![]() |
|
| Appunti universita |
|
| Visite: 3366 | Gradito: |
Leggi anche appunti:Ricerca sull'InquinamentoRicerca sull'Inquinamento Il mondo in cui viviamo è il risultato del perfetto Le piazze del futuro: biblioteche in progressLe piazze del futuro: biblioteche in progress Un titolo così non può che stimolare Non solo guerraNON SOLO GUERRA Area balcanica non è solo sinonimo di violenza, guerra e terrore. Non |
![]() |
![]() |
Dalla Sezione Aurea alle Piramidi di Giza, dalle stelle al Sistema Solare: tra arte, matematica e esoterismo
E per orientarsi.
Ambito artistico-scientifico:
v Introduzione ai temi trattati
v La "magica" Sezione Aurea.tra Pitagora e l'Egitto dei Faraoni SEZIONE: Qualcosa sul seno
v Cosa c'entrano le Piramidi?
v Ma il legame fra le piramidi e le stelle?!
L'ipotesi più o meno fantasiosa di Bauval
v Gli egizi, quindi non erano dotati di conoscenze astronomiche?
v Dalle stelle imperiture, al moto apparente dei corpi celesti fino al modello della nascita delle stelle.
v Ma come nascono appunto le stelle?
v Il modello dell'evoluzione stellare
v Infine qualche cenno sul calore..
v Bibliografia
Introduzione ai temi trattati
|
C |
ome appassionata di antichi misteri, Piramidi e stelle non potevo sottrarmi dal trattare di simili argomenti: dalla Sezione Aurea, al suo legame con l'arte, dalla Grande Piramide di Cheope fino alle stelle, dalla loro nascita alla loro evoluzione. Spero di essere stata quanto più rigorosa possibile ed al contempo di aver dimostrato in parte come la scienza dovrebbe continuamente interrogarsi su quelli che restano ancora indubbiamente dei piccoli misteri, dimostrando, magari, una maggiore apertura e affermando ancora una volta il suo perenne mettersi in gioco e mettere in dubbio le conoscenze finora raggiunte. Cos'è d'altronde una verità scientifica? "La finalità della scienza è dubitare dei suoi risultati" diceva Morandotti non uno scienziato, ma un famoso storico italiano..Sarà forse per questo?
La "magica" Sezione Aurea.tra Pitagora e l'Egitto dei Faraoni
La Sezione Aurea consiste in un
rapporto fra due grandezze disuguali, di cui la maggiore è medio proporzionale
rispetto la minore e la loro somma (a+b : a = a : b), oppure
il numero corrispondente, approssimativamente pari a 1.618 (0.618).
Algebricamente il numero esatto può essere presentato soltanto con la formula:
![]()
trattandosi di un numero irrazionale, infatti, non può essere ridotto ad una
frazione generatrice, ma può comunque essere approssimato, con crescente
precisione, dai rapporti fra due numeri successivi della serie di Fibonacci, a
cui è intrinsecamente legato.
Sia le sue proprietà geometriche e matematiche, che la frequente riproposizione della proporzione in svariati contesti naturali, apparentemente slegati tra loro, hanno impressionato nei secoli la mente dell'uomo, che è arrivato a cogliervi col tempo un ideale di bellezza e armonia, spingendosi a ricercarlo e, in alcuni casi, a ricrearlo nell'ambiente antropico quale canone di bellezza; testimonianza ne è forse la storia del nome che in epoche più recenti, in particolare nell'Ottocento ha assunto gli appellativi di 'aureo' ( sezione aurea ) o 'divino' ( divina proporzione ), proprio a dimostrazione del fascino esercitato, attirandosi l'attenzione di numerosi artisti e progettisti.
Non a caso un largo contributo alla conoscenza ed alla divulgazione di questo metodo di aurea suddivisione armonica è stato dato dal matematico Luca Pacioli con la pubblicazione del libro De divina Proportione, testo illustrato con disegni di Leonardo Da Vinci, pubblicato a Venezia nel 1509.
In questo trattato inoltre, Pacioli ricercò nella proporzione dei numeri i principi ispiratori in architettura, scienza e natura: la regola aurea introdotta fu in seguito chiamata praxis italica. L'aggettivo divina si giustifica perché essa ha diversi caratteri che appartengono alla divinità: è unica nel suo genere, è trina perché abbraccia tre termini, indefinibile in quanto è irrazionale, è invariabile.
Utilizzando la sezione aurea nei suoi dipinti Leonardo inoltre scoprì che, guardando le opere, si poteva creare un sentimento di ordine.
In particolare Leonardo incorporò il rapporto aureo in tre dei suoi capolavori: La Gioconda, L'ultima cena e L'Uomo di Vitruvio.
|
|
Nella Gioconda il rapporto aureo è stato individuato:
|
|
|
Ne L'Ultima cena, Gesù, il solo personaggio veramente divino, è dipinto con le proporzioni divine, ed è racchiuso in un rettangolo aureo. |
Ne L'Uomo, Leonardo studia le proporzioni della sezione aurea secondo i dettami del De architectura di Vitruvio che obbediscono ai rapporti del numero aureo. Leonardo stabilì che le proporzioni umane sono perfette quando l'ombelico divide l'uomo in modo aureo.
|
Vitruvio nel De Architectura scrive: 'Il centro del corpo umano è inoltre per natura l'ombelico; infatti, se si sdraia un uomo sul dorso, mani e piedi allargati, e si punta un compasso sul suo ombelico, si toccherà tangenzialmente, descrivendo un cerchio, l'estremità delle dita delle sue mani e dei suoi piedi'. |
|
|
|
La sezione aurea affascinò altri pittori, come Botticelli (1445-1510) e la rappresentò ne La Venere. Infatti misurando l'altezza da terra dell'ombelico e l'altezza complessiva il loro rapporto risulterà 0.618, così anche il rapporto tra la distanza tra il collo del femore e il ginocchio e la lunghezza dell'intera gamba o anche il rapporto tra il gomito e la punta del dito medio e la lunghezza del braccio. |
Importanti anche i dipinti del pittore ottocentesco Pierre Mondrian,autore di numerosi quadri astratti in cui domina l'uso di figure geometriche.
In questo quadro è ben visibile l'impostazione artistica di Mondrian che
basa l'intero dipinto sull'accostamento di quadrati e rettangoli aurei.
|
Nell'opera dal titolo La parade du cirque il pittore divisionista francese Georges Seurat impiega varie sezioni auree alcune delle quali evidenziate in figura. |
|
Insomma questa riconosciuta come un rapporto esteticamente piacevole è stata usata come base per la composizione di quadri o di elementi architettonici, anche se In realtà è stato dimostrato come la percezione umana mostri una naturale preferenza e predisposizione verso le proporzioni in accordo con la stessa; gli artisti tenderebbero dunque, quasi inconsciamente, a disporre gli elementi di una composizione in base a tali rapporti.
Dunque vediamo geometricamente in cosa consista tale tanto famoso rapporto attraverso gli studi condotti dai pitagorici. Essi, in particolare descrissero le proprietà di molte figure geometriche mediante l'aritmetica, ma una figura che attirò maggiormente la loro attenzione fu il pentagono stellato (pentagramma o pentacolo), ottenuto tracciando le cinque diagonali di un pentagono regolare.
Le diagonali del pentagono permettono di definire diversi triangoli isosceli, che risultano simili tra di loro, in particolare se si considerano i triangoli simili AA1B e BDE si ha:
BE : BA1 = DE : AA1 = BA1 = A1E

B


![]()

x A C
![]()
A1![]()
![]()
E D
Figura 1
La diagonale AD del pentagono divide la diagonale BE in due segmenti BA1 e A1E tali che il rapporto tra la diagonale e il segmento maggiore BA1 è uguale al rapporto tra il segmento maggiore e il minore A1E. La precedente costruzione permette di dividere una linea in media ed estrema ragione e il segmento maggiore BA1 viene indicato come "sezione aurea" della linea BE. Se indichiamo con d0 la lunghezza della diagonale e con x la sua sezione aurea, il valore di x è dato dalla soluzione algebrica dell'equazione di secondo grado:
d0
/ x = x / d0 - x x2 + x d0 =
d02
da cui:
x = d0 / 2 ( - 1
) = d1
Per BE =d0=1 si ha che una soluzione della è uguale a BA1=d1=0.618034., mentre l'altra soluzione in valore assoluto è 1/BA1=1.618034.. Spesso in letteratura il numero irrazionale rappresentato da 1/BA1 è indicato con F in onore dello scultore Fidia, che fu tra i primi a utilizzare tale numero nelle proporzioni delle sculture decorative del Partenone.
Mentre i progettisti (Ictino e Callicrate), pur conoscendo le proprietà della sezione aurea perché il Partenone fu costruito verso gli anni 440 a.C., non la utilizzarono come criterio di progetto.
Alcune volte si indica come sezione aurea il valore di =BA1 = 1/.
Per la (1) i valori della sezione aurea soddisfano le equazioni
1 + = = 2
da cui sarà possibile ottenere delle formule ricorsive sulla sezione aurea.
Euclide, nelle Proposizioni 11 (Libro II) e 30 ( Libro VI) degli Elementi, propose un metodo grafico per la soluzione della (2) e iterando la costruzione grafica ottenne dei rettangoli aurei, i cui rapporti tra il lato maggiore e quello minore era uguale a . Oltre agli Elementi, Euclide scrisse altri libri come l'Ottica, che contiene i primi studi di prospettiva, ripresi più di 1700 anni dopo dal pittore e matematico Piero della Francesca.
Se si considerano gli angoli della Figura 1 è possibile trovare una relazione tra la sezione aurea e un altro importante numero irrazionale che è adoperando il seno. Infatti, si ha che l'angolo EBD=36°=/5, per cui se si pone BE=1 si ha
ED=ϕ=2 sin(/10)
Pertanto, in un triangolo isoscele, i cui angoli sono (72°,36°,72°), il rapporto tra il lato e la sua base è uguale alla sezione aurea, tale triangolo è detto aureo. Mentre se si considera il triangolo isoscele ABE, i cui angoli sono (36°,108°,36°) si ha che il rapporto tra la base e il lato è uguale a F , tale triangolo è indicato come gnomone aureo.
Qualcosa sul seno
Vai a: Navigazione cerca
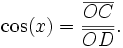
Dato un triangolo rettangolo, il seno di uno dei due angoli interni adiacenti all'ipotenusa è definito come il rapporto tra le lunghezze del cateto opposto all'angolo e dell'ipotenusa
Più in generale, il seno di un angolo α, espresso in gradi o radianti, è una quantità che dipende solo da α, costruita usando la circonferenza unitaria
Definendo come sen(x) il valore del seno nell'angolo x, si ottiene la funzione seno, una funzione trigonometrica di fondamentale importanza nell'analisi matematica
Nel triangolo rosso in figura, il seno di x è dato da
Più in generale, si definisce il seno di un angolo x (espresso in gradi o radianti) a partire dalla circonferenza goniometrica, ovvero dalla circonferenza di raggio unitario nel piano cartesiano. Presa la semiretta uscente dall'origine che forma un angolo x con l'asse delle ascisse come in figura, il seno dell'angolo è quindi definito come il valore della coordinata y del punto di intersezione tra la semiretta e la circonferenza (in figura, è la lunghezza del segmento CD).
Il dominio della funzione seno è l'insieme dei numeri reali, mentre il codominio è l'intervallo reale [ − 1; + 1], ossia applicando tale funzione a qualunque numero reale si ottiene sempre un numero reale compreso tra −1 e +1, estremi inclusi.
La seguente tabella elenca i principali valori notevoli della funzione seno:
|
x in radianti |
|
|
|
|
|
|
|
|
|
x in gradi |
|
|
|
|
|
|
|
|
|
|
|
|
|
|
|
|
|
|
In alcuni libri il seno di x è indicato con la notazione anglofona sinx
Inoltre:
La funzione seno è definita associando ad x il seno dell'angolo x (rappresentato in radianti), ed è indicata con sen(x). Poiché x e x + 2 definiscono lo stesso angolo, la funzione seno è una funzione periodica di periodo 2π (2π è l'angolo giro
Rappresentazione grafica della funzione seno
Prima relazione fondamentale: seno e coseno
Tra seno e coseno esiste la relazione fondamentale:
sen2x + cos2x = 1
che è conseguenza del teorema di Pitagora. Infatti nel triangolo OCD nella figura in alto il coseno di x è definito come
D'altra parte il teorema di Pitagora applicato al triangolo OCD fornisce la relazione
e quindi
Se si considera un decagono regolare inscritto in una circonferenza di raggio R, la lunghezza del suo lato è uguale a
l10 = R 2 sin( /10) = R (4)
per cui il rapporto tra il raggio della circonferenza e il lato del decagono inscritto risulta essere uguale a .
Mentre, il lato e la diagonale di un pentagono regolare e il raggio della sua circonferenza circoscritta sono legate dalle seguenti relazioni
l5 = d0
d0 =
2R cos (/) l5 = 2 R cos( /10)
Tenuto conto che il lato di un esagono è uguale al raggio della circonferenza circoscritta
l6 = R
si ha dalle precedenti equazioni che
l102 + l62 = l52 = R2 (3 - ) (5)
per cui i lati di un decagono, esagono e pentagono iscritti in una circonferenza di raggio R sono i lati di un triangolo rettangolo.
Tale teorema fu dimostrato da Euclide nella Proposizione 9 del Libro XIII. Da Euclide fino a Pappo ( IV sec d.C.), Alessandria era diventata il più importante centro scientifico della matematica greca, il cui anno di inizio è il 306 a.C., quando Tolomeo I fondò una scuola, nota come Museo, e chiamò come docenti Euclide e Eratostene (276-194 a.C.), quest'ultimo assunse anche l'incarico di bibliotecario del Museo ed è noto per aver effettuato una misura molto precisa del raggio della Terra. Oltre ai due precedenti primi matematici e a Tolomeo ad Alessandria se ne formarono molti altri come Apollonio di Perga ( 262-190 a.C.), noto nell'antichità come "il Grande Geometra" e autore di un testo sulle Coniche, Diofanto , Erone, Tolomeo, Teone di Alessandria , ecc.. Con l'uccisione nel 415 di Ipatia da parte di fanatici cristiani, che era una studiosa di Apollonio e Diofante e figlia di Teone, si ebbe il declino della ricerca scientifica e matematica in Europa [2].
Fu merito degli arabi se non andarono distrutti molti testi della matematica greca, che li tradussero in arabo e alcune città arabe come Bagdad divennero i nuovi centri cosmopoliti della ricerca scientifica. A Bagdad insegnarono al-Khuwaritzmi, famoso per un trattato di Algebra pubblicato nell'anno 825, e Abu-Kamil Shoja ben Aslam, autore del trattato Sul pentagono e decagono, pubblicato verso l'anno 850, in cui si serviva della sezione aurea per la soluzione di grafica di equazioni algebrici.
Verso gli anni mille alcuni matematici europei poterono riscoprire la matematica greca attraverso i testi arabi e tra questi vi fu Leonardo da Pisa, noto col nome di Fibonacci (1180-1250). Fibonacci fu autore del trattato Liber Abaci, che oltre ad introdurre in Europa il nostro attuale sistema di numerazione decimale, indagò i legami tra l'aritmetica e la geometria, e influenzato dal trattato di Abu Kamil, studiò le proprietà della sezione aurea. Fibonacci trascorse molto tempo presso la corte di Federico II, che a quel tempo era uno dei centri culturali europei più vivi e importanti, e lo stesso imperatore Federico II mostrò interesse verso la matematica e in particolare sulle proprietà dei numeri e della Sezione Aurea.
Attualmente, Fibonacci viene ricordato per una particolare serie numerica ricorsiva, che fu ottenuta risolvendo un problema di crescita di una popolazione di conigli. Tale serie numerica ha delle proprietà che sono in relazioni alla Sezione Aurea.
Un altro studioso che si interessò della Sezione Aurea fu Giovanni Campano (1220-1296), che non a caso commentò e tradusse in latino gli Elementi di Euclide e l'Almagesto di Tolomeo.
Con l'inizio del Rinascimento si ha una riscoperta dell'architettura e degli autori classici, le proprietà della Sezione Aurea vengono riscoperte e applicate nel campo artistico-architettonico. In particolare, il matematico Luca Pacioli ( 1445-1517) le dedicò un intero trattato La Divina Proporzione . in cui riportava anche i contributi e risultati ottenuti da Piero della Francesca (1416-1492), che oltre ad essere un grande pittore era anche un eccellente matematico. Molte figure di poliedri regolari riportate nel trattato di Pacioli furono eseguite da Leonardo da Vinci (1452-1519). Un artista che fu molto influenzato da La Divina Proporzione fu Albrecht Durer ( 1471-1528), che in molte sue opere evidenzia i legami tra la matematica e la pittura. L'influenza del trattato di Pacioli non si limitò solo al campo artistico-architettonico ma innescò anche riflessioni di tipo teologico e filosofico per il nome Divina dato alla sezione aurea.
Nel XVI secolo, un altro matematico che restò affascinato dalla Sezione Aurea fu Keplero (1571-1630), e nel suo trattato l'Harmonices mundi la considerò insieme al teorema di Pitagora, un "gioiello prezioso della matematica". Keplero trovò un'interessante relazione tra i numeri di Fibonacci e propose un modello cosmologico che si basava sui cinque solidi regolari, la cui costruzionei dipendeva dalla sezione aurea.
Il matematico Jacques Bernoulli (1654-1705) studiò le proprietà della sezione aurea e le dedicò il trattato Spira mirabilis, in cui analizzava le proprietà di una spirale logaritmica,che Euclide aveva ottenuto nella costruzione dei rettangoli aurei. Nell'immensa produzione scientifica di Eulero (1707-1783) si trovano alcuni studi che riguardano anche la sezione aurea.
Nel 1837 M. Chasles pubblicò l'importante trattato "Aperçu Historique sur l'origine et dévelopment des Méthodes en Géométrie" in cui descriveva anche la storia della Sezione Aurea a partire da Pitagora. Con tale trattato si ebbe un rinnovato interesse dei matematici verso la Sezione Aurea , che scoprirono ulteriori proprietà geometriche e numeriche. Fra questi vi fu J.P. Marie Binet (1776-1856), professore del Polytechnique di Parigi, studioso di geometria descrittiva, teoria delle matrici, equazioni lineari alle differenze finite, ecc. .
Nel 1843 Binet ottenne un'equazione, nota come equazione di Binet, in cui la potenza n-ma della Sezione Aurea era definita mediante i numeri della serie di Fibonacci. Tale equazione era stata dimostrata nel 1765 anche da Eulero , che l'aveva riportata in una delle sue ricerche.
Un altro matematico che si interessò della Sezione Aurea fu F.E.A. Lucas (1842-1891), docente anche lui presso il Polytechnique di Parigi e studioso di Teoria dei Numeri e di complessi problemi computazionali, come quello della Torre di Hanoi. Lucas definì ricorsivamente dei numeri che si basavano su quelli di Fibonacci. Anche i numeri di Lucas presentano interessanti relazioni con la Sezione Aurea.
Dopo più di 2500 anni le proprietà della sezione aurea affascinano ancora i matematici e alcuni problemi come il ricoprimento non-periodico di superficie piane mediante tasselli presenta alcune soluzioni che si basano sulla sezione aurea [ 222]. Anche lo studio delle simmetrie pentagonali ha avuto delle recenti applicazioni nel campo dei materiali con l'osservazione di particolari forme cristalline, dette quasi-cristalli, che si basano sulla sezione aurea. Un'ultima applicazione della sezione aurea è nel campo della Teoria dei Frattali e ciò dipende dalla sua ben nota proprietà di auto-riproduzione.
Nel campo artistico-architettonico l'interesse verso la sezione aurea è stato per molto tempo ignorato e solo a partire dal XIX secolo vi furono degli studi sulle proporzioni in natura e nell'arte in cui la sezione aurea veniva assunta come uno dei principi nelle proporzioni artistiche e architettoniche [5,6,7,8].
Cosa c'entrano le Piramidi?
Le prime ben documentate applicazioni della sezione aurea al design artistico furono le sculture eseguite da Fidia per il Partenone. Sulla piramide di Cheope , lo storico Erodoto (485-425 a.C), che già conosceva i risultati geometrici ottenuti dai pitagorici, riportò che il criterio progettuale adottato dagli architetti della piramide di Cheope era quello di avere una piramide a base quadrata, la cui faccia laterale fosse equivalente all'area di un quadrato avente per lato l'altezza della piramide [13,14,15]. Ebbene, assumendo tale criterio di progetto risulta che rapporto tra l'altezza della faccia laterale (h1) e la metà della base è uguale a F. Se si considerano le dimensioni reali della piramide si che il lato della base è b=230.35 m mentre l'altezza è h=146.73 m. Con questi valori si ottiene h1/0.5xb= =186.534/115.175=1.61957, che differisce effettivamente di molto poco da F=1.61803..
Da quei pochi documenti egizi risalenti al 2500 a.C. risulta che gli egizi non conoscevano la sezione aurea ma, per esigenze di misurare il perimetro di una circonferenza, conoscevano un valore approssimato del numero , per cui tale numero, che doveva sembrare magico, potrebbe essere stato utilizzato dai progettisti. Infatti, se si fosse assunto come criterio di progettazione quello di avere una piramide tale che il perimetro della base fosse uguale a quella della circonferenza avente per raggio
2b / h = h
/ (b/2) = 4 = / = 1.27327
e dalle misure della piramide risulta che questo criterio è soddisfatto con maggiore precisione, poiché 2h/b=1.27397. E' interessante osservare che se si esegue il quadrato di 4/ si ha una buona approssimazione di
(4 / )2 = 1.621
Quest'ultima espressione è un'altra semplice relazione approssimata che lega a .
L'architetto romano Vitruvio (I Sec. d.C.) non fa nessun riferimenti alle proprietà della sezione aurea nel suo trattato Architectura , nonostante che tale numero venisse utilizzato nella progettazione architettonica e inoltre lui riteneva che la formazione di base di un architetto doveva basarsi sull'aritmetica e la geometria. La presenza di Fibonacci presso la corte di Federico II ebbe un'influenza su alcune scelte progettuali, come quelle adottate per la costruzione di un castello in Puglia (1240) a pianta ottagonale, in cui la geometria del pentagono appare già sulla facciata principale
Il trattato del Pacioli influenzò il design architettonico del Rinascimento, anche se non appare mai nei trattati architettonici, come quello pubblicato da Sebastiano Serio ( 1475-1554) in cui si consiglia di utilizzare proporzioni commensurabili. Mentre, furono soprattutto le opere degli artisti come Piero della Francesca e Leonardo a influenzare la pittura, perché adottarono in modo consapevole delle proporzione degli spazi ottenute dalla sezione aurea.
Nel XIX secolo, furono le ricerche di un teorico come Adolf Zeising (1810-1870) sulle proporzioni in architettura, a riproporre la sezione aurea come criterio per ottenere delle proporzioni che permettessero di bilanciare l'unità e la varietà del prodotto architettonico.
Nel XX secolo, Ernst Neufest ( 1900-1986) ripropone la sezione aurea ( Der goldener Schnitt) nel suo trattato Bauordnungslehre (1943) per avere le proporzioni nel design architettonico.
Un altro grande architetto del XX secolo, che collegandosi ad una concezione antropomorfa sempre viva in architettura a partire da Vitruvio, introdusse la sezione aurea nel design architettonici fu Le Corbusier ( 1887-1965), che pubblicò nel 1948 e 1955 due trattati (Le Modulor, Le Modulor II), in cui cercava di stabilire dei criteri architettonici sulla base che la natura è matematica. In tale trattato, nel definire le proporzioni e le dimensioni standard di un corpo umano utilizzò la Sezione Aurea e i numeri di Fibonacci, perché " .. on a démontré, at principalament à la Renaissence, que le corp humain obéit à la règle d'or".
Nel campo delle arti pittoriche, agli inizi del secolo scorso, molti pittori appartenenti al cubismo parteciparono alla mostra sulla Section d'Or, e la sezione aurea fu utilizzata per meglio scomporre le figure mediante poliedri. Il pittore italiano Gino Severini ( 1883-1966) utilizzò nelle sue opere la sezione aurea e cercò di fondere alcuni principi del cubismo con quello del futurismo.
Nel 2003 un gruppo di pittori americani si sono basati solo sui rettangoli aurei per la realizzazione delle loro opere, che vengono indicate come Sacred Geometry. Una di tali opere viene qui riportata. Una di tali opere viene qui riportata.
Un altro settore artistico in cui la sezione aurea è stata utilizzata è quello musicale, dove è importante adottare una struttura compositiva in cui il rapporto dei tempi sia ben definito per meglio percepire l'armonia musicale. Non a caso il primo che collegò la musica alla matematica fu Pitagora.
Ecco poche righe, tratte dal compositore Jean-Philippe Rameau dal suo Trattato dell'armonia ridotto ai suoi principi fondamentali (1722):
|
La musica è una scienza che deve avere regole certe: queste devono essere estratte da un principio evidente, che non può essere conosciuto senza l'aiuto della matematica. Devo ammettere che, nonostante tutta l'esperienza che ho potuto acquisire con una lunga pratica musicale, è solo con l'aiuto della matematica che le mie idee si sono sistemate, e che la luce ne ha dissipato le oscurità » |
|
|
|
|
|
|
|
||
|
|
|
|
|
|
|
|
||
|
|
|
|
|
Ma il legame fra le piramidi e le stelle?!
L'ipotesi più o meno fantasiosa di Bauval
Se dunque, il legame fra sezione aurea e la grande Piramide potrebbe essere il frutto di una coincidenza, si potrebbe dire lo stesso dell'orientamento nel quale sembrano essere state costruite questi grandi monumenti egizi? Leggendo i Testi delle piramidi di Unas, Bauval si ritrovò a riflettere su alcuni brani dove il sovrano dichiara che il suo spirito "è una stella". Questa affermazione è solo una metafora per indicare la sua immortalità oppure va presa letteralmente? Negli stessi testi vi sono precisi riferimenti alla costellazione di Orione:
«O Re, tu sei la grande stella, compagno di Orione, che attraversa il cielo con Orione».
Si sa che la costellazione di Orione era sacra per gli antichi egizi, i quali la identificavano con la dimora del dio Osiride, il sovrano del regno dei morti e compagno di Iside. Bauval si chiese se questi riferimenti a Orione, che oltretutto si trova in una regione stellare relativamente vicina al Cane Minore e quindi a Sirio, non potessero essere la chiave per risolvere il "mistero delle piramidi". Quando ebbe modo di osservare una veduta aerea del sito archeologico di Giza, Bauval notò la particolare disposizione delle tre costruzioni principali. Le più grandi, quelle di Cheope e Chefren sono perfettamente allineate tra loro. Sarebbe possibile tracciare una linea retta tra l'angolo nord-est della Grande Piramide e quello sud-ovest della piramide di Chefren. Diversamente, la piramide di Micerino risulta spostata rispetto a questa linea, oltre ad essere, tra le tre costruzioni, quella più piccola. Come può spiegarsi questa singolare anomalia? La risposta, secondo Bauval, va cercata alzando gli occhi al cielo.
Se si osserva la costellazione di Orione si nota che le tre stelle della cintura di Orione (Zeta, Epsilon e Delta) sono disposte esattamente come le tre piramidi di Giza. Dunque la Piana di Giza poteva essere la riproduzione monumentale di quella regione celeste, compresa la Via Lattea, in questo caso rappresentata dal fiume Nilo. Infatti gli egiziani concepivano la Via Lattea come una controparte celeste del loro fiume. Ogni anno attendevano con ansia la piena del Nilo, che era insieme una benedizione e una fonte di preoccupazione: avevano bisogno del fertile limo che il fiume trascinava con sé dagli altipiani dell'Etiopia e avevano bisogno che i campi fossero irrigati, ma nello stesso tempo avevano paura che il livello del fiume potesse salire troppo e inondare le loro case. Erano convinti che l'inondazione annuale fosse controllata dagli dèi, e in particolare dai patroni dell'Egitto, Osiride e Iside.
A loro sembrava che l'elemento scatenante della piena, che si verificava a metà dell'estate, fosse la prima apparizione della stella di Iside, Sirio, dopo il periodo annuale in cui restava invisibile. Questa apparizione era preannunciata dalla levata precoce di Orione e, quindi, gli egiziani osservavano con acuta anticipazione le stelle di questa costellazione che confina con la Via Lattea. In tutto questo c'era, comunque, anche un altro aspetto. Gli egiziani credevano in un aldilà celeste in cui speravano che le anime trasmigrassero dopo la morte. Il Libro dei Morti, illustrato sulle pareti di alcune delle piramidi più tarde, fornisce ampie prove del fatto che lo immaginavano situato nella costellazione di Orione. Tutte le sepolture avvenivano sulla riva occidentale del Nilo che, insieme con i campi delle piramidi, simboleggiava la regione di Orione sulle sponde della Via Lattea.
Nel linguaggio rituale il trasporto di un cadavere attraverso il Nilo per la sepoltura era connesso, in qualche modo, con la traversata da parte dell'anima del Nilo celeste, la Via Lattea, per raggiungere il paradiso sul quale regnava Osiride. La Via Lattea, dunque, era il fiume dei morti, lo Stige primordiale che i morti dovevano superare se volevano raggiungere l'aldilà. La funzione delle piramidi egizie, per quanto possiamo capire, era di assistere il faraone in questo viaggio sfruttando la scienza delle corrispondenze: come in cielo così in terra.
Si riteneva che il faraone, attraversando il Nilo, sottoponendosi a certi riti e facendosi seppellire in una piramide, si accertasse che la sua anima non solo sarebbe ascesa fra le stelle di Orione ma sarebbe addirittura diventata una stella essa stessa. Secondo Bauval la connessione fra le piramidi egiziane e la mappa celeste è fin troppo evidente. Ma se esiste un tale legame, dovevano esserci altre piramidi nei posti corrispondenti alle altre stelle. Bauval scoprì che la piramide di Nebca ad Abu Ruwash corrisponde alla stella del piede sinistro di Orione e la piramide di Zawyat al Aryan a quella della spalla destra. Altre piramidi collegate alle stelle di Orione non sono state scoperte, forse non sono mai state costruite.
Contro questa ipotesi abbiamo dei dati di fatto però: la linea che collega le tre piramidi curva verso Sud mentre la cintura piega verso nord; l'angolo che la linea che collega le piramidi forma col Nord era di circa 50 gradi contro i 38 ipotizzati da Bauval, il corso del Nilo era molto variabile a causa delle sue piene annuali e non è possibile dire con precisione come scorresse 12.000 anni fa. Resta comunque il fatto che all'interno di ognuna delle piramidi di Giza furono costruiti dei corridoi o condotti d'aerazione che al tempo della costruzione (circa 4.500 anni fa) puntavano verso stelle ben precise tra cui quelle della cintura ma questo conferma solo l'identificazione con Orione del faraone e la sua aspirazione alla Douat (il regno dei cieli) identificato con il cielo settentrionale dove si trovano le stelle circumpolari (stelle imperiture).
Gli egizi, quindi non erano dotati di conoscenze astronomiche?
Fin dai tempi predinastici gli egiziani avevano un'ottima conoscenza del cielo e si ebbero precise mappe celesti. Conoscevano le stelle fisse ed i pianeti ( fino a Saturno ). Ad Eliopoli sorsero veri e propri osservatori per rilevare con esattezza il passaggio degli astri e già durante la IV dinastia vennero apportate le esatte correzioni. Le costellazioni raffiguravano dei ed animali ( l'unica affine alle nostre era il Leone ). Si convinsero, poi, che gli astri e i fenomeni celesti esercitavano un influsso sulle vicende umane: una stella cadente, ad esempio, prometteva prosperità, mentre un temporale era indice di sventura. Uno strumento astronomico utilizzato dagli Egizi era il "Merkhet", formato da una foglia di palma avente un intaglio sulla sommità ed una squadra col filo a piombo. Questo veniva usato per determinare l'asse del tempio o delle piramidi, per osservare il transito al meridiano delle stelle ed anche per misurare i campi. Per conoscere le ore della notte due o più osservatori stavano seduti ad una giusta distanza l'uno di fronte all'altro, secondo l'asse Nord-Sud, tenendo lo strumento nelle mani. La nervatura della palma serviva come mirino con il quale si traguardavano le stelle che culminavano attraverso il filo a piombo della squadra e riferendosi alla sagoma dell'osservatore che volgeva le spalle a sud; un aiutante leggeva l'ora secondo la posizione che la stella aveva sulla tavola stellare.
Questo oggetto, secondo alcune fonti, risale addirittura al 2.600 a.C. Molto probabilmente grazie a questo strumento era possibile nella costruzione delle piramidi raggiungere un grado di precisione di allineamento con i punti cardinali altissimo. Per fare un esempio nella costruzione della piramide di Khufu abbiamo un errore di appena tre primi d'arco.

Siccome
il trascorrere della vita in Egitto era poi fortemente legata a quella del
fiume Nilo e
delle sue periodiche alluvioni, le quali avvenivano con una certa costanza, in
genere ogni 11 o 13 lunazioni. Gli egiziani si accorsero che l'inizio delle
inondazioni avveniva quando si alzava nel cielo la stella Sirio Sopdet per gli egizi)
con un errore di 3-4 giorni al massimo.
Con questo riferimento sorsero diversi calendari, il primo era il calendario lunare di 354 giorni con mesi di 29 o 30 giorni. Ma nel tempo si notarono errori di calcolo, così ne fu introdotto un secondo definito calendario civile di 365 giorni con 30 giorni ogni mese e 5 epagomeni ogni anno. Ma anche questo calendario mostrava qualche differenza con la realtà. Così fu introdotto un ultimo calendario ancora più preciso, il quale possedeva un ciclo di 25 anni in cui veniva aggiunto un mese intercalare nel 1°, 3°, 6°, 9°, 12°, 14°, 17°, 20°, e 23° anno di ogni ciclo. Questo calendario, estremamente preciso, venne utilizzato anche da Tolomeo nel II secolo d.C. e venne preso in considerazione sino ai tempi di Copernico. Da ricordare che i mesi di 30 giorni erano divisi in settimane da 10 giorni e in 3 stagioni di 4 mesi detti:
- Akhet ( Inondazione )
- Peret ( Emersione )
- Chemu ( Aridità ).
Già dal 3000 a.C. gli egiziani avevano in uso la divisione delle ore diurne e notturne in dodici parti ciascuna: per le ore diurne usavano regolare il tempo con le meridiane, mentre per le ore notturne si servivano di un orologio stellare, ovvero osservavano le posizioni di 24 stelle brillanti. Le ore così misurate sia di giorno che di notte avevano una durata diversa a seconda della stagione, mantenendo comunque una durata media di 60 minuti. Successivamente, per le ore notturne vennero introdotti i 'decani', ovvero 36 stelle poste in una fascia a sud dell'eclittica, ognuna delle quali indicava con maggior precisione l'orario.
Inoltre si orientavano con la Stella Polare per la navigazione , ma credevano che la Terra fosse piatta e sorreggesse con quattro pilastri (i punti cardinali) il cielo, anch'esso piatto. La misurazione del tempo fu suggerita dal regolare moto dei corpi celesti, dal succedersi delle stagioni e dalle periodiche piene del Nilo.Il calendario egizio fu poi, perfezionato nel 238 a.C. dove venne introdotto l'anno bisestile e adottato tale e quale da Giulio Cesare, perfezionato da Gregorio XIII ed è quello in uso anche oggi.
Dalle stelle imperiture, al moto apparente dei corpi celesti fino al modello della nascita delle stelle.
Le osservazioni astronomiche degli antichi venivano compiute quasi sempre ad occhio nudo, tranne per eccezionali unici strumenti, come abbiamo visto. Generalmente lo scorrere del tempo veniva misurato durante il dì, mediante un asta infissa verticalmente nel terreno, la cui ombra girava con il sole (gnomone); di notte in base al sorgere e al tramonto di determinate stelle. La misura dei tempi brevi avveniva attraverso sabbiere o clessidre, facendo cioè passare della sabbia o dell'acqua da un recipiente ad un altro sottostante attraverso un piccolo foro, essendosi constatato che tale discesa, se si considerano intervalli brevi è proporzionale al tempo. Per le determinazioni celesti l'osservatore usava un regolo (alidada) per puntare le stelle e per materializzare la direzione di provenienza dei raggi luminosi. Per stabilire la posizione reciproca di due stelle si utilizzavano due alidade articolate ad una estremità (compasso) che, opportunamente puntate, formavano tra loro un angolo corrispondente all'arco apparente di volta celeste, passante per i due astri. Un apposito cerchio graduato consentiva la lettura del valore angolare ottenuto. Questi strumenti, naturalmente furono col tempo perfezionati.
Gli antichi osservatori del cielo, inoltre, considerando la separazione angolare degli astri, cioè gli angoli determinati dalle direzioni (linee di vista), lungo le quali si osservano i vari corpi celesti, giunsero alla conclusione che quasi tutti gli astri non mutano mai la posizione reciproca, mentre alcuni la modificano continuamente. Gli astri del primo tipo furono detti stelle fisse, ritenendosi erroneamente, seppure in conformità con i limiti di una scrupolosa osservazione ad occhio nudo, che la loro posizione nel firmamento fosse immutabile nel tempo. I corpi celesti del secondo tipo, noti agli antichi, sono sette: il Sole, la Luna e i pianeti Mercurio, Venere, Marte, Giove e Saturno, distinguibili senza strumenti ottici. I pianeti devono il loro nome ad una parola greca, che significa "erranti".
L'insieme delle stelle fisse e quindi l'intera sfera celeste sembra compiere una rotazione completa attorno al proprio asse in circa 23 ore, 56 minuti e 4 secondi. Poiché ritenevano che la Terra fosse immobile, gli antichi consideravano necessariamente reale la rotazione della sfera celeste e delle stelle ad essa solidali secondo circonferenze parallele all'equatore celeste. Nel nostro emisfero la Stella Polare, assai prossima al polo celeste compie una rotazione quasi impercettibile. Altre stelle vicine alla Stella Polare, le stelle circumpolari, ruotano rimanendo costantemente al dì sopra dell'orizzonte e sarebbero sempre visibili se la loro luminosità durante il dì, non fosse soverchiata dalla luce solare. Invece le stelle più lontane del polo compiono una parte del loro cammino apparente nascoste dal globo terreste, e si vedono sorgere ad Est e tramontare ad Ovest, le cosiddette stelle occidue. Altre ancora, infine, poste al di sotto dell'equatore celeste sono invisibili per chi si trovi alla nostra latitudine. Il numero delle stelle occidue e circumpolari varia a seconda del punto di osservazione: al polo tutte le stelle visibili appartenenti ad un solo emisfero celeste, sono circumpolari; all'equatore sono visibili tutte le stelle dei due emisferi come stelle occidue. La sfera celeste nel suo complesso sembra ruotare verso Ovest di circa 1° al giorno. Questo fenomeno fu rilevato fin dall' antichità più remota osservando la configurazione del firmamento poco dopo il tramonto del sole. Determinando la posizione di alcune stelle particolarmente luminose in giorni consecutivi a partire dal momento in cui si comincia a distinguerle nel crepuscolo, apparve chiaro che esse, una sera dopo l'altra, tramontano sempre più presto come se lentamente il Sole cambiasse la propria posizione lentamente rispetto alla volta celeste. Dopo breve tempo queste stelle non sono più visibili: esse calano contemporaneamente al Sole (tramonto solare). Continuando le osservazioni celeste (questa volta al sorgere del Sole) si constatò che dopo un certo tempo si scorgevano nuovamente la stelle scomparse e si accertò che esse precedevano l'apparire del sole (sorgere solare) e successivamente l'anticipavano sempre di più. Fu quindi constato che il Sole, rispetto alla sfera celeste, sembra cambiare la propria posizione di circa 1° al giorno, precedendo da Ovest verso Est: dopo un anno si ripete la configurazione iniziale del firmamento. I Caldei, che ritenevano la volta celeste immobile, attribuivano questo movimento annuale al Sole. Essi avevano inoltre raccolto le stelle in gruppi facilmente riconoscibili, Costellazioni e individuato 12 particolari costellazioni, dette dello Zodiaco, davanti alle quali ritenevano che, nel predetto suo moto annuale procedesse il Sole. Le costellazioni attualmente riconosciute internazionalmente sono 88: di esse ci si vale, praticamente, per una convenzionale ripartizione in settori dell'intera sfera celeste. Sette come si è detto sono i corpi celesti, già noti agli antichi, che non mantengono immutata nel tempo relativa nella sfera celeste. Due di questi, il Sole e la Luna, hanno dimensioni e splendore tali (il nostro satellite per rifrazione) da risultare immediatamente evidenti. Gli altri 5, Mercurio, Venere, Marte, Giove e Saturno non sono a prima vista distinguibili dalle stelle: a farli individuare dagli antichi osservatori fu il continuo variare delle distanze angolari, tra essi e le stelle fisse.
Ma come nascono appunto le stelle?
|
La vita di una stella nasce quando una grande quantità di gas disperso nello spazio, prevalentemente idrogeno, si concentra e si aggrega a causa dell'attrazione gravitazionale tra le particelle. Gli atomi di gas in questo modo collassano ed entrano tra loro in continue collisioni sempre più frequenti e veloci. Questo fenomeno genera un progressivo innalzamento della temperatura che accelera sempre maggiormente gli urti, sino a quando gli atomi, invece di rimbalzare, si fondono tra loro formando elio. La reazione è simile a quella che si innesca in un esplosione di una bomba all'idrogeno. La stella comincia perciò a risplendere. Questo processo dura molto tempo e si mantiene con la combustione dell'idrogeno. Inizialmente una protostella è di colore bianco. Poi, mano a mano che l'idrogeno si consuma e si forma l'elio, la stella si espande sempre più e diventa di colore giallo o rosso: è diventata una gigante rossa. A volte il processo di ingrandimento, a seconda della massa iniziale, può continuare generando una supergigante. Mentre il destino di una stella dipende dalla sua massa. Se è limitata si consuma fino a collassare trasformandosi in una nana bianca che continua a risplendere a causa del calore residuo di quando costituiva il nucleo della stella. Col passare del tempo si raffredda sino a diventare una nana nera che, progressivamente, si spegne. Oppure, se la massa è sufficientemente grande, la stella può spegnersi in una rapida esplosione - che può durare da poche ore a pochi giorni - generando una nova (cioè apparentemente una nuova stella). |
|
|
A volte
l'esplosione è tale da generare una supernova, un'esplosione luminosissima,
visibile anche in pieno giorno per alcune settimane. Queste esplosioni
possono proiettare nello spazio quantità di materia tali da generare le
stelle a neutroni, dal diametro piccolissimo ma con una gravità anche 100
miliardi volte superiore a quella terrestre. E' per esempio il caso delle
stelle pulsar che ruotano su se stesse sino a 30 volte al secondo. |
|
|
|
|
|
Il modello dell'evoluzione stellare
La nascita delle prime stelle è sicuramente riconducibile a quella dell'intero universo, configurabile nella teoria, attualmente piu' accreditata, del Big-Bang. Infatti come abbiamo detto per il sistema solare, ed in particolar modo per il Sole, le stelle probabilmente si sono formate e continuano a formarsi a partire da nubi di materiale interstellare, ricche di polveri e gas, che vagano per lo spazio galattico. Spesso si addensano in fitte nubi, come quelle che occupano il piano equatoriale della galassia e che comunemente vengono chiamate nubi oscure. Così al loro interno la materia inizierà a raggrupparsi, per effetto delle reciproche interazioni gravitazionali fra le particelle, in globuli detti comunemente globuli di Bock che costituiscono dei veri e propri embrioni stellari. Ognuno di essi a sua volta accumulerà sempre piu' materia in modo tale da far crescere anche le forze gravitazionali che di conseguenza contrarranno sempre piu' gli strati interni della protostella facendone aumentare la temperatura e la densità. Quando la temperatura avrà raggiunto i milioni di gradi si innescheranno allora le reazioni termonucleari, che provocando una pressione interna capace di controbilanciare la contrazione, creeranno uno stato di equilibrio con l'avvio del processo di nucleosintesi, nel quale gli atomi di idrogeno si fondono in atomi di elio con conseguente produzione di enormi quantità di energia. |
|
|
Tutto questo avviene nell'arco di milioni di anni, in maniera piu' o meno veloce a seconda della massa iniziale della nube, sino ad arrivare ad un punto, definito sequenza principale, che rappresenta la fase centrale e di maggior attività di ogni stella. La neostella permarrà in questa fase per un tempo dipendente dalla propria massa. Infatti tanto piu' sarà la massa stellare e tanto piu' la stella brillerà di splendore, bruciando quindi piu' velocemente le proprie risorse energetiche. Di conseguenza le stelle piu' massiccie avranno una vita inferiore rispetto a quelle di dimensioni minori. Inizia inoltre un meccanismo di autoregolazione dell'attività stellare che permette alla stella di dosare le proprie risorse energetiche. In pratica ad ogni abbassamento di temperatura, corrisponderà una contrazione del corpo stellare che la farà risalire ai valori normali. Viceversa ad ogni aumento di essa corrisponderà una dilatazione della stella che la farà ridiscendere. Successivamente quando inizierà ad esaurirsi il combustibile nucleare, ossia quando tutto l'idrogeno si sarà tramutato in elio, il nucleo centrale della stella non riuscirà piu' a produrre quella quantità di energia necessaria a contrastare le forze gravitazionali che torneranno così a contrarre l'astro. I conseguenti aumenti di temperatura, riscaldando gli strati adiacenti al nucleo, causeranno l'espansione degli strati gassosi esterni, che liberi ormai dai vincoli gravitazionali, si estenderanno per centinaia di milioni di km (gigante rossa). Per le fasi successive gli studiosi pensano che il nucleo stellare, continui a contrarsi, dando fondo a tutte le risorse energetiche. Gli ultimi elementi fonderanno allora in altri sempre piu' pesanti (idrogeno, elio, carbonio, ecc), sino a raggiungere uno stato di squilibrio dove, a seconda delle dimensioni della stella, essa evolve in differenti maniere. Facendo dunque riferimento ad una massa pari a quella del Sole abbiamo che le stelle concludono la loro vita in: v nana bianca, che è lo stadio finale di una stella con massa fino ad 1,4 masse solari. In essa praticamente si raggiunge un equilibrio fra la forza gravitazionale e la pressione interna senza tuttavia irradiazione di energia dal nucleo. Così la stella si raffredderà in maniera molto lenta avendo perso la materia stellare, per effetto delle grandi forze gravitazionali, ogni proprietà e diventando perciò materia degenere; v stella di neutroni, se la massa è compresa fra 1,4 masse solari fino ad un valore di 2-3 volte quella del Sole. In questo caso la stella, passando per una fase di novae o di supernovae, espande gli strati esterni espellendo piu' o meno violentemente la materia, che creerà un involucro gassoso in rapida espansione. Il nucleo stellare invece diminuendo le proprie dimensioni, aumenterà allo stesso tempo la densità, così da risultare alla fine una sfera estremamente compressa e densa, che per effetto delle grandi forze risultanti inizierà a girare vorticosamente attorno al proprio asse. La composizione della materia subirà inoltre cambiamenti radicali mutando tutti i propri elettroni e protoni in neutroni; v buco nero, quando la massa, che ammonta ad oltre 3 volte quella del Sole, inizia a contrarsi, per effetto delle grandi forze gravitazionali, in maniera molto piu' massiccia che non nelle stelle di dimensioni minori. La densità allora aumenterà all'infinito e la stella inizierà una fase di contrazione che nemmeno la degenerazione della materia riuscirà ad arrestare. Di pari passo aumenteranno le sue capacità attrattive sino ad impedire persino alla luce di sfuggire. |
|
Quindi.
Il calore e quindi l'energia sprigionata da una stella è dovuta a reazioni di fusione nucleare che avvengono nel nucleo.
La fusione nucleare si verifica quando due nuclei atomici di elementi uguali o diversi si uniscono per formare un unico nucleo di un elemento più pesante dei precedenti. La quantità di energia liberata in questo processo è elevatissima, è però molto difficile che i due nuclei si uniscano, questo a causa del fatto che essendo entrambi di carica positiva, la repulsione coulombiana tra i due nuclei (inversamente proporzionale al quadrato della distanza) assume valori elevatissimi quando la distanza tende a zero, cioè quando i due nuclei si avvicinano per unirsi.
Perchè abbia luogo la fusione quindi, deve essere applicata ai due nuclei una forza sufficiente a contrastare e vincere la repulsione coulombiana, ed a permettere ai nuclei di avvicinarsi abbastanza da entrare nel raggio d'azione delle forze nucleari, che li terranno uniti a formare il nucleo pesante.
Una
stella è fatta di gas, essenzialmente idrogeno ed elio, molto leggeri.
Tuttavia la quantità di questi gas costituisce una massa enorme, che quindi è sottoposta
ad una contrazione gravitazionale grandissima ( la massa del Sole è 1,989 x 1030
kg ).
Quindi la pressione esercitata dai vari strati della stella sul nucleo centrale
è grandissima, ed è proprio questa pressione che vince la repulsione
coulombiana e che fa fondere i nuclei.
Dapprima si fonderanno nuclei d'idrogeno ( protoni ) per formare elio; una volta esaurito l'idrogeno, inizierà la fusione dell'elio e così via fino al ferro.
Infine qualche cenno sul calore..
Il calore è la forma macroscopica nella quale l'energia passa da un sistema fisico ad un altro unicamente a causa di differenze di temperatura
Secondo l'interpretazione corrente, la temperatura di un sistema costituito da un grande numero di soggetti costituenti è in generale proporzionale all'energia media per soggetto: il corrispondente flusso di energia tra due sistemi a diversa temperatura è allora attribuibile alle innumerevoli interazioni (casuali e non controllabili) tra i soggetti costituenti i due sistemi. In ciascuna di tali interazioni, che di solito avvengono a coppie, l'energia dei soggetti interagenti si conserva complessivamente ma si ripartisce in modo da aumentare nei soggetti meno energetici e diminuire in quelli più energetici.
Si può prendere come corpo di riferimento
una massa
di acqua e definire il calore assorbito o ceduto
come:
dove
è la temperatura iniziale dell'acqua,
quella finale e
, detto calore specifico, assume un valore arbitrario nel caso dell'acqua. La notazione c è
utilizzata in alcuni manuali di fisica, mentre in quelli di livello
universitario è più frequente trovare la notazione cx per
indicare che si tratta del calore specifico della trasformazione, completamente distinto dai calori
specifici (massici o molari, a pressione o volume costante) del fluido
coinvolto.
Quando la massa
è misurata in grammi e la temperatura
in gradi centigradi il calore specifico
viene posto pari a 1 e il calore
viene misurato in calorie,
come se fosse una nuova grandezza fondamentale.
In quanto energia, il calore si misura nel
Sistema Internazionale in joule. Nella pratica viene tuttavia ancora
spesso usata come unità di misura la caloria. A
volte si utilizzano anche unità a carattere meramente tecnico quali kWh o BTU.
È importante ricordare che la temperatura non è assolutamente la misura del
calore. Possono esistere corpi ad alto calore ma bassa temperatura o viceversa:
per esempio uno spillo arroventato è un corpo relativamente ad alta temperatura
ma basso calore, mentre una bacinella di acqua tiepida è a bassa temperatura ma
relativamente ad alto calore.
Alcune equivalenze:
1cal = 4,186J
1Joule = 0,2388cal
Il trasferimento (propagazione) del calore tra sistemi può avvenire:
v
per conduzione: in uno stesso corpo o fra corpi a
contatto si ha una trasmissione, per urti, di energia
cinetica tra le molecole appartenenti a zone limitrofe del materiale. Nella
conduzione viene trasferita energia attraverso la materia, ma senza
movimento macroscopico di quest'ultima. Effettivamente, a livello microscopico,
il calore è quella porzione di lavoro che
non produce spostamenti del centro di massa del sistema: gli urti con le
molecole di un gas possono spostare un pistone (lavoro termodinamico
propriamente detto) e nel contempo aumentare l'energia cinetica delle sue molecole (calore); l'energia del pistone varia quindi come
. In meccanica classica (il pistone viene
considerato come un insieme di circa
punti materiali) i due concetti non sono
scissi, e vanno sotto il solo nome di lavoro;
v per convezione: in un fluido in movimento, porzioni del fluido possono scaldarsi o raffreddarsi per conduzione a contatto di superfici esterne e poi, nel corso del loro moto (spesso a carattere turbolento), trasferire, sempre per conduzione l'energia così scambiata ad altre superfici, dando così luogo ad un trasferimento di calore per avvezione. In un campo gravitazionale quale quello terrestre della forza peso, tale modalità di trasferimento di calore, detta convezione libera, ed è dovuta al naturale prodursi di correnti avvettive, calde verso l'alto e fredde verso il basso, dovute a diversità di temperatura e quindi di densità delle regioni di fluido coinvolte nel fenomeno, rispetto a quelle del fluido circostante;
v per irraggiamento: tra due sistemi la trasmissione di calore avviene (a distanza, anche nel vuoto) per emissione, propagazione e assorbimento di onde elettromagnetiche: anche in questo caso il corpo a temperatura inferiore si riscalda e quello a temperatura superiore si raffredda.
Bibliografia1
Manuali utilizzati:
v Cosmorama (1975) di Antoniazzi e Fiorentini. Poseidonia.
v La Terra nello spazio e nel tempo (2002) di Palmieri e Parotto. Zanichelli.
v Fisica (1977) di De Marco. Poseidonia.
v Itinerario nell'arte (2006), vol.3 di Cricco e Di Teodoro. Zanichelli.
Libri e tavole:
v Tavole di astronomia (1968). Giunti, Marzocco.
v Magnifiche Piramidi e Sfingi misteriose (2005). De Agostini.
Articoli vari:
v Matematica e astronomia a Giza di Paoletti.
v Sezione aurea da Wikipedia.
v Archimede da Siracusaweb.
v L'energia delle stelle da Astrolink.
v Stelle da library.thinkquest.org.
v Sezione aurea da Liceo Berchet.it
1.Ho cercato di trarre da queste fonti le informazioni maggiormente attendibili scientificamente agli argomenti trattati, conducendo un lavoro di ricerca quanto più trasparente e dimostrabile possibile.
![]() |
| Appunti su: piramide energetica esagonale proprietC3A0, dalle piana di Giza a Federico II lubro, sezione aurea e stelle, https:wwwappuntimaniacomuniversitaricerchedalla-sezione-aurea-alle-piram65php, |
|
| Appunti Economia | ![]() |
| Tesine Ingegneria tecnico | ![]() |