![]() |
|
| Appunti scientifiche |
|
| Visite: 2421 | Gradito: |
Leggi anche appunti:Galileo Galilei (Pisa 1564 - Arcetri 1642)Galileo Galilei (Pisa 1564 - Arcetri 1642) I punti principali su cui si La velocita' della luceLA VELOCITA' DELLA LUCE Misure nel vuoto La prima valutazione quantitativa della Modello atomico di BohrModello atomico di Bohr La contraddizione del modello atomico planetario di |
![]() |
![]() |
LA DILATAZIONE DEI TEMPI NELLA RELATIVITA' RISTRETTA DI EINSTEIN
La nostra quotidiana esperienza del
tempo ci suggerisce che esso fluisce in avanti a velocità costante. Tuttavia le
cose cambiano per fenomeni che avvengono a velocità prossime a quella della
luce.
Secondo la teoria di Maxwell, la luce emessa in avanti e indietro da un'astronave ha sempre velocità c, qualunque sia la velocità con cui essa si muove. La velocità della luce risulta quindi essere un'invariante, cioè una grandezza che non dipende dal sistema di riferimento in cui è misurata. Ciò era in disaccordo con le previsioni della meccanica classica e delle trasformazioni di Galileo.
La teoria di Einstein si basa su due assiomi:
Einstein, partendo dall'ipotesi della costanza della velocità della luce c, si accorse che tutta la fisica sviluppata fino ad allora si basava sull'ipotesi che esistesse un tempo assoluto, ipotesi data per scontata ma per lui per niente ovvia. Egli analizzò l'idea del tempo assoluto, cioè di un tempo che scorre immutabile e indifferente, identico in tutti i sistemi di riferimento, partendo dal concetto di simultaneità.
Due fenomeni F1 ed F2 che avvengono nei punti P1 e P2 sono simultanei se la luce che essi emettono giunge nello stesso istante in un punto M equidistante da P1 e P2.

Tuttavia il giudizio di simultaneità è relativo: due eventi che risultano simultanei in un dato sistema di riferimento non lo sono in un altro che si muova rispetto al primo.

LA DILATAZIONE DEI TEMPI
La durata del fenomeno misurata in un sistema di riferimento solidale con esso è la stessa da qualunque punto la si misuri e si chiama intervallo di tempo proprio del fenomeno (Δτ). L'intervallo di tempo proprio è il valore minimo che la durata del fenomeno può avere al cambiare del sistema di riferimento.

Si dimostra che:
, dove β2 = v2 / c2
Da qui risulta che c è la velocità massima di ogni corpo in quanto se la velocità fosse maggiore di c, l'argomento della radice quadrata nella formula diventerebbe negativo e ciò è impossibile. Nonostante ciò, secondo alcuni studiosi, le formule della relatività ristretta impediscono ad un corpo di raggiungere la velocità della luce, ma non vietano l'esistenza di particelle che viaggino sempre a velocità superiori a c, senza mai scendervi sotto: i cosiddetti tachioni. Pur essendo un'interpretazione interessante, al momento non c'è alcuna evidenza sperimentale di simili particelle: la teoria prevede peraltro che esse non possano interagire con la materia ordinaria (di cui è necessariamente costituito un eventuale strumento rivelatore) senza generare potenziali paradossi causali.
La dilatazione dei tempi trova una conferma sperimentale nelle osservazioni dei raggi cosmici, in cui sono presenti particelle instabili chiamate "muoni", la cui vita media è di circa due milionesimi di secondo. Queste particelle si formano per l'interazione dei raggi cosmici con l'atmosfera a un'altezza di circa 30 km. Se anche viaggiassero quasi alla velocità della luce, impiegherebbero circa un decimillesimo di secondo ad arrivare a terra, quindi dovrebbero essere decaduti molto tempo prima di raggiungere i rilevatori. Invece essi vengono osservati ancora vivi. Questo perché il tempo a velocità molto prossima a quella della luce si è dilatato migliaia di volte. Se fosse possibile viaggiare a cavallo di un muone, la dilatazione non sarebbe avvertita dal viaggiatore perché anche i battiti del suo cuore e quelli del suo orologio sarebero rallentati di attrettanto.
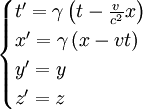
LE TRASFORMAZIONI DI LORENTZ
Scritte prima del lavoro di Einstein, le trasformazioni di Lorentz descrivono le modifiche da apportare alle equazioni galileiane della relatività classica. Le trasformazioni di Lorentz sono trasformazioni lineari con cui è possibile ricavare, a partire dalle coordinate nel sistema di riferimento S (t,x,y,z), le coordinate rispetto al sistema di riferimento S' (t',x',y',z') di un evento nello spaziotempo. Senza perdere di generalità, si può assumere che S' abbia i tre assi spaziali paralleli a quelli di S, che il sistema S' si muova con velocità v lungo l'asse x di S e che le origini dei due sistemi di riferimento coincidano per t' = t = 0.

Le trasformazioni di Galileo rimangono comunque valide quando le velocità sono molto più piccole di c.
![]() |
| Appunti su: rivelatore d in dilatazione del tempo, |
|
| Appunti Biologia | ![]() |
| Tesine Geografia | ![]() |
| Lezioni Chimica | ![]() |