che dipende dalla frequenza, di qui risulta che se la frequenza è tale che in corrispondenza del generatore l'impedenza si annulla,la corrente è massima(condizione di risonanza serie) e il dipolo irradia il massimo campo elettromagnetico.
Il dipolo marconicano detto anche dipolo in quarto d'onda deriva da quello hertziano e presenta un solo conduttore verticale con l'estremo superiore aperto ed alimentato tra l'estremo inferiore e il suolo,proprio per questo sfrutta il principio dell'immagine.

Assimilando anche questo dipolo ad una linea aperta anch'essa presenta in un generico punto a distanza d dall'estremo superiore un'impedenza d'ingresso puramente reattiva mentre affinché nell'antenna si possa stabilire un regime stazionario di risonanza serie,cioè punto in cui viene irradiato il massimo campo magnetico,l'impedenza dell'estremo inferiore cioè del generatore deve essere nulla(nodo di corrente ventre di tensione).
La cortina di dipoli è un'antenna direttiva costituita da un allineamento parallelo di dipoli in cui ciascuno di essi è sostituito da un allineamento collineare di dipoli.

In particolare i dipoli vengono alimentati in modo che le correnti che li percorrono siano tra loro in fase e della stessa ampiezza,però visto che la fase della tensione lungo una linea aperta si inverte ogni λ/2 ,per alimentare i dipoli con la stessa intensità e con la stessa fase gli attacchi tra i dipoli e la linea sono invertiti ogni λ/2:

La linea è alimentata al centro per ridurre al minimo la distanza tra il punto di alimentazione e l'ultimo dipolo. Inoltre dato n il numero di dipoli complessivi che compone la cortina,si può dimostrare che il guadagno G di questo tipo di antenna è circa 2n volte quello di un dipolo hertziano.
L'antenna Yagi-uda: quando si vuole puntare l'antenna direttamente verso il trasmettitore conviene utilizzare antenne direttive sia sul piano orizzontale che sul piano verticale,un dispositivo con queste caratteristiche è proprio l'antenna yagi. Queste antenne sono le più diffuse in tutto il mondo e sono utilizzate maggiormente per la ricezione dei segnali televisivi. Gli elementi essenziali sono:il dipolo che può essere sia λ/2 che ripiegato,il riflettore che si trova dietro al dipolo e poi vi sono i direttori davanti al dipolo.

Il dipolo viene dimensionato affinché lavori su una certa frequenza e la resistenza di irradiazione può dipendere sia dalla distanza degli elementi associati,sia dal rapporto tra lunghezza e diametro del materiale usato. Il riflettore è l'elemento parasita(non viene eccitato direttamente) più lungo è posto parallelo al radiatore ed ha il compito di riflettere il segnale a radiofrequenza emesso dal dipolo nella direzione dello stesso al fine di convogliate in avanti la massima intensità del segnale. Il direttore invece è l'elemento parassita più corto ed è posizionato parallelamente al dipolo e provoca una reazione tale da dirigere il segnale a radiofrequenza nella direzione del dipolo, in questo modo il lobo isotropico del dipolo si sposta in avanti in modo tale che l'angolo d'irradiazione si a di circa 180°.
SISTEMI
Dopo l'avvento dei primi calcolatori e in particolare con la nascita negli anni settanta del personal computer nacque anche l'esigenza di collegare queste macchine e di metterle in comunicazione. L'iniziativa fu presa dal dipartimento di difesa statunitense(in piena guerra fredda) per scopi militari nacque cosi la prima rete l'arpanet che dopo fu utilizzata dall'università per i suoi studi,quindi a livello civile, mentre ne fu costruita una nuova(Milnet) per la difesa. Insieme alla nascita delle prime reti nacque anche la prima raccolta di protocolli per regolare il trasferimento dei pacchetti, Internet Protocol Suite, che verte a sua volta su altri due protocolli primari, il Transmission Control Protocol (tcp) e l'Internet Protocol (ip). Tutti i protocolli che nacquero successivamente furono riuniti tutti sotto un unico documento o standard chiamato IEEE(Institute of Electrical and Electronics Engineers).
TIPOLOGIE DI RETE
Oggi esistono una grande varietà di tipi di rete anche se le più importanti e quelle più utilizzate sono:
LAN(Local Area Network) è una rete locale in cui sono collegati tra di loro in modo cablato :computer,periferiche come le stampanti e vari dispositivi di interconnessione. La grandezza di questa rete non raggiunge quasi mai il raggio di un chilometro e proprio per le sue dimensioni contenute favorisce la trasmissione dei dati in tempi molto rapidi infatti si può raggiungere la velocità di 100 Mbps e in alcuni casi particolari anche 1Gbps. Una condizione importante di questa rete è che non attraversi il suolo pubblico. Per quanto riguarda i tipi di cavi utilizzati per realizzare la rete la scelta cade quasi sempre sui cavi ethernet che sono cavi Utp di categoria 5.
WAN(Wide Area Network) è classificata come una rete geografica che viene generalmente utilizzata per connettere più reti locali dando origine ad una rete di vastissime dimensione infatti un esempio di questo tipo di rete è dato da internet che riunisce in se reti private, reti pubbliche e aziendali. Inizialmente questi tipo di rete era formata in modo cablata però con la diffusione dei satelliti il collegamento tra reti è stato fatto anche via etere. La wan viene generalmente usata per la connessione degli host, che formano una communication subnet, o più semplicemente subnet, in genere di proprietà delle compagnie telefoniche o ISP.
WLAN(Wireless Local Area Network)rete locale senza fili, realizzata grazie all'ausilio in parte o totale di apparati che sfruttano la tecnologia wireless, quindi in radio frequenza (RF).Con le reti WLAN viene introdotto il concetto di mobilità degli host, che è un sistema adottato soprattutto per scavalcare spesso, il problema dei cablaggi in vecchi edifici dove l'installazione di una LAN tradizionale è pressoché difficile e in alcuni casi impossibile.La tecnologia WLAN più usata è quella che adotta lo standard IEEE 802.11 di tipo 'a' e 'g'.
TOPOLOGIE DI RETE
Con il nome topologie si indica la realizzazione geometrica della rete cioè rappresenta il modo in cui gli host sono collegati tra loro. Le topologie più diffuse sono:
Rete a Stella Questo tipo di rete è formato da un dispositivo centrale che prende il nome di centro stella e può essere uno switch,un hub o un elaboratore a cui sono collegati tutti gli host della rete.

La rete a stella diventa di tipo esteso, quando al posto degli host ci sono altri elementi attivi come switch o hub che a loro volta hanno altri host connessi a loro. Tra i pregi di questa configurazione vi è sicuramente il fatto che se si rompe un host la rete non ne risente ed inoltre il centro stella offre una buona velocità di scambio con basso traffico di dati.
Rete a Bus Questo tipo di rete presenta una linea principale chiamata dorsale o backball ad alta velocità a cui sono collegati tutti gli host. Per quanto riguarda i vantaggi questa rete risulta essere molto economica per la costruzione e poi è una rete facilmente espansiva. Come svantaggi invece c'è il problema del traffico che si crea sulla linea principale provocando facili collisioni tra i frame.
![]()
Questo tipo di rete come tutte le reti ethernet viene gestito dallo
standard IEEE
Rete ad Anello Questo tipo di rete è formata da un insieme di host collegati l'uno con l'altro in modo da formare un anello. È una rete di facile realizzazione, poco costosa e molto espansibile,anche se nel caso in cui si dovesse danneggiare un host in modo tale da non funzionare, verrebbe compromessa la stabilità dell'intera rete.

Per quanto riguarda il problema delle collisioni,viene risolto con il token system definito nello standard per le reti ad anello IEEE 802.5. Con questo sistema quando una stazione deve trasmettere si impossessa del token,che sostanzialmente è un frame che gira sull'anello,ne modifica un bit per farlo diventare l'intestazione del frame da inviare,e una volta aver attraversato i vari host ed essere arrivato a destinazione viene copiato il contenuto in un buffer e rispedito al mittente che se deve inviare altri dati rifà l'operazione precedente se invece ha terminato allora ritrasforma l'intestazione del frame dati in token e lo rinvia sulla rete.
Rete ad Albero o Gerarchica Questa rete viene utilizzata qualora l'accesso alle risorse deve rispettare dei vincoli gerarchici, in cui il collegamento tra nodi dello stesso livello deve passare obbligatoriamente dal livello superiore. Quindi,in una struttura di questi tipo,il nodo padre può comunicare direttamente con i nodi figli,mentre i nodi fratelli ,quindi dello stesso livello, per comunicare devono passare attraverso il nodo padre .

Inoltre la presenza di un guasto su un nodo impedisce solo le
comunicazioni che devono passare per esso,quindi non danneggia tutta
la rete. In generale una struttura di questo tipo viene utilizzata dai provider
che gestiscono le risorse offerte ai client.
Rete a connessione totale Si tratta del modello topologico più completo,
in cui ogni nodo è direttamente collegato con tutti gli altri. Quindi esige di
una grande quantità di cavi calcolabili con la formula n(n-1)/2,anche se poi
grazie a ciò viene garantita una grande velocità di trasmissione,poco traffico
in caso di rottura di un nodo,è semplice trovare un'altra strada per trasmettere.
Rete a connessione parziale Si tratta di una rete in cui vengono eliminati i
i collegamenti meno importanti,anche se facendo ciò la rete perde affidabilità
sia perché ai nodi non viene garantito lo steso tempo di risposta sia perché in
di rottura di un nodo non è sempre possibile trasmettere attraverso un altro
collegamento.
MODELLO ISO/OSI
Come visto precedentemente oggi esistono una grande varietà di reti con proprie caratteristiche e con delle gestioni proprie. Al principio quando nacquero le prime reti informatiche,che venivano progettate da case costrittrici diverse,nel momento in cui si cercò di mettere in comunicazione queste reti si verificarono dei problemi di compatibilità dei protocolli perché anch'essi avevano struttura diversa a seconda della rete. Per ovviare a questo problema nacque dopo IEEE un'altra organizzazioni di standardizzazione come ISO (International Organization for Standardization) che propose un modello standard per le interconnessioni tra reti chiamato modello OSI (open system interconnection) in cui le varie fasi del processo di trasmissione venivano assegnate a sette livelli o starti,ciascuno dei quali appartengono dei protocolli. In particolare si dice che i livelli sono indipendenti l'uno con gli altri anche se poi sono cooperanti cioè l'output di un livello diviene l'input di un altro livello.
I sette livelli sono i seguenti:

1. LIVELLO FISICO
Il primo livello si occupa della parte hardware della comunicazione,provvede alla trasmissione dei bit che compongono la trama,definisce le caratteristiche elettriche del segnale, e dei mezzi trasmessivi,il tipo di segnale e le tensioni che caratterizzano i valori 1 e 0. Un esempio di protocollo di livello 1 è qeullo che gestisce la porta seriale Rs-232, anche se in modo generale il primo livello gestisce le seguenti trasmissioni:
- Trasmissione parallela: dove si inviano contemporaneamente 8 bit (1byte),
ognuno su di un filo singolo (8 fili), mentre un altro viene usato come comune per il riferimento di tensione (oltre alle linee di controllo).Si ottengono così velocità di trasmissione elevate ma per brevi distanze;
- Trasmissione seriale: dove il canale trasmissivo è unico, formato da una coppia di fili, e gli otto bit vengono inviati consecutivamente(uno per volta) ma, il circuito dell'interfaccia risulta più complesso, a causa delle operazioni di composizione/scomposizione di un byte in sequenza di bit e viceversa, anche se una trasmissione seriale può avvenire per distanze più lunghe.
L'invio di questi bit può essere eseguito a sua volta in ulteriori due modi diversi:
Trasmissione Asincrona : dove oltre all'invio del byte che
contiene i dati, si aggiungono dei bit, che determinano l'inizio e la fine
della trasmissione per ogni singolo carattere (bit di start e bit di stop). In
particolare il bit di start che ha una durata di persistenza pari a quella dei
bit dati è rappresentato con valore logico 0 mentre il bit di stop con valore
logico
Trasmissione Sincrona : dove i dati da trasmettere vengono organizzati in blocco e la sincronizzazione viene fatta all'inizio e mantenuta per tutta la durata del trasferimento, con l'invio di caratteri syn, corrispondenti ad una determinata configurazione del codice ASCII.
2. DATA LINK
Il livello di collegamento dati o data link svolge tre funzioni principali che sono: sincronizzazione fra trasmittente e ricevente,suddivisione dei messaggi in frame e correzione degli errori. Per quanto riguarda i protocolli di secondo livello si distinguono due tipi:
BCP(Byte Control Protocol) di tipo stop e wait con trame di lunghezza variabile in cui i campi sono separati da caratteri di controllo (soh,stx,etx). Di questo tipo fa parte il protocollo BSC che essendo un protocollo di secondo livello svolge le tre operazioni elencate precedentemente. Per quanto riguarda la sincronizzazione,trattandosi di un protocollo basato su una trasmissione sincrona,utilizza dei caratteri syn della tabella ASCII. Per quanto riguarda le trame che sono di lunghezza variabile,poiché è variabile il campo dati che verrà riconosciuto attraverso caratteri di inizio e fine, possono essere di diverso tipo a seconda se si lavora in una rete punto-punto o in una rete multi-punto. Per le trame che di una rete composta da soli due computer ad esempio non è necessario definire la testata cioè un campo che identifica l'indirizzo del ricevente,cosa che risulta essere importante nelle reti multi-punto dove è presente anche un master per evitare le collisioni. Inoltre il master può inviare sulla linea due tipi di trame una di polling(invito a trasmettere) oppure una di selecting(invito a ricevere). Questi tipi di trame contengono l'indirizzo della stazione ricevente,ricordando che ogni stazione ha due indirizzi uno per il polling e uno per il selecting. Per quanto riguarda il terzo punto e cioè la correzione degli errori, essendo questo un protocollo del tipo stop and wait, la trasmittente si aspetta dopo ogni trama inviata alla ricevente un carattere di ack o nack a seconda di come è avvenuta la trasmissione;
BOP(Bit Oriented Protocol) in cui si lavora direttamente sui bit e non sui caratteri,le trame sono di lunghezza fissa in cui una particolare sequenza di bit chiamata flag segnala l'inizio del frame. Un protocollo di questo tipo è Hdlc(high Data Level Control) che prevede la gestione di due tipi di collegamenti: quello punto a punto tra due stazioni peer-to-peer in cui la modalità di trasmissione è bilanciata e usa un protocollo full-duplex in cui le stazioni possono trasmettere e ricevere in qualsiasi momento; quello multi-punto tra stazioni primarie e secondarie in cui la modalità è sbilanciata e usa un protocollo di tipo half duplex. La struttura del frame hdlc prevede una serie di campi che sono: il primo e l'ultimo sono chiamati flag di inizio e flag di fine frame formati da una particolare composizione binaria, nel caso in cui un carattere del campo dati abbia la stessa configurazione binaria del flag allora viene fatta l'operazione di stuffing con cui viene inserito un bit 0 al centro dei bit 1,la ricevente nel momento in cui si accorge di questa modifica opera l'unstuffing cioè va a rimuovere quel bit 0,poi c'è il campo indirizzo di 8 bit contenente l'indirizzo della ricevente, il campo controllo che può identificare tre tipi di trame e cioè di informazione(contiene dati), di supervisione(contiene le risposte della ricvente ulla gestione del flusso), e non numerate(per inviare comandi a scopo di controllo come l'impostazione della modalità di connessione),poi c'è il campo dati vero e proprio seguito da un campo di crc di 16 bit. Per la correzione degli errori viene inviato un un segnale di ack o nack dopo ogni otto trame.
3. LIVELLO DI RETE
Il livello di rete o network layer ha il compito di trasmettere i pacchetti tra due host arbitrari che generalmente non sono direttamente connessi oppure che non fanno parte della stessa rete,inoltre riceve i datagrammi dal livello superiore(trasporto) forma i pacchetti e li fornisce al livello inferiore è cioè al datalink. Questo livello svolge le seguenti operazioni:
inoltro ovvero ricevere un pacchetto su una porta, immagazzinarlo e ritrasmetterlo su un'altra;
frammentazione,se un pacchetto ricevuto ha una dimensione eccessiva per la rete su cui deve essere trasmesso, il livello di rete lo divide in frammenti e si occupa di riassemblare i frammenti ricevuti al momento della consegna;
instradamento(routing),ovvero determinare il percorso per la trasmissione dei dati attraverso la rete. Nella maggior parte dei casi, questa funzione viene svolta dinamicamente tramite appositi algoritmo, e la scelta ricade tra la commutazione di pacchetto a datagramma (utilizzata in internet ) e a circuito virtuale(protocollo x.25);
alcuni protocolli di rete forniscono un servizio di gestione delle connessioni ovvero richiedono che venga stabilito un canale di comunicazione prima che due host possano scambiarsi dati. Un esempio di questi tipo di protocollo è x.25 di tipo a commutazione di pacchetto e consente ad un terminale di comunicare con altri attraverso una connessione svc paragonabile a quella telefonica, oppure una connessione pvc in cui la connessione rimane permanente simile ad una linea dedicata.
4. LIVELLO DI TRASPORTO
Il livello di trasporto o trasport layer deve assicurare una corretta trasmissione dei dati
e fornire un canale di comunicazione end-to-end
per i pacchetti secondo cui le operazioni relative ai protocolli di
comunicazione devono avvenire nei punti finali di un sistema di comunicazione.
Inoltre garantisce un corretto ordine di arrivo dei pacchetti perché potendo
prendere percorsi diversi nella rete possono anche arrivare a destinazione in
ordine di sfalsato e quindi i protocolli di livello
5. LIVELLO DI SESSIONE
Con il livello sessione o session layer si passa all'ultima parte della pila ISO/OSI, quella orientata al contenuto dell'informazione.
Vengono qui impartite le regole per aprire e chiudere una connessione logica su richiesta del livello superiore (protocolli di connessione), e quelle per il trasferimento dei dati (protocolli di comunicazione).
Durante la richiesta di apertura di un collegamento con un destinatario remoto, la connessione logica che verrà aperta tra il nodo e la rete verrà effettuata utilizzando il protocollo corrispondente al fine di stabilire anche la tipologia dello stesso collegamento (half o full duplex) .
Durante la fase di colloquio, il livello sessione continuerà la gestione della trasmissione affinché sia cadenzata da punti di sincronizzazione intermedi, al fine di far ripartire la trasmissione in caso di errore.
6. LIVELLO DI PRESENTAZIONE
Il livello di presentazione o presentation layer si occupa di elaborare i dati ricevuti in un formato standard, di offrire quindi servizi di comunicazione comuni, come ad esempio la crittografia, la compressione del testo e la riformattazione.Consente la gestione della sintassi e della semantica delle informazioni trasmesse, a differenza degli altri livelli che trattano le informazioni a livello di bit.
7. LIVELLO DI APPLICAZIONE
Il livello di applicazione è il livello più esterno del modello osi e contiene tutti i protocolli e i servizi che vengono utilizzati dall'utente nei propri programmi applicativi. Questo livello fornisce servizi come quello per il trasferimento file(ftp), di log in remoto(telnet),di posta elettronica (smtp) oppure servizi per la gestione dei terminali(Snmp).
STORIA
IL TOTALITARISMO
Il vocabolario della scienza politica dispone di molti termini per indicare regimi che limitano o cancellano la libertà dei cittadini come autoritarismo, dispotismo e la dittatura. Quando si parla di totalitarismo,tuttavia,si intende,qualcosa di più e di diverso: un'ideologia e un sistema politico caratterizzati dal completo controllo da parte dello stato sulla società e sugli individui. Nel secondo dopoguerra furono definiti quelli che sono i caratteri del totalitarismo:
la presenza di un'ideologia ufficiale,che pretende di porsi come assoluta e indiscutibile;
il potere assoluto di un partito unico di massa e del suo capo;
l'uso sistematico del terrore poliziesco;
il monopolio da parte del partito al potere dei mezzi di comunicazione di massa,utilizzati in un'opera assidua di propaganda;
il controllo,da parte del partito-stato di ogni settore della società e dimensione della vita quotidiana;
l'obiettivo di forgiare con la forza una società e un uomo 'nuovi'.
I regimi fascista,nazista e stalinista si distinsero soprattutto per questi ultimi tre punti dagli altri regimi, infatti con il totalitarismo,lo stato tende a penetrare nel sistema sociale,togliendogli ogni aspetto di autonomia(come sindacati,la scuola,il tempo libero,la cultura) e proponendosi non solo di controllare la vita politica,ma anche di manipolare e trasformare la coscienza degli individui. Il totalitarismo tende perciò a politicizzare le masse attribuendo a ogni fenomeno anche ad un eventi lontani dalla politica come lo sport un significato politico.
IL FASCISMO
Durante il primo dopoguerra l'Italia fu invasa da una
notevole crisi economica che si cercava di risolvere attraverso governi di
destra. Non a caso in Italia si guardava con interesse nel movimento dei fasce
di combattimento,fondato da Benito Mussolini il 23 marzo del 1919 dopo che era stato cacciato dal partito socialista.
Il successo di questo movimento crebbe con il passare degli anni fino a quando
incomincio il partito fascista iniziò la
sua ascesa, forse a causa anche di una leggerezza da parte di Giolitti. Infatti
in quegli anni la politica italiana era instabile e Giolitti punto ad applicare
la tecnica del trasformismo per attirare nella sua orbita politica i fascisti
per avere la maggioranza politica pensando che una volta al potere l'indole
violenta dei fascisti si fosse attenuata. Questo fu una grave errore perché
alle elezioni del 1921 i partito fascista ,presentatosi con il i liberali in
blocco,ottennero 31 seggi iniziano da li la sua ascesa. Infatti gia nel 1922
Mussolini ritenne che era venuto un momento di forza intraprendendo cosi la
famosa marcia su Roma,intanto il ministro Facta aveva consigliato al re
Vittorio Emanuele III di attuare lo stato d'assedio per fermare i fascisti
,però il re si rifiutò il miniostro Facta si dimise e a mussolini fu dato
l'incarico di formare il nuovo governo. Inizialmente il governo transitorio fu
formato anche da nazionalisti,liberali e popolari,però le cose cambiarono
perché nel 1923 con la legge 'acerbo', secondo cui i due terzi dei seggi
sarebbero andati al partito che avrebbe avuto la maggioranza dei voti purché
superiore al 25% ,condizionò notevolmente le nuove elezioni del
Nello stesso anno incominciò la fascistizzazione del paese in cui punto di partenza furono le leggi dette fascistissime secondo cui il capo del governo doveva rispondere solo al re,fu soppressa la libertà di associazione,sciogliendo tutti i partiti ad eccezione di quello fascista,furono soppresse le autonomie locali,furono chiusi i giornali antifascisti e tutta la stampa fu scrupolosamente controllata ed inoltre fu istituito un tribunale speciale per la difesa dello stato che manda a morte e al confine migliaia di persone che non condividevano le idee di Mussolini. Successivamente fu proibito lo sciopero,fu istituita la carta di lavoro ed inoltre per poter lavorare in enti statali bisognava essere iscritti al partito fascista. Dopo di che nacquero le corporazioni organismi appartenenti ai vari ministeri. Mussolini decise anche di risanare definitivamente i rapporti con la chiesa con i patti lateranensi con cui lo stato riconosceva alla chiesa la sovranità sulla città del vaticano e il papa accettava la sovranità dello stato italiano con capitale Roma. Di qui inizio la politica del consenso di Mussolini con cui il fascismo assunse le caratteristiche di uno stato totalitario. Per prima cos Mussolini assunse il controllo dell'informazione con la proibizione della stampa antifascista e con la diffusione delle sue idee con mezzi di comunicazione di massa come radio e cinematografo. Il partito controllava anche diverse organizzazioni di massa istituite dallo stesso regime per educare la gioventù italiana ai valori fascisti con i balilla,giovani e gruppi universitari fascisti. Di notevole importanza fu anche la diffusione nazionale del dopolavoro tra contadini e operai con l'organizzazione del tempo libero. In questo modo il fascismo assunse le caratteristiche basi del regime totalitario. Nonostante ciò gli storici giudicano quello fascista come un totalitarismo imperfetto perché i centri di potere come corona e papato non furono mai interamente assorbiti dal regime.
IL NAZISMO
LO STALINISMO
Dopo la morte di Lenin si apri nel 1924 il dibattito tra
Trotzkij e Stalin per la successione al poter. Trotzkij era per la rivoluzione
permanente cioè per la diffusione della rivoluzione anche negli altri paesi,
Stalin invece era per la realizzazione del socialismo in un solo paese. Alla
fine prevalse Stalin che dovette fronteggiare prima di tutto la crisi economica
che si era aggravata e di cui si accusava
ITALIANO
IL DECADENTISMO
Con il decadentismo si affermano in Europa vari movimenti artistici e letterari che si contrappongono a livello ideologico al positivismo scientifico. Si afferma negli ultimi decenni dell'ottocento e ha come manifesto la rivista francese "le decadent" 1880. Presenta varie correnti letterarie che presentando caratteristiche diverse ma sono accomunate dai seguenti fattori:
Sfiducia nella ragione;
Esaltazione dell'intuizione e dell'inconscio con l'influenza della psicanalisi si Freud;
Critica nei confronti delle convenzioni borghesi;
Rifiuto delle tecniche espressive tradizionale.
Con il decadentismo cambia il rapporto tra scrittore e lettore perché se fino a Verga,quindi con il verismo,lo scrittore aveva ancora un pubblico a cui comunicare un messaggio, con il decadentismo lo scrittore,essendo crollati i valori assoluti positivistici, non si riconosce più nella società e quindi non ha più un interlocutore, per questo non usa il linguaggio tradizionale quindi socializzante,ma un linguaggio alogico cioè è stato reciso il rapporto tra parole e significato.
La nascita del decadentismo fu dovuta a molteplici cause:
CAUSE STORICHE. Il decadentismo esprime la crisi profonda che investe la borghesia europea ,crisi che sfocerà nella tragedia delle due guerre mondiali. Non a caso il critico letterario Carlo Salinari parla di involuzione della borghesia, che nel primo ottocento in nome dell'amor di patria,della libertà e dell'uguaglianza aveva costruito gli stati unitari esaltando le istituzioni parlamentari e difeso il liberismo,ora invece esalta la stato forte,la razza il protezionismo, l'imperialismo per il dominio sul mondo e la disuguaglianza.
CAUSE SCIENTIFICHE. Il novecento è stato anche il secolo delle grandi scoperte scientifiche, in particolare della medicina, della biologia e soprattutto nella fisica campo in cui ci furono le notevoli scoperte di Albert Einstein che nel 1905 formulò la teoria della relatività secondo cui spazio e tempo non sono più concetti assoluti ma relativi perché variano a seconda del sistema di riferimento preso in considerazione, poi ci fu anche il principio di heisenberg secondo cui i fenomeni atomici non possono essere osservati oggettivamente come richiede la scienza positivistica ma si possono osservare solo in termini statistici e approssimati. Questi fattori cambiano la visione della realtà, mandando in frantumi quel sistema assoluto di valori prevalentemente fino a gran parte dell'ottocento, determinando il crollo di un mondo razionale perfetto come quello positivistico, perché non esiste più un criterio di riferimento, cioè una verità valida per tutti, ma ogni verità può essere ormai messa continuamente in discussione.
IMPLICAZIONI FILOSOFICHE. Il filosofo francese Bergson afferma che,crollato il mondo perfetto e razionale del positivismo, fonte della conoscenza non è più la ragione bensì l'intuizione, ritenuta una capacità creativa dell'uomo che scaturisce dall'azione. Inoltre per Bergson crolla anche il concetto di tempo cronologico inteso quale successione di passato,presente e futuro secondo un rapporto di causa-effetto. Bergson afferma che il tempo cronologico non spiega il tempo della coscienza che è invece un flusso continuo di stati d'animo, in un io che cambia continuamente, per cui un ricordo, che emerge a livello di coscienza non è mai uguale, ma cambia a seconda di come il soggetto lo sente in quel momento.
LUIGI PIRANDELLO
La vita
Luigi
Pirandello, nato ad Agrigento nel 1867, compì i suoi studi a Palermo, Roma e si
laureò in lettere presso l'università di Bonn (in Germania) nel 1891. Tornato
in Italia nel 1892, prese residenza a Roma, dove trascorse poi gran parte della
sua vita, collaborando a vari giornali e riviste, e insegnando per oltre venti anni
letteratura italiana presso l'Istituto Superiore di Magistero Femminile (dal
1897 al 1922). Il dissesto finanziario causato dalla perdita della rendita di
una miniera di zolfo (lascito paterno), lo costringerà a mettersi in
concorrenza anche sul mercato editoriale vendendo le sue novelle e
romanzi. E' da notare che nel 1904 ebbe inizio una grave crisi mentale
della moglie ( iniziata proprio grazie al dissesto finanziario, e
sfociata in una forma morbosa e violenta di gelosia nei confronti del
marito), che costituì per lo scrittore una vera e propria tragedia
familiare(famiglia che rappresentava per Pirandello una trappola), che non
rimase senza influsso sulla sua dolorosa concezione del mondo. Negli anni del
dopoguerra si dedicò sempre più decisamente all'attività teatrale e fu
così che nel 1925 fondò a Roma il Teatro d'arte, dando vita - per alcuni anni-
ad una propria compagnia drammatica. In politica, aderì al partito fascista, ma
non si espresse mai apertamente su questo tema. Mussolini, gli fece costruire
un teatro, a Roma, anche se non apprezzava le sue opere (lontane anni luce dal
trionfalismo del regime). Nel 1934, mentre si faceva sempre più largo e
profondo l'interesse suscitato in tutto il mondo dalla sua opera teatrale, gli
fu conferito Premio Nobel per la letteratura. Morì a Roma, in seguito ad
un attacco di polmonite, nel
Pirandello si inspira alle filosofie vitalistiche del tempo,in particolare a Bergson secondo cui la vita è un flusso continuo ,spontaneo e inarrestabile di stati d'animo, che non riescono a realizzarsi perché bloccati dalla parte che la società assegna a ciascuno di noi: dalle convenzioni sociali ,come la famiglia,vista da Pirandello come una trappola, dalle mille immagini che gli altri hanno di ciascun di noi . Per Pirandello ogni persona ha una forma o una maschera il che gli impedisce rivelare la vita che gli pulsa dentro e le sue paure. D'altra parte non è possibile vivere senza forma o maschera perché se l'uomo se ne libera coglierebbe il non senso della vita e si accorgerebbe che non è nessuno perché la maschera viene infissa una volta per sempre . Inoltre non è neanche possibile liberarsi della forma perché altrimenti il nostro io sarebbe continuamente contraddetto dai mille volti che gli altri ci attribuirebbero, in questi senso Pirandello arriva a formulare la teoria della disgregazione dell'io. L'uomo non può cogliere neppure una visione oggettiva del mondo perché la visione che gli potrebbe dare verrebbe continuamente contraddetta. La stessa cosa avviene per la comunicazione perchè il significato che viene attribuito ad una parola non corrisponde al significato che gli danno gli altri. Quindi dall'incomunicabilità scaturisce la solitudine che è caratteristica della letteratura decadente. L'arte per Pirandello non può essere più quella tradizionale proprio perché sono cadute le certezze e i valori assoluti e quindi l'artista può solo registrare la contraddittorietà del reale. Con Pirandello cambia l'interpretazione dell'umorismo che nasce dal contrasto tra apparenza e realtà:
esempio Vedo una vecchia signora, coi capelli ritinti, tutti unti non si sa di qual orribile manteca, e poi tutta goffamente imbellettata e parata d'abiti giovanili. Mi metto a ridere. 'Avverto' che quella vecchia signora è il contrario di ciò che una rispettabile signora dovrebbe essere. Posso così, a prima giunta e superficialmente, arrestarmi a questa espressione comica. Il comico è appunto un 'avvertimento del contrario».
CALCOLO
Durante la trasmissione di informazioni sul canale possono sovrapporsi al segnale utile dei rumori che a differenza dei disturbi sono dei segnali di origine interna dovuti alle proprietà fondamentali della materia e proprio per questo non sono eliminabili. Inoltre si manifestano nella forma di segnali casuali il cui andamento nel tempo non è descrivibile analiticamente ma solo attraverso calcoli statistici. Per cui essendo il rumore intrinsecamente stocastico deve essere trattato utilizzando la teoria dei processi stocastici e deve essere associato ad una distribuzione di probabilità continua in generale a quella gaussiana.
DISTRIBUZIONI DI PROBABILITA' NEL CONTINUO
Nello studio delle distribuzioni statistiche si possono presentare distribuzioni di variabili continue,per cui la variabile può assumere un qualsiasi valore contenuto in un intervallo reale.
La distribuzione di probabilità di una variabile continua si rappresenta con una curva continua ed è espressa dalla funzione f(x) che soddisfa alle seguenti due condizioni:
f(x) per ogni x reale di un intervallo[a,b]
l'area
compresa tra la curva e l'asse delle ascisse relativa all'intervallo [-
] è
uguale a 1 ![]()
La funzione f(x) prende il nome di funzione di densità di probabilità della variabile X. Poi come per le variabili discrete anche per quelle continue viene definita una funzione di ripartizione F(x) della variabile aleatoria X, e in questo caso la funzione di ripartizione esprime la probabilità che la variabile aleatoria X non superi un valore prefissato x cioè è uguale all'area al di sitto della curva fino a un valore v prefissato :
F(x)= ![]()
![]()
Inoltre dato il
LimΔx->o F(x+Δx)-F(x) Δx = F' se questo limite(rapporto incrementale)
esiste ed è finito sarà uguale alla derivata prima della funzione di
ripartizione e cioè alla funzione di densità di probabilità.
Infine:
- La probabilità nel continuo,dato un intervallo [a,b] e una funzione f(x) è la seguente
P(a ≤ x ≤ b) = ![]()
- il valore medio e la varianza di una variabile aleatoria continua si determina mediante il calcolo degli integrali definiti:
Valore medio: μ=M(X)=![]()
Varianza : σ2(x)=
-
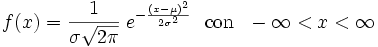
DISTRIBUZIONE NORMALE O GAUSSIANA
La distribuzione normale o gaussiana è la più importante tra le
distribuzioni di variabili aleatorie sia per l'applicazione pratica in molti
problemi sia perché interviene in molti teoremi. Questa distribuzione viene
molto usata perché molti fenomeni come quelli fisici,biologici ed economici
hanno una distribuzione che si può rappresentare con una distribuzione normale,
è il caso del rumore durante la trasmissione. In particolare è stato il più
grande matematico dell'ottocento Gauss a definire la variabile casuale normale costituita da due
parametri indicati con
.
Dove µ rappresenta la media della popolazione e, σ 2 rappresenta la varianza della popolazione.
La variabile casuale normale rappresenta la base di partenza per le altre variabili casuali continue: Chiquadro e Student.
La variabile casuale gaussiana è caratterizzata dalla seguente funzione di densità di probabilità, cui spesso si fa riferimento con la dizione curva di Gauss o gaussiana:
.
La distribuzione presenta le seguenti proprietà:
∞
2. f(x) dx = 1 (la massima probabilità che si può ottenere)
3. F'(x) = f(x) (la derivata della funzione di ripartizione è
uguale a f(x))
La distribuzione presenta le seguenti caratteristiche:

L'integrale della funzione densità di probabilità non è possibile esprimerlo mediante funzioni elementari, per cui è necessario rendere disponibili in forma tabellare, i valori della sua funzione di ripartizione :

I più usati sono:
68,3% = PDISTRIBUZIONE NORMALE STANDARDIZZATA
Dalla distribuzione normale si passa alla distribuzione normale standardizzata con µ = 0 e σ = 1 poiché nella statistica si usa la standardizzazione per eliminare l'influenza dell'unità di misura:
z =
La distribuzione normale standardizzata è la seguente:
f(z)=
La distribuzione presenta le stesse caratteristiche di quella normale.
Per calcolare la probabilità si usano le tavole di Sheppard
TEOREMA CENTRALE LIMITE
Siano X1,X2,..,Xn variabili casuali indipendenti aventi la stessa distribuzione di probabilità con lo stesso valore medio μ e la stessa varianza σ2
la variabile casuale : Sn = X1+X2+..,Xn
Per n che tende ad infinito, tende a distribuirsi secondo una distribuzione normale.
Per questo teorema se X è distribuita come una variabile casuale binomiale con n molto grande, e approssimativamente np>10, allora la binomiale può essere approssimata con una Normale in cui:
μ=np
σ2=npq
INGLESE
Local area network topologies can be described using either a physical or logical perspective.
A physical topology describes the geometric arrangement of components that comprise the LAN.
The topology is not a map of the network. It is a theoretical construct that graphically conveys the shape and structure of the LAN.
A logical topology describes the possible connections between pairs of networked endpoints that can communicate. This is useful in describing which endpoints can communicate with which other endpoints, and whether those pairs capable of communicating have a direct physical connections to each other.
This chapter focuses only on physical topological descriptions.
Basic Topologies
There are three basic physical topologies: bus, ring, and star. Each basic topology is dictated by the LAN frame technology.
For example, Ethernet networks, by definitions, have historically used star topologies.
The introduction of frame-level switching in LANs is changing this. Frame-switched LANs, regardless of frame type or access method, are topologically similar.
Switched can now be added to the long-standing triad of basic LAN topologies as a distinct, fourth topology.
Bus topology
A bus topology, show in figure 1, features all networked nodes interconnected peer-to -peer using a single, open-ended cable.
These ends must be terminated with a resistive load that is, terminating resistors. This single cable can support only a single channel. The cable is called the bus.
Fig. 1
The typical bus topology features a single cable, supported by no external electronics, that interconnects all networked nodes peer to peer. All connected devices listen to the bussed transmissions and accept those packets addressed to them. The lack of any external electronics, such as repeaters, makes bus LANs simple and inexpensive. The downside is that it also imposes severe limitations on distances, functionality, and scaleability.
This topology is impractical for all but the smallest of LANs. Consequently, today's commercially available LAN products that use a bus topology are inexpensive peer-to-peer networks that provide basic connectivity. These products are targhet at home and small office environments.
One exeption to this was the IEEE's 802.4 Token Bus LAN specification. This technology was fairly robust an deterministic, and bore many similarities to a Token Ring LAN.
The primary difference, obviously, was that Token Bus was implemented on a bus topology.
Token Bus found extremely limited market support. Its implementation tended to be limited to factory production lines. Tecnological refinement of other LAN technologies an topologies has made this sophisticated bus LAN obsolete.
Ring Topology
The ring topology started out a simple peer-to-peer LAN topology.
Each networked workstation had two connections: one to each of its narest neighbors (see figure 2). The interconnections had to form a physical loop, or ring. Data was transmitted unidirectionally around the ring. Each workstation acted as repeater, accepting and responding to pakets addressed to it, and forwarding on the other packets to the next workstation "downstream".
Fig. 2
The original LAN ring topology fatured peer-to-peer connections between workstations. These connections had to be closed that is, the they had to form a ring. The benefict of such LANs was that response time was fairly predictable. The more devices there were un the ring, the longer the network delays. The drawback was early ring networks could be completely disabled if one of the workstations failed.
These primitive rings were made obsolete by IBM's Token Ring, wich was later standardized by the IEEE's 802.5 specification. Token Ring departed from the peer-to-peer interconnection in favour of a repeating hub. This eliminated the vulnerability of ring networks due to workstation failure by eliminating the peer-to-peer ring construction. Token Ring networks, despite their name, are implemented with a star topology and a circular access method, as show in Figure 3
Fig. 3
LANs can be implemented in a star topology yet retrain a circular access method. The Token Ring network illustrated in this figure demonstrates the virtual ring that is formed by the round-robin access method. The solid lines represent physical connections, and the dasched line represents the logical flow of regulated media access.
Functionally, the access token passes in a round-robin fashion among the networked endpoints. Thus, many people succumb to the temptation of describing Token Ring networks as having a logical ring topology, even though it is no longer a ring.
Star Topology
Star topology LANs have connections to networked devices that radiate out from a common point--that is, the hub, as shown in Figure 4. Unlike ring topologies, physical or virtual, each networked device in a star topology can access the media independently. These devices have to share the hub's available bandwidth. An example of a LAN with a star topology is Ethernet.
Fig. 4
A small LAN with a star topology features connections that radiate out from a common point. Each connected device can initiate media access independent of the other connected devices.
Star topologies have become the dominant topology type in contemporary LANs. They are flexible, scaleable, and relatively inexpensive compared to more sophisticated LANs with strictly regulated access methods. Stars have all but made buses and rings obsolete in LAN topologies and have formed the basis for the final LAN topology: switched.
![]() |
| Appunti su: |
|
| Appunti Psicologia psichiatria | ![]() |
| Tesine Risorse umane | ![]() |
| Lezioni Amministratori | ![]() |