![]() |
|
| Appunti scientifiche |
|
| Visite: 7649 | Gradito: |
Leggi anche appunti:I Quadrati magiciI Quadrati magici Introduzione Nella matematica da Il numero d'oro nella Successione di FibonacciIl numero d'oro nella Successione di Fibonacci Un uomo mise una coppia di conigli La formula di taylorLA FORMULA DI TAYLOR Sia f(x) una funzione reale definita |
![]() |
![]() |
Introduzione
Nella matematica da "ricreazione" un quadrato magico di ordine n è uno schieramento di n²
numeri interi distinti in una tabella quadrata tale che la somma dei numeri presenti in ogni riga, in ogni colonna e in entrambe le diagonali dia sempre lo stesso numero; tale intero è denominato la costante di magia o costante magica o somma magica del quadrato.
Con il linguaggio della matematica, se n è un intero maggiore di 2, si definisce quadrato magico ogni matrice quadrata di ordine n a valori interi e iniettiva tale che le somme delle entrate di ciascuna delle righe, di ciascuna delle colonne e di entrambe le diagonali hanno lo stesso valore intero. Un quadrato magico di ordine n le cui entrate sono gli interi da 1 a n2 viene detto quadrato magico perfetto o quadrato magico normale.
I quadrati magici normali esistono per tutti gli ordini n=1 escluso n = 2, anche se il caso n = 1 è insignificante - esso infatti consiste in una sola casella che contiene il numero 1. Il più piccolo caso non banale, indicato sotto, è di ordine 3.

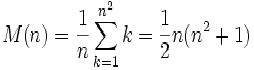
La costante magica di questi quadrati è data dalla formula:

I primi 15 componenti di questa successione sono : 1, 5, 15, 34, 65, 111, 175, 260, 369, 505, 671, 870, 1105, 1372, 1695.
Capitolo I
Storia dei quadrati magici
Le origini dello "Lo Shu"
Il quadrato "Lo Shu" è un quadrato magico normale di ordine 3, cioè una matrice di aspetto 3×3 contenente tutti gli interi da 1 a 9 senza ripetizioni disposti in modo tale che sommando i numeri sulle diverse righe, colonne o diagonali si ottenga sempre lo stesso valore, che deve essere (1+2++9)/3 = 15.

Esso è originario della Cina. Una delle leggende che lo riguardano dice che intorno al 2800 a.C. si ebbe una disastrosa piena del fiume "Lo" (un affluente del fiume Giallo) causata dall'ira del dio del fiume e che la popolazione offrì dei sacrifici al dio per far cessare il disastroso evento. Dopo ogni sacrificio dal fiume emergeva una tartaruga, ma la furia del fiume non si placava. Solo dopo vari tentativi un bambino si accorse che la tartaruga inviata dal dio aveva segnata sul guscio una rappresentazione del quadrato magico. Tali segni furono interpretati come un messaggio divino sui principi per gestire lo Stato. I matematici, studiando quei segni, scoprirono una imprevedibile struttura: un quadrato di numeri con somma costante 15 su ogni riga, colonna o diagonale. Questo, secondo loro, significava che il dio chiedeva un sacrificio di 15 entità e l'accoglimento del messaggio portò alla fine della piena. Più tardi, circa 400 anni prima della nascita di Cristo) gli stessi segni furono interpretati come un quadrato magico 3x3, il primo della storia. Tale quadrato magico, chiamato Lo-Shu, cioè 'Il saggio del fiume Lo', era realizzato non con cifre, ma con piccoli cerchietti all'interno di ciascuna casella.


Con quel tipo di grafica il Lo-Shu è diventato successivamente anche forma di ornamento in ampie aree dell'Asia, assumendo un valore simbolico e propiziatorio legato alla credenza che un quadrato magico del genere, inciso su una piastra di metallo prezioso o nel cuoio, e portato al collo, potesse proteggere da gravi malattie e calamità. Questa tradizione perdura ancora oggi in alcuni Paesi dell'Oriente, dove questi simboli vengono incisi anche su utensili di uso quotidiano come ciotole e recipienti per la conservazione di erbe o di pozioni medicinali.
Questa configurazione è stata considerata un simbolo dell'armonia universale: i numeri da 1 (l'inizio di tutte le cose) a 9 (il completamento) sono considerati benauguranti, soprattutto il 5 centrale. La somma magica 15 si interpreta come la durata di ciascuno dei 24 cicli dell'anno solare cinese. Nell'antica Cina ci si ispirava a questo quadrato per progettare templi e città suddivise in 3 × 3 settori. Lo Shu, così venne battezzato questo quadrato numerico, diventò uno dei simboli sacri della Cina e rappresentazione dei più arcani misteri della Matematica e dell'Universo. In questa tabella sono riportati alcuni dei collegamenti, stabiliti nell'antica Cina, con i numeri dello Shu.
|
Numeri dello Shu |
Punti cardinali |
Colori |
Elementi |
|
|
Nord |
Bianco |
Acqua |
|
|
Sudovest |
Nero |
Terra |
|
|
Est |
Blu |
Legno |
|
|
Sudest |
Verde |
Legno |
|
|
Centro |
Giallo |
Terra |
|
|
Nordovest |
Bianco |
Metallo |
|
|
Ovest |
Rosso |
Metallo |
|
|
Nordest |
Bianco |
Terra |
|
|
Sud |
Porpora |
Fuoco |
Forse la sua origine non è poi così antica e la sua comparsa si può far risalire in realtà al IV secolo a.C. La prima traccia scritta si trova nel Ta Tai li chi, una fedele trascrizione di antichi riti, compilata da Tai il Vecchio nel primo secolo d.C. Le proprietà più interessanti del Lo Shu sono collegate alla teoria dello Yin-Yang, secondo la quale ogni cosa deriva dall'armoniosa opposizione di due originali forze cosmiche: Yin e Yang, rappresentate da migliaia di anni nella forma circolare dell'antica saggezza. Yang, per i cinesi, è la forza maschile, sorgente di calore, di luce e di vita, sotto l'influenza del Sole; Yin è invece la forza femminile, che si sviluppa al buio, al freddo e nell'immobilità, sotto l'influenza della Luna. Nel Lo Shu i numeri pari rappresentano l'elemento maschile yang, mentre i numeri dispari rappresentano l'elemento femminile yin. Il numero 5 rappresenta la Terra e gli altri numeri rappresentano i punti cardinali e le stagioni. Ad esempio, 1 è il Nord e l'inverno, il 9 è il Sud e l'estate, il 3 Est e primavera, il 7 Ovest e autunno. Attorno al 5 si alternano coppie di numeri che rappresentano i quattro elementi: l'acqua, 1 e 6, il fuoco, 2 e 7, il legno 3 e 8 e il metallo, 4 e 9.
Lo Shu è il quadrato magico normale unico di ordine tre in cui 1 è alla parte inferiore e 2 è nel giusto angolo superiore. Ogni quadrato magico normale di ordine tre è ottenuto dalla sua rotazione o dalla sua riflessione.
Dal 1982, stilizzato con perforazioni analoghe a quelle in uso nelle prime schede perforate dei calcolatori elettronici ed iscritto in una forma circolare, è il simbolo della professione ragioneristica.

I Quadrati magici attraverso la storia
I quadrati magici hanno affascinato l'umanità durante i secoli e fanno parte della civiltà da oltre 4.000 anni. Essi si trovano in un certo numero di culture, compresa quella dell'Egitto e dell'India, sono incisi sulla pietra o sul metallo e sono considerati come una sorta di talismani. L'opinione diffusa è che i quadrati magici abbiano qualità astrologiche e divine: il loro uso garantisce la longevità e la prevenzione delle malattie.
Ad esempio il Kubera-Kolam , una pittura del pavimento usata in India, è sotto forma d'un quadrato magico di ordine tre. È essenzialmente lo stesso del quadrato di Shu, ma con il numero 19 aggiunto ad ogni numero e la costante di magia risulta quindi 72.
|
|
|
|
|
|
|
|
|
|
|
|
Il primo quadrato magico di ordine 4 venne realizzato dall'astrologo indiano Varahamihira nel VI secolo d.C. Solo nell'XI secolo, sempre grazie ad un indiano, si giunge ad una elaborazione di ordine 4 con caratteristiche veramente innovative e sorprendenti. Definito all'epoca come 'magicamente magico' e oggi 'diabolico', questo quadrato contiene la propria costante magica non solo nei punti canonici, ma anche in oltre 40 ulteriori posizioni simmetriche e ordinate.
I quadrati magici erano ben noti ai matematici arabi probabilmente fin dal settimo secolo, quando gli arabi entrarono in contatto con la cultura indiana e quella sud-asiatica ed impararono la matematica e l'astronomia indiane, comprese altre funzioni della matematica combinatoria. Inoltre è stato suggerito che l'idea fosse venuta dalla Cina. I primi quadrati magici di ordini 5 e 6 comparvero in un'enciclopedia di Baghdad nel 983 a.C. circa, il Rasa'il Ihkwan al-Safa (l'Enciclopedia dello stile della purezza); ma pare che alcuni più semplici fossero conosciuti da parecchi matematici arabi negli anni precedenti.
Il matematico arabo Ahmad Al-Buni , che lavorò ai quadrati magici intorno al 1200 a.C. , ha attribuito loro alcune proprietà mistiche, anche se nessun particolare di queste presunte proprietà ci è pervenuto. Ci sono inoltre riferimenti all'uso dei quadrati magici nei calcoli astrologici, una pratica anch'essa che sembra iniziare con gli arabi.
Un ben noto e antico quadrato magico fu trovato nel tempio di Parshvanath Jain a Khajuraho. Esso è datato X secolo e si riferisce al Chautisa Yantra dato che la somma di ogni sotto quadrato (ovvero ogni quadrato 2x2 contenuto in esso), oltre che la costante magica, è 34.
|
|
|
|
|
|
|
|
|
|
|
|
|
|
|
|
|
|
|
|
Nel X secolo i cinesi conoscevano quadrati fino all'ordine 10, oltre a catene di cerchi e cubi magici non perfetti. Queste strutture giunsero in Europa relativamente tardi. Nel 1300, analizzando il lavoro dell'arabo Al-Buni, l'erudito bizzantino greco Manuel Moschopoulos (circa - ) scrisse un trattato matematico a proposito dei quadrati magici, andando oltre il misticismo dei suoi predecessori. Si pensa che Moschopoulos fu il primo occidentale ad occuparsi dell'argomento. Intorno alla metà del XV secolo l'italiano Luca Pacioli studiò queste strutture e raccolse tantissimi esempi. Nel 1510 circa Heinrich Cornelius Agrippa (1486 - 1535) scrisse il De Occulta Philosophia, basandosi sugli impianti ermetici e magici di Marsilio Ficino e Pico della Mirandola e in esso espose le virtù magiche dei sette quadrati magici degli ordini dal 3 al 9, ciascuno connesso con uno dei pianeti dell'astrologia. Egli li definì precisamente come 'tavole sacre dei pianeti e dotate di grandi virtù, poiché rappresentano la ragione divina, o forma dei numeri celesti'. Questo libro era molto influente in Europa fino alla Riforma Cattolica e i quadrati magici di Agrippa, a volte denominati Kameas, continuano ad essere usati all'interno delle moderne cerimonie magiche più o meno allo stesso modo in cui egli li prescrisse.



L'uso più comune per i questi Kameas è quello di fornire un modello su cui costruire i sigilli per gli spiriti, gli angeli o i demoni; le lettere del nome dell'entità sono convertite in numeri e le linee sono tracciate attraverso il modello che questi numeri successivi fanno sul kamea. In un contesto magico, il termine quadrato magico è inoltre applicato ad una varietà di "quadrati di parola" o i quadrati di numeri trovati nei "grimories" magici, compresi alcuni che non seguono alcun modello evidente e perfino alcuni con i numeri differenti di file e di colonne. Essi sono generalmente usati come talismani; ad esempio le loro incisioni su placche d'oro o d'argento venivano impiegate come rimedi, dalla peste al mal d'amore.

Frenicle de Bessy (1605 - 1665), matematico del Seicento, amico di Descartes e di Pierre de Fermat, nel 1663 riuscì a calcolare il numero dei quadrati magici perfetti del quarto ordine: 880, con somma costante 34, su righe, colonne e diagonali. Si dovette invece attendere l'avvento del computer per allargare l'indagine a quadrati magici di ordine superiore e scoprire così, nel 1973, che i quadrati magici di ordine 5 sono 275 305 224. Ancora oggi non è noto il numero preciso dei quadrati magici di ordine 6, ma siamo vicini alla soluzione. Secondo le più recenti indagini, dovrebbero essere circa 17 miliardi di miliardi. Resta comunque da risolvere il problema più generale: trovare la regola che consenta di determinare il numero di quadrati magici di un dato ordine.
Capitolo II
Costruzione dei quadrati magici
Ci sono molti modi di costruire un quadrato magico, ma quello standard (e più semplice) consiste nel seguire determinate configurazioni/formule che generano i modelli regolari. I quadrati magici esistono per tutti gli ordini di n, con soltanto un'eccezione - è impossibile da costruire un quadrato magico con ordine 2. I quadrati magici possono essere classificati in tre tipi: dispari, semplicemente pari (n divisibile per due, ma non per quattro) e doppiamente pari (n divisibile per quattro). I quadrati magici dispari e doppiamente pari sono facili da generare; la costruzione dei semplicemente pari è più difficile ma esistono parecchi metodi, compreso il LUX method for magic squares (dovuto a John Horton Conway) and the Strachey method for magic squares.
Il numero dei differenti quadrati magici con n da 1 a 5 non contando le rotazioni e le riflessioni è: 1, 0, 1, 880, 275305224. Il numero per n = 6 è stato valutato a 1.7745×1019.
Metodo di costruzione per i quadrati dispari
Il metodo per costruire un quadrato magico con n dispari è abbastanza semplice. Si inizia mettendo 1 nella colonna centrale della fila superiore.

Si compila la colonna seguente del numero uno (a destra) e ad una fila superiore. Se siete già alla fila superiore, si compila una colonna alla destra nella fila inferiore.

E se siete nella colonna di estrema destra, si compila il numero seguente nella colonna di estrema sinistra, una fila in su.

Se il quadrato già è occupato da un numero più piccolo, si posiziona il numero seguente nel quadrato immediatamente sotto all'ultimo immesso, si procede in tal maniera fino a comporre tutto il quadrato.

Infine, si deve verificare che ogni fila, colonna e diagonale diano come somma algebrica lo stesso numero, in questo caso 65.
La seguente tabella di formule aiuta la costruzione di quadrati magici di ordine dispari
|
Ordine 5 |
|
|
|
|
Quadrato (n) |
Ultimo numero |
Numero centrale * |
Somma (M) * |
|
n |
n |
|
|
* Le radici quadrate sono più facili da calcolare che le radici cubiche
Esempio:
|
Ordine 5 |
|
|
|
|
Quadrato (n) |
Ultimo numero |
Numero centrale |
Somma (M) |
|
|
|
|
|
'il numero centrale' è sempre nella parte di sinistra
inferiore diagonale alla destra superiore.
'l'ultimo numero' è sempre di fronte al numero 1 in una
colonna o in una riga esterna
Metodo di costruzione per i quadrati doppiamente pari
Doppiamente pari significa che n è pari ed è multiplo di un altro numero intero pari, o 4p dove p è un numero intero. Es.: n uguale a 4, 8, 12
Modello generico
Tutti i numeri sono scritti nell'ordine da sinistra a destra attraverso ogni riga. I numeri allora sono mantenuti nello stesso posto o sono interscambiati con i loro numeri diametralmente opposti in un determinato modello normale. Nel quadrato magico di ordine quattro, i numeri nei quattro quadratini centrali e nei quadratini ad ogni angolo sono mantenuti nello stesso posto e gli altri sono interscambiati con i loro numeri diametralmente opposti.
Una costruzione di un quadrato magico di ordine 4
Disponiamo nel loro ordine naturale i primi 16 numeri. Lasciando poi al loro posto i numeri delle diagonali, permutiamo fra loro gli altri otto con i rispettivi simmetrici rispetto al centro del quadrato.

Metodo medjig di costruzione dei quadrati magici con ordine semplicemente pari con n>4
Questo metodo amatoriale è basato sui giochi matematici pubblicati nel 2006 e denominati medjig (autore: Willem Barink, redattore: Philos-Spiele). Le parti del puzzle del medjig sono quadrati divisi in quattro quadranti su cui i numeri 0, 1, 2 e 3 sono disposti in tutte le sequenze. Esistono 18 quadrati, ogni sequenza ricorre 3 volte. Lo scopo del puzzle è di prendere le 9 caselle possibili ed organizzarle nei 3 x 3 'medjig-square' in modo tale che le righe, le colonne e le diagonali costituite dai quadranti, mostrino la somma di 9.
Lo scopo del medjig è di costruire un quadrato magico di ordine 6 procedendo come segue. Si organizzi un medjig 3 x 3 quadrato. Allora si prenda il classico ben noto quadrato di magia 3 e gli si dividano i singoli campi in quattro quadranti 2x2. Il numero da apporre nelle seguenti caselle si ottiene con il numero originale ed i relativi tre numeri modulo-9 fino ad un massimo di 36, dopo il modello della medjig-soluzione. Facendo così, il campo originale con il numero 8 rende i quattro sottocampi con i numeri 8 (= 8 + 0x9), 17 (= 8 + 1x9), 26 (=8+ 2x9) e 35 (= 8 + 3x9), il campo con il numero 3 rende i numeri 3, 12, 21 e 30, ecc Come nell'illustrazione qui sotto.

Allo stesso modo si può costruire un quadrato magico con ordine 8. In primo luogo si deve costruire una soluzione dei 4 x 4 medjig (somma di tutte le serie, colonne e diagonali 12). Ed allora si ingrandisce il 4 x 4 quadrato magico con il numero centrale 16 e somma magica 64. Per la costruzione di un quadrato magico di ordine 10 se deve organizzare una soluzione dei 5 x 5 medjig, per cui sono necessari due insiemi delle parti del medjig. Per l'ordine 12 si può duplicare semplicemente orizzontalmente e verticalmente una soluzione dei 3 x 3 medjig ed allora ingrandire il quadrato di magia di ordine 6 fatto sopra. Anche per l'ordine 16 si segue lo stesso metodo e così via.
Capitolo III
I Quadrati magici nell'arte
Melancolia I
Uno degli esempi più famosi è sicuramente il quadrato magico di tipo simmetrico che compare nell'incisione di Albrecht Dürer, Melancolia I. Si ritiene che esso sia il primo quadrato magico a comparire nell'arte occidentale. È molto simile al quadrato di Yang Hui, che fu generato in Cina circa 250 anni prima del tempo del Dürer. L'artista tedesco non spiegò mai il simbolismo contenuto in questa sua opera, ma la maggior parte degli studiosi è d'accordo sul fatto che essa rappresenti lo stato d'animo depresso del pensatore, incapace di passare all'azione. Nel Rinascimento il temperamento malinconico era ritenuto una caratteristica del genio creativo; era la malattia degli studiosi 'che una pallida maschera di pensiero fa sembrare ammalati': questo concetto, che gli intellettuali brillanti siano spesso incapaci, come Amleto, di prendere delle decisioni, è, in una certa misura, ancora vivo fra noi.
Nell'incisione di Dürer strumenti scientifici e di carpenteria giacciono inutilizzati al suolo attorno alla figura disordinata e meditabonda della Melanconia. I piatti della bilancia sono vuoti, nessuno sale sulla scala, il levriero dormiente è mezzo morto di fame, il cherubino alato aspetta la dettatura, mentre il tempo passa nella clessidra in alto. La sfera ed il tetraedro, curiosamente troncato, suggeriscono la base matematica dell'arte del costruire. Apparentemente la scena è soffusa di luce lunare. L'arcobaleno lunare, che si incurva su ciò che sembra essere una cometa, può significare la speranza che lo stato di abbattimento passi.
I quadrati magici di quarto ordine furono collegati con Giove dagli astrologi del Rinascimento e si credeva che combattessero la malinconia, che era di origine saturnina. Questo può spiegare il quadrato nell'angolo in alto a destra dell'incisione di Dürer. Il quadrato è detto simmetrico perché ogni numero sommato al numero simmetricamente opposto rispetto al centro dà sempre 17. Vi sono inoltre molti gruppi di quattro celle (oltre alle righe, alle colonne e alle diagonali principali), che danno come totale 34, la costante del quarto ordine; per esempio, le quattro celle d'angolo, le quattro celle centrali, i quadrati di due per due d'angolo. Un quadrato di questo tipo può essere costruito con un procedimento incredibilmente semplice. E' sufficiente scrivere in una disposizione quadrata ed in ordine di successione i numeri da 1 a 16 e poi invertire le due diagonali: il risultato è un quadrato magico simmetrico. Dürer ha scambiato le due colonne intermedie di questo quadrato (il che non cambia le sue proprietà) in modo che le due celle centrali della riga inferiore indicassero l'anno in cui egli fece l'incisione (1514).
La somma 34 può essere trovata nelle righe, colonne, diagonali, ciascuno dei quadranti, i quattro quadrati centrali, i quadrati degli angoli, i quattro numeri esterni in senso orario dagli angoli (3+8+14+9) e similarmente i quattro in senso antiorario (le posizioni di quattro regine nelle due soluzioni del puzzle delle 8 regine), i due insiemi di quattro numeri simmetrici (2+8+9+15 e 3+5+12+14) e la somma delle due voci centrali delle due colonne e righe esterne (per esempio 5+9+8+12), così con la forma di aquiloni ha modellato i quartetti, per esempio 3+5+11+15; i due numeri nel mezzo della fila inferiore danno la data dell'incisione: .

Sagrada Familia
Anche sulla facciata della Passione della Sagrada Familia a Barcellona compare un quadrato magico 4x4 scolpito e progettato dallo scultore Josep Subirachs.La costante magica è 33 ossia gli anni di Gesù Cristo al momento della Passione. Strutturalmente appare molto simile a quello inciso dal Durer, ma, in realtà, in quattro caselle i numeri che le occupano sono ridotti di una unità. Anche se è presente lo stesso modello di sommatoria questo non può essere definito un "normale" o "perfetto" quadrato magico dato che al suo interno due numeri sono ripetuti due volte (il 10 e il 14), mentre due sono addirittura assenti (il 12 e il 16). Esso non tiene quindi conto della regola secondo cui un quadrato magico deve contenere tutti i numeri interi da 1 a n².

Percorsi magici
Se si collegano i
centri delle caselle di un quadrato magico in un certo ordine, si possono
ottenere delle figure interessanti.
Partiamo, ad esempio da questo quadrato più-che magico:

|
|
|
Il quadrato magico della Melancolia di Albrecht Durer (1514)


I percorsi magici
di Claude Bragdon
I percorsi magici sono stati
utilizzati dall'architetto statunitense Claude Bragdon (1866-1946) per
costruire decorazioni artistiche.
L'esempio seguente è basato su un quadrato semi-magico.

N.B. Alla fine del percorso, il punto 16 è stato unito con il punto 1.

Figure tratte da una tavola di C. Bragdon intitolata
'A 4x4 square, its magic path and various derived patterns'.
The Architectural Forum, v.26, (1917)
Capitolo IV
Proprietà dei diversi tipi di quadrati
I quadrati magici hanno le seguenti caratteristiche:
sono formati da un minimo di tre caselle per lato (non esistono quadrati magici di ordine due);
i numeri interi che vengono utilizzati per riempire le caselle devono essere in una sequenza (si utilizzano ad esempio i numeri da 1 a 9, da 1 a 16, oppure anche da 0 a 15, e così via) e non possono essere ripetuti;
i numeri della sequenza devono essere disposti nelle caselle in modo che la somma di ciascuna riga, la somma di ciascuna colonna e la somma di ciascuna diagonale diano come totale un valore sempre identico. La costante di un quadrato magico vale [(n2+1)/2]*n (dove n è l'ordine del quadrato).
Proprietà:
Un quadrato magico resta tale se si opera su di esso con una delle seguenti
trasformazioni semplici:
rotazione intorno al centro di ±90° , ±180° , ±270°;
simmetria rispetto all'asse orizzontale o verticale;
simmetria rispetto all'una o all'altra diagonale;
sostituzione di ogni numero col suo complementare rispetto al numero n2+1 (dove n è l'ordine del quadrato).
Il quadrato 3x3:

Vediamo alcune proprietà aritmetiche di questo quadrato. Il numero centrale, il 5, è la media aritmetica di tutte le coppie di numeri opposti:
|
|
|
|
Se si moltiplica il numero centrale 5 per l'ordine del quadrato, cioè 3, si ottiene il valore della somma costante, cioè 15. E sempre il numero centrale moltiplicato per l'ordine, elevato al quadrato, è uguale alla somma totale dei numeri che compongono il quadrato magico:
5 x 3 = 15 e 5 x 32 = 45
Queste formule valgono per qualsiasi quadrato magico di ordine dispari. E quindi anche per quadrati 5 x 5, 7 x 7 e così via.
Tipo di quadrati a disposizione obliqua
Per costruire un quadrato magico di modulo 5 cominciamo con l'adottare la notazione usata dagli scacchisti, indichiamo cioè con a, b, c, d, e le caselle della prima, seconda, terza . colonna, e con 1, 2, 3, 4, 5 le caselle della prima, seconda, terza, . riga. Cosicché a 4 indicherà la quarta casella della prima colonna, d 3 la terza casella della quarta colonna come indicato nella figura. Chiameremo poi DB diagonale ascendente e AC diagonale discendente.

Immaginiamo ora di tracciare, attorno alla scacchiera principale, altre quattro scacchiere uguali ad A, B, C, D e disposte lungo i lati AB, DC, BC e l'ultima che abbia lo spigolo inferiore sinistro coincidente col vertice D. Collochiamo la prima cinquina di numeri della progressione dei naturali da 1 a 25 partendo da un punto qualunque. Siano ad esempio occupate in tal modo le caselle che diremo regolari a 3, b 4, c 5, coi numeri dell'1 al 3 e le caselle d 1 ed e 2 della scacchiera A col 4 e il 5. Riporteremo il 4 e il 5 nelle medesime posizioni ma nella scacchiera principale. Al di sotto del 5 collocheremo il 6 e successivamente, sempre seguendo la diagonale ascendente il 7, l'8, il 9 e il 10. Questi ultimi quattro occupano quattro caselle della scacchiera C, dovremo quindi riportarli nelle corrispondenti caselle della principale. Sotto al 10 collocheremo quindi l'11 e continueremo il procedimento fino al 25.

Il quadrato ottenuto sarà magico, a condizione però che la diagonale ascendente risulti occupata dal gruppo mediano (11, 12, 13, 14, 15) della progressione aritmetica usata, il che dipende naturalmente dalla casella scelta come punto di partenza per collocarvi l'1. In altri termini occorre che l'11 cada sulla diagonale ascendente, ossia che il 10 si trovi su una casella della diagonale superiore a quella ascendente, ecc. Per ottenere ciò basta collocare il primo numero in una parallela alla diagonale ascendente, il cui posto sia precisamente quello della linea magica o mediana nel gruppo fondamentale.
Alle linee e colonne di questo gruppo fondamentale si può far subire qualsiasi permutazione; tutte le disposizioni così ottenute potranno venir considerate come altrettanti gruppi fondamentali sui quali si potrà operare come spiegato precedentemente per quello naturale. Si avranno sempre dei quadrati magici, purché sia soddisfatta la condizione di collocare sulla diagonale ascendente la linea magica o mediana del gruppo fondamentale considerato.
Si potranno così ottenere un grandissimo numero di quadrati magici differenti, nei quali si potrà far occupare ad un dato numero, non appartenente alla riga magica, una casella determinata, purché non appartenente alla diagonale ascendente. Tali caselle sono in numero n2 - n ossia n (n - 1). Anziché collocare il primo numero della seconda riga del gruppo fondamentale immediatamente al di sotto dell'ultimo numero della riga precedente, come si è detto fin ora, si può inoltre collocarlo 2, 3, ecc. caselle al di sotto fino a (n - 2) e poi procedere come al solito. In alcuni casi potremmo ottenere anche la particolarità che la diagonale discendente sia occupata dai numeri della colonna mediana del gruppo fondamentale. Per fare ciò basterà semplicemente scegliere la casella di partenza in modo che il numero centrale del quadrato fondamentale corrisponda con quello centrale del quadrato come nell'esempio nel quale lo spostamento è di n - 2 = 3 caselle.

Il quadrato di modulo 3 risulta quindi unico poiché è un quadrato limite essendo nel suo caso n - 2 = 1. Si ottengono poi ugualmente quadrati magici se anziché spostarsi verso il basso si procede allo stesso modo verso l'alto e se invece di collocare i successivi numeri da sinistra a destra venissero disposti da destra a sinistra.
Un quadrato magico del tipo obliquo fin ora considerato, eccetto per quelli di grado (n - 2), si trasforma in un altro pure magico e dello stesso tipo se si trasportano un numero qualsiasi di righe dalla parte superiore-inferiore alla parte inferiore-superiore, a condizione di trasportare poi uno stesso numero di colonne da destra-sinistra a sinistra-destra del quadrato.

Si possono poi far subire altre numerose modifiche ai quadrati di questo tipo. Così, per esempio, se si prende un quadrato magico diviso in due parti secondo una diagonale e si trasporta il triangolo che forma la parte di destra facendolo scorrere secondo le sue colonne fino a collocarsi al di sotto dell'altro triangolo, si potrà formare un quadrato con le nuove colonne ottenute, che non sarà più del tipo obliquo ma di quello a "salto di cavallo".

Quadrati magici del tipo a salto di cavallo
In questo tipo di quadrati la disposizione dei numeri d'una stessa riga di un gruppo fondamentale viene fatta in modo che per andare dall'uno al successivo si debba seguire lo spostamento del cavallo nel gioco degli scacchi; cioè la diagonale di un rettangolo di due caselle in un senso e tre nell'altro (nel nostro caso la diagonale da seguire sarebbe soltanto una di quelle d'un rettangolo di due caselle nel senso orizzontale e tre nel senso a questo perpendicolare.

Indicando con x lo spostamento di una casella in senso orizzontale e con 2y quello di due caselle in verticale potremmo indicare con (x + 2y) le coordinate d'un numero qualunque rispetto a quello che lo precede mentre 2 (x + 2y) indicherà la posizione del numero rispetto a quello che lo precede di due posti; cosicché (kx + py) indicherà, in generale che per passare da un certo numero ad un qualsiasi altro occorrono k spostamenti d'una casella in senso orizzontale e p in senso verticale. L'origine delle coordinate sarà poi sempre il vertice estremo in basso a sinistra. I coefficienti di x e y non potranno poi che essere valori interi inferiori ad (n - 1).
Per costruire un quadrato magico di qualunque ordine con questa regola si comincia col collocare il primo numero della prima riga del gruppo fondamentale in una casella qualunque (senza restrizioni); si colloca il successivo a salto di cavallo (nel modo indicato prima) verso destra e verso l'alto. Quando tale salto conduce ad una casella esterna al quadrato in costruzione, si colloca il numero nella casella di uguale posizione nel quadrato in costruzione, come si è già visto per quelli obliqui.

Se in un quadrato magico di questo tipo si opera una permutazione circolare delle righe e delle colonne, il quadrato non viene alterato nella sua magicità, neppure nelle diagonali (caratteristica tipica anche dei quadrati diabolici). Il salto di cavallo lo si può anche fare secondo la diagonale di un rettangolo 1 per 4, 1 per 5, . 1 per (n - 2) caselle, cioè in modo che i numeri abbiano successivamente le seguenti ordinate (x + 3y) (x + 4y) . [x + (n - 2) y]. Anche questi quadrati risultano diabolici fatta eccezione per quelli del grado (n - 2).
Anche qui, come si è già osservato nei quadrati del tipo obliquo, il quadrato della serie limite (n - 2) ha la particolarità di avere una diagonale costituita dalla colonna magica del gruppo fondamentale. Si possono ottenere altre varietà di quadrati scrivendo il primo numero di una nuova riga del gruppo fondamentale non immediatamente al di sotto dell'ultimo numero della riga precedente, ma 2, 3, . caselle più in basso. In questi quadrati la somma del passo e del grado non eccede (n - 1); quando tale somma è uguale a n - 1, i numeri della colonna magica del gruppo devono occupare la diagonale discendente del quadrato. Altre serie di quadrati magici si possono ottenere collocando il primo numero d'una riga del gruppo fondamentale, non al di sotto oppure al di sopra dell'ultimo della riga precedente ma 1, 2, 3, . posti a destra o sinistra di esso. Es. modulo 7 spostamento 3x passo 2y.

Consideriamo ora il gruppo fondamentale del modulo n = 5 ripetuto riga per riga e colonna per colonna nel piano un certo numero di volte. Se passiamo da un numero A ad un altro qualunque avremo determinato una direzione seguendo la quale dovremmo incontrare, sempre nel medesimo ordine, cinque dei numeri del gruppo ripetuto più volte. Partendo poi dal medesimo numero A possiamo seguire nello stesso modo un'altra direzione qualunque e in ogni caso otterremo cinque numeri la cui somma sarà costante (magica). Partendo poi dal secondo numero della prima direzione e seguendo una parallela alla seconda troveremo un'altra serie magica di 5 numeri e così via formando un quadrato magico.


La regola è generale qualunque sia il modulo n, ma fanno eccezione le due direzioni parallele alle righe e alle colonne del gruppo fondamentale, cioè le parallele alle direzioni principali di esso. Ricordando le notazioni già utilizzate si potranno definire le righe e le colonne del quadrato così ottenuto con :
a = 2x + y b = x + 2y
La diagonale ascendente sarà: a b = 3x + 3y
E quella discendente: a b = x - y
Esse pure magiche perché non parallele alle direzioni principali del gruppo.
Il quadrato è dunque magico ed il suo spostamento è 4a b e il suo grado è 2a b. La sua diagonale ascendente è costituita dai numeri della diagonale ascendente del gruppo. L'esatta soluzione del problema dipende dalla scelta giudiziosa dei parametri delle due equazioni fondamentali. In generale perché due equazioni del genere : a = ax + by e b = a'x + b'y possano dare un quadrato magico occorre che il determinante dei loro parametri sia primo col modulo n del gruppo prescelto. Queste due equazioni permettono di risolvere numerosi problemi relativi ai quadrati magici come:
Determinare la casella che un dato numero del gruppo fondamentale naturale occuperà nel quadrato;
Qual è la posizione, nel gruppo, di un numero che nel quadrato occupa un posto noto?;
Determinare il grado del quadrato conoscendo le due direzioni che lo determinano;
Dato un tipo di quadrato regolare, determinare i parametri delle due direzioni principali che corrispondono a tale tipo.
Nota. - Il seguente quadrato magico, di modulo 5, con la costante 65, di B. Portier, non risulta essere costruito con alcuna delle tecniche indicate e non dipende né da un diabolico né da un quadrato obliquo.

Quadrati doppiamente magici e/o satanici
Vengono detti quei quadrati magici che rimangono ancora tali sostituendo a ciascun numero, situato nelle loro caselle, lo stesso numero elevato di una potenza a. Se a=2 allora vengono definiti doppiamente magici o bimagici.
Ad esempio il quadrato di modulo 8 qui rappresentato, che ha come costante 260, è ancora magico sostituendo ai suoi numeri i rispettivi quadrati, ed ha allora per costante 11x180.

Il problema non è possibile per il quadrato di modulo 3 con numeri disuguali, come pure per quelli di modulo 4 con sedici numeri consecutivi. Infatti se prendiamo un quadrato formato dai primi 16 numeri consecutivi abbiamo come costante magica 34. Se eleviamo alla seconda tutti i numeri otterremo 34x11=374 come costante. Il numero 162 = 256 dovrà appartenere ad almeno due serie (una riga e una colonna), ma la differenza 374 - 256 = 118 non è componibile che in una sola maniera in una somma di tre quadrati differenti due a due, cioè 1, 36 e 81. Quindi non è possibile formare un quadrato satanico il quale abbia come base uno formato dai primi sedici numeri consecutivi.
Il primo quadrato doppiamente magico ad essere stato individuato è quello di ordine 8 e costante 260. Bensen ed Jacoby hanno avanzato la congettura che non esista alcun quadrato bimagico non banale (cioè privo di numeri ripetuti) di ordine inferiore a 8. Questa congettura è stata dimostrata da Boyer e Trump per i quadrati magici normali, cioè per i quadrati magici contenenti gli interi da 1 a n2. Nel 1998 John Robert Hendricks trovò la dimostrazione che segue, molto semplice, della non esistenza di quadrati bimagici di ordine 3. Supponiamo che esista un quadrato bimagico 3 × 3 della forma seguente

È ben noto che per ogni quadrato magico di questa forma devono valere l'uguaglianza
a + i = 2e ;
la bimagicità comporta quindi a2 + i2 = 2e2 ;
di conseguenza (a - i)2 = 2(a2 + i2) - (a + i)2 = 4e2 - 4e2 = 0 ,
e quindi a = e = i.
Analoga uguaglianza vale per tutte le linee che passano per la casella centrale.
Fino ad oggi sono stati costruiti dei satanici di modulo 8, 9, 10 e 14.
Si possono formare anche quadrati semplicemente magici ma con una magicità particolare, ossia normali quadrati che diventano però magici innalzando a una potenza, per esempio alla seconda, ciascuno dei loro numeri. Il quadrato che si ottiene con le espressioni algebriche della figura, assegnando valori qualunque alle diverse lettere, diventa magico per le colonne e per le righe (non per le diagonali) innalzando alla seconda tutte le espressioni. La costante è data dalle somme p2 + q2 + r2 + s2.
|
p2 + q2 - r2 - s2 |
2 (qr + ps) |
2 (qs - pr) |
|
2 (qr - ps) |
p2 + r2 - q2 - s2 |
2 (rs + pq) |
|
2 (qs + pr) |
2 (rs - pq) |
p2 + s2 - q2 - r2 |
Dando per esempio i valori p=2 q=6 r=3 e s=4 otterremo il seguente quadrato semplicemente magico e il suo satanico.

Quadrati diabolici
Col nome di quadrati magicamente magici o diabolici vengono designati quei quadrati nei quali oltre ad avere una somma costante nei 2 (n + 1) modi soliti, la si può ottenere in molti altri modi, regolari o geometrici. Ad esempio la somma delle diagonali rotte o dei sottoquadrati rende sempre la costante. Un quadrato diabolico rimane quindi tale non solo nell'ambito di una rotazione o una riflessione, ma anche se una fila o una colonna è spostata da un lato del quadrato verso il lato opposto. Per tanto un quadrato di questo tipo può avere 82 orientamenti diversi. Il più piccolo quadrato magico di questo genere è quello di modulo 4.

In questo la costante di magia può essere ottenuta in un certo numero di modelli oltre che nelle righe, colonne e diagonali. Essa appare:
nei sedici sottoquadrati 2x2 compresi quelli che racchiudono i bordi (es. 1+12+15+6 , 1+8+14+11 , 11+2+5+16);
negli angoli dei sottoquadrati 3x3 (es. 1+13+16+4 , 11+7+10+6);
nelle coppie orizzontali o verticali di numeri adiacenti sommate con la coppia corrispondente spostata di un vettore v(2,2) (es. 1+8+16+9 , 12+7+5+10 , 14+4+3+13).
Perciò delle 86 possibili combinazioni che si sommano a 34, 52 formano schemi-sequenze regolari, contro le 10 di un classico quadrato 4x4.
Quadrati cabalistici
Sono quelli ad un tempo satanici e diabolici. Si può costruire un quadrato cabalistico con n tale che soddisfi le seguenti condizioni:
non sia primo;
non sia uguale a 4;
non sia un numero composto avente per fattore uno o più numeri primi solamente alla prima potenza.
Si possono quindi costruire dei quadrati cabalistici con n = 8 e n =9.
Quadrati eteromagici
Si dice quadrato eteromagico di ordine n (intero positivo) una collocazione degli interi da 1 a n² in una matrice quadrata, tale che le somme delle righe, delle colonne e delle due diagonali siano tutte diverse. Queste matrici iniettive vengono chiamate anche eteroquadrati. Di quadrati eteromagici non ne esiste alcuno di ordine 2, ma ne esistono per ogni ordine n = 3. Esempi per gli ordini 3, 4 e 5 sono

Vi sono due semplici procedimenti che consentono di costruire rispettivamente quadrati eteromagici di ordine dispari e pari. Per n dispari si collocano i successivi interi nelle caselle incontrate procedendo a spirale a partire, ad esempio, dalla casella superiore più a sinistra. Se n è pari si collocano i successivi interi procedendo sulle successive righe da destra a sinistra, e quindi scambiando l'1 con il 2.
Si è abbastanza convinti che vi siano esattamente 3120 quadrati eteromagici di ordine 3 essenzialmente diversi, cioè non riconducibili ad un altro applicando una delle simmetrie del quadrato. Casi molto particolari di quadrati eteromagici sono i quadrati antimagici, quadrati per i quali le 2(n + 1) somme forniscono altrettanti interi consecutivi
Quadrati antimagici
Si dice quadrato antimagico di ordine n (intero positivo) uno schieramento degli interi da 1 a n² in una matrice n × n tale che le somme ottenute dalle sue n righe, dalle sue n colonne e dalle sue due diagonali formano una sequenza di 2(n + 1) interi consecutivi. I quadrati antimagici più ridotti sono i due seguenti di ordine 4.

Per entrambe queste matrici le somme di righe, colonne e diagonali forniscono i dieci interi consecutivi da 29 a 38.
Quadrati Latini
Un quadrato latino è una scacchiera quadrata di lato n con dei simboli su ogni casella, disposti in modo che ognuno compaia una e una sola volta in ogni riga e in ogni colonna. (Più formalmente, un quadrato latino può essere rappresentato come una matrice n x n a coefficienti nell'insieme dei primi n numeri naturali.)

Il nome "Latino" fu assegnato da Eulero che per primo lo utilizzò con simboli latini. In maniera più generale, si può anche rappresentare un quadrato latino come il tensore Ti j k che esprime la relazione ternaria 'nella casella (i,j) c'è il simbolo k' (ovvero i coefficienti non nulli di T sono quelli delle triple per cui è verificata la relazione). Le proprietà del quadrato latino diventano: per ogni scelta di due indici (i,j) (o (i,k) o (j,k)), esiste una e una sola scelta del terzo indice k (o j o i) tale che valga la relazione T(i,j,k). Equivalentemente, ci sono n2 triple (i,j,k) non nulle, in ciascuna delle quali ogni coppia (i,j) (o (i,k) o (j,k)) compare una e una sola volta. Il Sudoku, popolare gioco dell'enigmistica risulta quindi un particolare quadrato latino di modulo 9 con l'ulteriore proprietà che in ogni sottoquadrato 3x3 non deve comparire più di una volta lo stesso numero.
Proprietà:
Scambiando tra loro due righe o due colonne, oppure cambiando i simboli di un quadrato latino, si ottiene di nuovo un quadrato latino. Due quadrati latini che possono essere ottenuti l'uno dall'altro tramite queste operazioni si dicono isotopi. L'isotopia è una relazione di equivalenza. Nella rappresentazione Ti j k , due quadrati latini isotopi si ottengono uno dall'altro tramite permutazioni su ognuno degli indici.
Un'altra relazione di equivalenza tra quadrati latini ammette anche permutazioni tra gli indici delle corrispondenti rappresentazioni Ti j k . In particolare, lo scambio degli indici i e j corrisponde alla trasposizione del quadrato latino (scambio delle righe con le colonne).
Quadrato greco-latino
Una variante del quadrato latino è il quadrato greco-latino: una scacchiera quadrata di lato n con coppie di simboli su ogni casella, disposti in modo che ogni simbolo compaia una e una sola volta in ogni riga e in ogni colonna, e che ogni coppia compaia una e una sola volta. Ogni quadrato greco-latino è dato da una coppia di quadrati latini 'ortogonali'. In origine i due quadrati latini venivano riempiti rispettivamente con lettere dell'alfabeto greco e di quello latino, da cui il nome greco-latino. Un quadrato greco-latino può essere rappresentato dalle quadruple di indici (i,j,k,l) per cui vale la relazione 'nella casella (i,j) c'è la coppia (k,l)'. Un quadrato greco-latino è costituito da n2 quadruple, tali che in ciascuna coppia di indici le possibile coppie di simboli compaiano una e una sola volta.

Nel 1782 Eulero propose il Problema degli ufficiali: disporre su una scacchiera 36 ufficiali appartenenti a 6 reggimenti diversi e con 6 gradi diversi, in modo che in ogni riga e in ogni colonna siano rappresentati tutti i reggimenti e tutti i ranghi. Il problema degli ufficiali è equivalente alla costruzione di un quadrato greco-latino di lato 6.
Si possono costruire quadrati greco-latini di lato n ogni n maggiore di 2 e diverso da 6. Eulero dimostrò che si possono costruire quadrati greco-latini di ordine n per ogni n dispari o multiplo di 4, congetturando che questo non fosse possibile per n=2 (mod 4). Nel 1901 Tarry provò la congettura per n=6, mostrando quindi che il problema degli ufficiali non ammette soluzione. Nel 1960 Bose, Parker e Shrikhande, dopo aver già confutato la congettura di Eulero, mostrarono che il problema ammette soluzione per ogni n=2 (mod 4) maggiore di 6.
Il quadrato latino nella letteratura
La sestina lirica è una struttura poetica costituita da 6 stanze di 6 versi (più 3 di congedo). Una delle regole secondo cui viene costruita prevede che ogni verso termini con una tra 6 parole possibili, le quali non possono comparire due volte nella stessa stanza, né due volte nello stesso verso di stanze diverse. Scrivendo queste parole all'interno di un quadrato, in funzione della stanza e del verso in cui compaiono, si costruisce un quadrato latino.
|
|
Stanza 1 |
Stanza 2 |
Stanza 3 |
Stanza 4 |
Stanza 5 |
Stanza 6 |
|
Verso 1 |
A |
F |
C |
E |
D |
B |
|
Verso 2 |
B |
A |
F |
C |
E |
D |
|
Verso 3 |
C |
E |
D |
B |
A |
F |
|
Verso 4 |
D |
B |
A |
F |
C |
E |
|
Verso 5 |
E |
D |
B |
A |
F |
C |
|
Verso 6 |
F |
C |
E |
D |
B |
A |
Il romanzo La vita: istruzioni per l'uso dell'oulipista Georges Perec fa abbondante uso di quadrati greco-latini. In esso viene descritto un immobile parigino di 100 stanze disposte su 10 piani, come in una scacchiera quadrata di lato 10. Ogni capitolo è riservato alla narrazione di una singola stanza. Per scrivere il romanzo Perec, come spiega nel suo Cahier des charges, stila 42 liste di 10 elementi ciascuna, corrispondenti a vincoli narrativi (mobilio, persone, ecc.), le divide in 21 coppie e attribuisce ad ognuna un quadrato greco-latino di lato 10, le cui caselle corrispondono alle stanze dell'immobile. Ogni stanza è quindi caratterizzata da 42 vincoli narrativi.
Quadrato alfamagico
Si tratta apparentemente di normali quadrati magici con varie costanti, ma se ai numeri in cifre si sostituiscono quelli in lettere, si contano i caratteri di ogni casella e si scrivono i nuovi numeri ottenuti si produrrà un nuovo quadrato sempre magico e dello stesso ordine di quello di partenza. Facciamo un esempio.

La costante del primo quadrato è 381 mentre di quello che ne deriva è 45.
Questo tipo di quadrato fu ideato dall'esperto olandese di matematica ricreativa Lee Sallow che, in uno studio pubblicato nel 1986, presentò molti esempi di "alphamagic square" composti in varie lingue (moderne, antiche e arcaiche .) e realizzati grazie a un programma per computer di sua invenzione. Mentre alcune lingue offrono, però, un gran numero di possibilità diverse, quello riportato qui sopra è l'unico esempio ottenibile in italiano a meno di banali derivazioni.

Quadrati magici derivati
Da un quadrato magico se ne possono derivare infiniti altri attraverso diversi metodi.
I. Se ne può ottenere uno aumentando ogni numero di quello di partenza di una medesima quantità d, cioè costituendolo tramite una nuova progressione di ragione r + d se la ragione di partenza era r. Prendiamo ad esempio il quadrato magico di modulo 3 formato con la progressione 3, 5, 7 . 19. Ne posso formare uno nuovo aggiungendo al primo numero l'ultimo moltiplicato per 10, al secondo il penultimo sempre moltiplicato per dieci e così via. Dai primitivi numeri 3, 5, 7, . 19 si otterranno dunque i nuovi numeri 3 + 190, 5 + 170, 7 + 150, . 19 + 30. La costante del nuovo quadrato sarà poi 3 (11 x 110) = 363.

II. La serie dei numeri coi quali si può formare un quadrato magico può essere una progressione aritmetica oppure una serie di diverse progressioni aritmetiche, nel seguente modo.
n numeri:
a a + r a + 2r a + 3r . a + (n-1)r
oppure:
[a + (n-1)r + m] [a + (n-1)r + m] + r [a + (n-1)r + m] + 2r . [a + (n-1)r + m] + (n-1)r
e così via. Si può assumere m negativo e di grandezza compatibile con l'ennesimo numero della serie ordinata in quadrato magico per evitare ripetizioni, come ad esempio, nel quadrato sottostante di modulo 3 nel quale r =1 m = -6, e che sarebbe derivato da quello accanto. Evidentemente quello derivato non è altro che il diretto che si sarebbe però ottenuto coi numeri 3, 4, 5, 7, 8, 9, 11, 12, 13 cioè con r =1 e m =2.

III. In un quadrato magico di lato 3 possiamo disporre ordinatamente al posto della sequenza ordinata dei numeri 1, 2, 3, . 9 dei numeri:
a a + x a + 2x
b b + x b + 2x
c c + x c + 2x
Costituenti tre progressioni aritmetiche di ragione x, i cui primi termini siano a, b, c. Avremo, dunque il seguente quadrato:

In ogni colonna la somma sarà: a + b + c + 3x
In ogni riga: a + b + c + 3x
Nella prima diagonale: 3b + 3x
Nella seconda diagonale: a + b + c + 3x.
Affinché il quadrato sia magico dovrà dunque essere soddisfatta questa equazione :
a + b + c = 3b ossia a + c = 2b
Ad esempio diamo alle costanti i seguenti valori x = 3, a = 1 e b =5. Ne consegue quindi che c = 2x5-1 = 9. In questo modo potremo costruire il seguente quadrato.

In modo analogo si possono formare quadrati di modulo qualsiasi scegliendo i primi termini di ciascuna progressione in modo da evitare ripetizioni di numeri.
IV. Un quadrato magico lo sarà ancora se si modificano i numeri aggiungendo accanto a un numero lo stesso, anche ripetute volte, (es. 32 3232) o quello della corrispondente casella di un altro quadrato magico. Un esempio del primo caso è fornito dai seguenti quadrati:

Osserviamo che le unità del medesimo ordine devono corrispondere quindi 7 nel nostro caso non diventerà 77 ma 707; in altri termini si deve considerare il 7 come 07.
Nel secondo caso potremmo invece avere:

V. Avremo un quadrato magico a potenza (caso particolare di quelli a prodotto) ogni qualvolta che gli esponenti dati alla stessa base siano tali da costituire un quadrato magico. Nell'esempio sottostante in ogni riga, colonna e diagonale si avrebbe come prodotto costante 315, ossia 35x3.
|
|
|
|
|
|
|
|
|
|
|
|
VI. quadrati nei quali la costante è uguale ad un millesimo determinato. Questi quadrati si formano partendo da un quadrato magico di un determinato modulo e aggiungendo a ciascun numero di esso un numero che si calcola dividendo il millesimo scelto per il modulo scelto.
Consideriamo ad esempio 1896 che è un millesimo divisibile per 3 e scegliamo quindi 3 come modulo del quadrato. Dividendo 1896 per 3 otteniamo 632 e questo è il numero che dovrà occupare il centro del quadrato. Naturalmente il numero di partenza (ricordando il quadrato fondamentale) sarà 632 - 4 = 628.

Se il millesimo non fosse divisibile per il modulo allora, per trovare il numero a cui aggiungere le cifre del quadrato fondamentale, gli si sottrae la costante tipica del quadrato fondamentale e poi lo si divide. Ad esempio se volessimo un quadrato di modulo 4 col millesimo 1862 faremo 1862 - 34 =1828, 1828 / 4 = 457. A 457 si aggiungeranno poi 1, 2, 3, . 9 per ottenere i numeri da inserire in ogni casella.
Capitolo V
Sator Arepo Tenet Opera Rotas
I quadrati letterali
I quadrati letterali sono dei tipi di acrostici (componimenti poetici in cui le lettere o le sillabe o le parole iniziali di ciascun verso formano un nome o una frase, a loro volta denominate acronimo). E' formato da varie parole tutte della stessa lunghezza. Il numero dei caratteri deve essere uguale al numero di parole con cui viene costruito il quadrato. Esse possono essere lette indifferentemente in orizzontale o in verticale. Particolari sono quelli composti da palindromi o bifronti, che possono anche essere letti dal basso all'alto e da destra a sinistra, ma sono più complicati da costruire. Alcuni infine contengono una vera e propria frase che acquista più magia se è anch'essa bifronte o palindroma come nel caso del "Quadrato del Sator" e vengono detti bimagici.
Quadrato del Sator
Con l'espressione "Quadrato del Sator" si indica una struttura a forma di quadrato magico composta dalle cinque parole latine: SATOR, AREPO, TENET, OPERA, ROTAS, che, considerate di seguito, danno luogo ad un palindromo (frase che rimane identica se letta da sinistra a destra o viceversa). Disponendo le parole su una matrice quadrata (vedasi figura), si ottiene una struttura che ricorda quella dei quadrati magici di tipo numerico. Le cinque parole si ripetono se vengono lette da sinistra a destra e da destra a sinistra, oppure dall'alto al basso o dal basso in alto. Al centro del quadrato la parola TENET forma una croce palindroma.

La storia del misterioso quadrato
Il curioso quadrato magico è visibile su un numero sorprendentemente vasto di reperti archeologici, sparsi un po' ovunque in Europa. Ne sono stati rinvenuti esempi nelle rovine romane di Cirencester (l'antica Corinium) in Inghilterra, nel castello di Rochemaure (Rh ne-Alpes), a Oppède in Vauncluse, a Siena sulla parete del Duomo di fronte al Palazzo Arcivescovile, nell'abbazia Certosa di Trisulti a Collepardo (FR), a Santiago di Compostela in Spagna, ad Altofen in Ungheria, solo per citarne alcune.

A volte le cinque parole si trovano disposte in forma radiale come nell'abbazia di Valvisciolo a Sermoneta (Latina), oppure in forma circolare come nella Collegiata di Sant' Orso di Aosta. Altre chiese medioevali ancora nelle quali si registra, in Italia, la presenza della frase palindroma (in forma di quadrato magico oppure in forma radiale o circolare) sono la Pieve di San Giovanni a Campiglia Marittima, la chiesa di San Pietro ad Oratorium a Capestrano (AQ), la Chiesa di San Michele ad Arcè frazione di Pescantina (Verona), ed altri ancora.
L'esempio più antico e più celebre è quello rinvenuto nel 1925 negli scavi di Pompei, inciso sulle scanalature di una colonna della Grande Palestra: esso ha avuto una grande importanza negli studi storici relativi alla frase palindroma; a partire da questo ritrovamento, il quadrato del Sator viene anche detto latercolo pompeiano. L'ultimo ritrovamento italiano risale al luglio del 2007: un gruppo di giovani siciliani durante un'uscita notturna ha rinvenuto il Quadrato del Sator inciso sulle dismesse travi di un vecchio scheletro d'abitazione, accompagnato dai disegni di un oplita greco (termine per indicare i soldati della fanteria pesante) e da quello di un geroglifico, oltre che all'epigrafe latina 'Sum gaudens horizonti tuo nomine viventis in perpetuum', in località Sciara di Scorciavacca, nel territorio di Presa, in provincia di Catania.
L'enigma del significato
Qual è il significato del quadrato magico? Per quale ragione ha avuto
tanta diffusione? Difficile stabilire il significato letterale della frase
composta dalle cinque parole, dal momento che il termine AREPO non è
strettamente latino. Alcune congetture su tale parola (nelle Gallie e nei
dintorni di Lione esisteva un tipo di carro celtico che era chiamato arepos,
si presume allora che la parola sia stata latinizzata in arepus e che
nel quadrato essa abbia la funzione di un ablativo strumentale, cioè un complemento
di mezzo) portano ad una traduzione, di senso oscuro, quale Il seminatore,
col suo carro, tiene con cura le ruote, della quale si cerca di chiarire il
senso intendendo il riferimento al seminatore come richiamo al testo
evangelico.
Pensando invece che il termine AREPO sia il nome proprio di un misterioso
seminatore, si arriva alla traduzione Arepo, il seminatore, tiene con cura
le ruote che sembra prosaicamente alludere a pratiche agricole.
La presenza del palindromo in molte chiese medievali induce a considerarlo - per quanto possa aver avuto un'origine più antica- un simbolo che si inserisce nella cultura cristiana di quel periodo. Partendo dalla identificazione del Sator, il seminatore, con il Creatore, qualche studioso ha proposto la seguente interpretazione: 'Il Creatore, l'autore di tutte le cose, mantiene con cura le proprie opere'. L'interpretazione del palindromo nell'ambito della cultura cristiana è coerente con la grande quantità di presenze e ritrovamenti in luoghi di culto medievali. Il ritrovamento del 'latercolo pompeiano', risalente a data anteriore al 79 D.C., ha sollevato numerose controversie sull'origine cristiana o meno del quadrato.
Osservando, con spirito enigmistico, l'insieme delle lettere che lo compongono, F. Grosser ha rilevato che esse possono servire a comporre una croce nella quale la parola 'PATERNOSTER' si incrocia sulla lettera N: avanzano due A e due O, che possono porsi ai quattro estremi della croce, come fossero l'alfa e l'omega, il principio e la fine.

Il quadrato sarebbe dunque una crux dissimulata, un sigillo nascosto in uso tra i primi cristiani ai tempi delle persecuzioni. Questa interpretazione è rafforzata dal fatto che il quadrato magico stesso contiene al suo interno una croce quadrata dissimulata, costituita dall'incrocio, al centro del quadrato, delle due parole TENET, l'unica parola della struttura che è palindroma di sé stessa. Inoltre è stato osservato che lo stesso carattere T era utilizzato dai primi cristiani per indicare la croce, così come altre strutture che ne potevano richiamare la forma come l'albero della nave o il timone. Questa interpretazione, per quanto plausibile, non è accettata da tutti gli studiosi, specie da quanti rifiutano l'origine cristiana del palindromo.
Una spiegazione più semplice - rispetto a quella della crux dissimulata - sostiene che, coerentemente con abitudini diffuse nel Medioevo, l'impiego in ambiente cristiano del quadrato del Sator doveva corrispondere a finalità apotropaiche (esorcizzanti) come avvenne per molte altre iscrizioni suggestive, del tipo 'Abracadabra' o 'Abraxas'. Non sarà stata ininfluente, a questo riguardo, la presenza all'interno del quadrato della croce formata dalla doppia parola TENET.
La lettura all'interno del palindromo della parola 'PATERNOSTER' come crux dissimulata avviene per via di un anagramma. Tale lettura parte dall'attribuzione del quadrato all'ambiente cristiano: essa è stata posta in dubbio da alcuni studiosi, ma è basata su fondamenta storiche che risultano ben più solide rispetto alle tante congetture che si reggono sulla semplice analisi degli anagrammi che, di per sè, non può essere considerata come probante. In effetti è ben noto come, a partire da un certo numero di lettere, sia possibile ottenere un gran numero di frasi completamente diverse, anche se non palindrome. Tra i tanti esempi possibili in campo religioso, se ne possono citare alcuni : O PATER, ORES, PRO AETATE NOSTRA (O Padre, prega per la nostra età); ORA, OPERARE, OSTENTA TE, PASTOR (Prega, opera e mostrati, o Pastore); RETRO SATANA, TOTO OPERE ASPER (Vai dietro, Satana, crudele in tutte le tue opere). Non mancano neppure invocazioni diaboliche: SATAN, TER ORO TE, REPARATO OPES! (Satana, ti prego per tre volte, restituiscimi le mie fortune).
Congetture varie
Una studiosa italiana, la professoressa Bianca Capone, attraverso una approfondita analisi dei siti in cui sono stati rinvenute vestigia del Quadrato Sator, arriva a sostenere che dietro alla diffusione del misterioso sigillo ci sia stata l'opera dei Cavalieri Templari. Questo studio, in virtù del richiamo ai Templari, ha probabilmente stimolato ulteriormente la formulazione di congetture ermetiche, cabalistiche e negromantiche.
Un'altra congettura suggestiva è quella formulata dalla scrittrice Silvana Zanella. Viene proposta una lettura 'bustrofedica' del quadrato, vale a dire effettuata cambiando verso di percorrenza alla fine di ogni riga (o di ogni colonna), in modo tale che la frase da interpretare diventa 'SATOR OPERA TENET AREPO ROTAS'. L'oscuro termine AREPO viene preso come contrazione di Areopago (nel senso di tribunale supremo). In questo modo si arriva alla traduzione "Il seminatore decide i suoi lavori quotidiani, ma il tribunale supremo decide il suo destino", e, restituendo ad essa il suo significato morale, L'uomo decide le sue azioni quotidiane, ma Dio decide il suo destino. La congettura ovviamente non spiega tutto. In particolare non spiega quelle iscrizioni in cui - come in quella di Aosta - le parole del Sator non sono disposte nella forma canonica del quadrato, impedendone una lettura bustrofedica.
Una ulteriore spiegazione proposta è quella per cui il quadrato Sator sarebbe una mappa universale per la distribuzione della posta nei primi secoli dell'impero romano. In questo senso la croce centrale TENET+TENET veniva fatta coincidere col Cardo e il Decumano degli accampamenti militari e di molte cittadine a base quadrata. Il Quadrato era una vista da Nord del modello di città, con il lato superiore corrispondente al Sud e il lato sinistro all'Est. Ad esempio all'indirizzo Arepo-Opera corrispondeva l'incrocio tra la riga Arepo e la colonna Opera, che coincideva con un punto preciso della mappa della città al centro del settore Sud-Ovest.
"Matematica curiosa e dilettevole" di Italo Ghersi
"Il quadrato magico - un mistero che dura da duemila anni" di Rino Cammilleri
https://www2.polito.it
https://it.wikipedia.org
https://utenti.quipo.it/base5/
https://www.matematicamente.it/
![]() |
|
| Appunti Geografia | ![]() |
| Tesine Statistica | ![]() |
| Lezioni Contabilita | ![]() |