Appunti per Scuola e Universitą
humanisticheUmanistiche
Appunti e tesine di tutte le materie per gli studenti delle scuole medie riguardanti le materie umanistiche: dall'italiano alla storia riguardanti le materie umanistiche: dall'italiano alla storia 
sceintificheScientifiche
Appunti, analisi, compresione per le scuole medie suddivisi per materie scientifiche, per ognuna troverai appunti, dispense, esercitazioni, tesi e riassunti in download.
tecnicheTecniche
Gli appunti, le tesine e riassunti di tecnica amministrativa, ingegneria tecnico, costruzione. Tutti gli appunti di AppuntiMania.com gratis!
Appunti
tecniche
AeronauticaAgricoltura agrariaArchitetturaAutomobileCostruzione
Demografia urbanisticaElettronica elettricitaForensicsIngegneria tecnicoVela


AppuntiMania.com » Tecniche » Appunti di Ingegneria tecnico » Coefficente di riempimento della camera

Coefficente di riempimento della camera




Visite: 1797Gradito:apreciate 4-stela [ Picolo appunti ]
Leggi anche appunti:

Le pompe


Le pompe 1    Che cosa sono le pompe? Le pompe sono macchine idrauliche

Capacita' elettrica


CAPACITA' ELETTRICA             Se un conduttore, isolato nello spazio e

Cariche e campi elettrici


CARICHE E CAMPI ELETTRICI               Tutti i corpi sono costituiti
immagine di categoria

Scarica gratis Coefficente di riempimento della camera

Coefficente di riempimento della camera


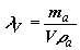
Un parametro importante č il coefficiente su cui lavorare per incrementare la potenza č il coefficiente di riempimento della camera.


E' definito come:


dove ma č la massa dell'aria v č la cilindrata unitaria ra e la densitą dell'aria.


Il coefficiente di riempimento della camera l V ci indica quanto si riempie il cilindro, a paritą di cilindrata tanto maggiore č l V tanto maggiore sarą la potenza del motore.


Di norma l V  č un valore minore dell'unitą (circa 0.8 - 0.9) se si hanno valori maggiore dell'unitą vuol dire che ci sono fenomeni di risonanza nel condotto di aspirazione ( dannoso per il motore), valori al di sotto dello 0.7 ci indicano che siamo in presenza di un pessimo motore


Il coefficiente di riempimento l V č influenzato dai seguenti parametri:


1. Laminazione all'aspirazione e allo scarico

2. Scambi di calore con le pareti

3. Rifiuto (o riflusso) di fluido motore

4. Fenomeni dinamici all'aspirazione e allo scarico


Scarica gratis Coefficente di riempimento della camera
Appunti su:



Scarica 100% gratis e , tesine, riassunti



Registrati ora

Password dimenticata?
  • Appunti superiori
  • In questa sezione troverai sunti esame, dispense, appunti universitari, esercitazioni e tesi, suddivisi per le principali facoltą.
  • Universitą
  • Appunti, dispense, esercitazioni, riassunti direttamente dalla tua aula Universitaria
  • all'Informatica
  • Introduzione all'Informatica, Information and Comunication Tecnology, componenti del computer, software, hardware ...

Appunti costruzione costruzione
Tesine Aeronautica Aeronautica
Lezioni Silvicoltura Silvicoltura