Appunti per Scuola e Università
humanisticheUmanistiche
Appunti e tesine di tutte le materie per gli studenti delle scuole medie riguardanti le materie umanistiche: dall'italiano alla storia riguardanti le materie umanistiche: dall'italiano alla storia 
sceintificheScientifiche
Appunti, analisi, compresione per le scuole medie suddivisi per materie scientifiche, per ognuna troverai appunti, dispense, esercitazioni, tesi e riassunti in download.
tecnicheTecniche
Gli appunti, le tesine e riassunti di tecnica amministrativa, ingegneria tecnico, costruzione. Tutti gli appunti di AppuntiMania.com gratis!
Appunti
tecniche
AeronauticaAgricoltura agrariaArchitetturaAutomobileCostruzione
Demografia urbanisticaElettronica elettricitaForensicsIngegneria tecnicoVela


AppuntiMania.com » Tecniche » Appunti di Ingegneria tecnico » Coefficiente di riempimento

Coefficiente di riempimento




Visite: 7644Gradito:apreciate 5-stela [ Picolo appunti ]
Leggi anche appunti:

L'effetto Compton


L'effetto Compton   E' noto che se una radiazione colpisce un corpo,

L'uomo e l'ambiente: scambio energetico e temperatura corporea


L'UOMO E L'AMBIENTE: SCAMBIO ENERGETICO E TEMPERATURA CORPOREA                

L'iniezione diretta di benzina


L'iniezione diretta di benzina 1.1 Breve storia dei sistemi
immagine di categoria

Scarica gratis Coefficiente di riempimento

Coefficiente di riempimento

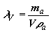
Se ricordiamo la formula

e ricordiamo come avevamo definito il coefficiente di riempimento l V ovvero:

dove ma è la massa dell'aria v è la cilindrata unitaria r a e la densità dell'aria.

Possiamo scrivere la potenza utile anche in funzione del coefficiente di riempimento l V:

Il coefficiente di riempimento della camera l V ci indica quanto si riempie il cilindro, a parità di cilindrata quanto maggiore è l V tanto maggiore è la potenza del motore.

Aumentando il coefficiente di riempimento, a sua volta si aumenta la potenza utile perché aumenta il rendimento volumetrico del motore.

Le operazione da fare per aumentare il l V sono quelli di avere i condotti di aspirazione rettilinei possibile, i condotti all'interno devono essere tutti lucidati, si deve cercare di evitare qualsiasi ostacolo alla miscela che entra nella camera di lavoro.

Ottimi risultati vengono ottenuti con opportune forme della camera di combustione, atte a dare al flusso della miscela aria - benzina un andamento vorticoso, in modo da avere un rendimento volumetrico migliore, e in un certo senso avere una migliore combustione, perché viene aumentata la velocità di propagazione della fiamma.

Ottimi risultati negli anni passati sono stati ottenuti con l'introduzione dei cornetti d'aspirazione a lunghezza variabile; questo dispositivo permette di ottenere un coefficiente di riempimento ottimale a qualsiasi regime di rotazione, evitando l'inconveniente del riflusso della miscela agli alti regimi di rotazione.


Scarica gratis Coefficiente di riempimento
Appunti su: coefficiente di riempimento, https:wwwappuntimaniacomtecnicheingegneria-tecnicocoefficiente-di-riempimento25php, Coefficinte di riempimento di un motore, formula coefficiente di riempimento,



Scarica 100% gratis e , tesine, riassunti



Registrati ora

Password dimenticata?
  • Appunti superiori
  • In questa sezione troverai sunti esame, dispense, appunti universitari, esercitazioni e tesi, suddivisi per le principali facoltà.
  • Università
  • Appunti, dispense, esercitazioni, riassunti direttamente dalla tua aula Universitaria
  • all'Informatica
  • Introduzione all'Informatica, Information and Comunication Tecnology, componenti del computer, software, hardware ...

Appunti costruzione costruzione
Tesine Aeronautica Aeronautica
Lezioni Automobile Automobile