![]() |
|
| Appunti tecniche |
|
| Visite: 3046 | Gradito: |
Leggi anche appunti:Il palazzo delle poste - dal classico al razionaleIL PALAZZO DELLE POSTE Dal Classico al Razionale Il La deduzione di una colonia latina a hipponion - nuovi dati dalla cultura materialeUNIVERSITA’ DI PISA Dipartimento di Scienze Archeologiche Scuola di Tesi di topografia - progetto di un breve tronco stradale - relazione tecnicaTesi di Topografia PROGETTO DI UN BREVE TRONCO STRADALE RELAZIONE |
![]() |
![]() |
Relazione progetto stradale
1. PREMESSA
Il progetto prevede la realizzazione di una strada che funge da collegamento tra la strada provinciale la “Forola” e il sito in questione per la realizzazione dell’impianto fotovoltaico, con annessa casa del custode.
Si tratta di una strada situata in collina e
con limitata intensità di traffico, che rientra dunque secondo il D.M.
05/11/2001 nella tipologia extraurbana F1.
La larghezza della strada è di
Una volta scelta la tipologia di strada per legge ci sono dei parametri da seguire tra cui:
V max in curva
V max rettilineo
Raggio max delle curve 45m
Pendenza max 10% (consigliabile 6% perché più economicamente percorribile
2. SCELTA DEL TRACCIATO OTTIMALE
L’andamento planimetrico della strada è stato formulato sulla base di una planimetria in scala 1:2.000 e suddiviso in due fasi composte da:
determinazione del tracciolino;
determinazione della poligonale d’asse e della planimetria finale.
Tracciolino
Dovendo rispettare una pendenza massima del 10% e dato che la spaziatura delle curve di livello non è uniforme si procede con la realizzazione del tracciolino, una spezzata a pendenza costante che congiunge il punto di partenza A con il punto di arrivo B. Questa rappresenta il tracciato ideale che congiunge i due punti con una pendenza costantemente pari a quella massima prefissata, realizzando così la condizione di rendere minima la lunghezza del tracciato.
Poiché il tracciato definitivo potrebbe risultare leggermente più corto del tracciolino, si preferisce disegnare quest’ultimo con una pendenza leggermente inferiore (del 5%).
Il disegno sarà eseguito considerando che
esso dovrà svilupparsi superando il dislivello tra un’isoipsa e la successiva
con pendenza costante pari al 5%. Essendo e
il dislivello tra due isoipse adiacenti pari a
d = 2/0.05 =
Passando quindi da una curva di livello alla
successiva è stato sufficiente puntare un compasso sul punto di partenza e con
apertura pari a
Poligonale d’asse
Il tracciolino, non potendo rappresentare il tracciato definitivo visto il numero elevato di tratti rettilinei e curve non conformi con le norme è stato sostituito con una spezzata formata da lati più lunghi, detta poligonale d’asse, che una volta raccordata con curve circolari e tornanti e una volta effettuati i raccordi con la strada esistente rappresenterà l’asse definitivo della strada.
In questa fase si è cercato di non allontanare troppo l’asse dal tracciolino con la poligonale d’asse, perché altrimenti i riporti e gli sterri di terreno in tali zone risulterebbero eccessivi.
3. ALTIMETRIA
Una volta definito il tracciato planimetrico della strada si deve progettare anche l’andamento altimetrico della strada stessa, che non può certamente seguire quello del terreno a causa delle continue variazioni di pendenza che ne risulterebbero. Si è proceduto allora con la realizzazione del profilo longitudinale.
Profilo longitudinale
IL profilo longitudinale può essere teoricamente inteso come lo sviluppo su foglio di carta della superficie generata dal movimento lungo l’asse stradale di una verticale che trasla parallelamente a se stessa. Per disegnare il profilo l’asse stradale è stato suddiviso in 26 sezioni numerate progressivamente.
Poiché i dislivelli tra i vari punti sono sempre molto piccoli rispetto alle distanze da rappresentare, per una migliore leggibilità le altezze sono riportate in scala 1:100 e le distanze in scala 1:1000.
Esso è composto dal profilo del terreno, chiamato profilo nero, disegnato determinando la quota dei punti dell’asse stradale in corrispondenza delle varie sezioni tracciate sulla planimetria. Risultando piuttosto irregolare l’andamento del profilo nero è stato rettificato con il profilo di progetto, il cosiddetto profilo rosso, mediante tratti più o meno lunghi a pendenza costante: le livellette.
Quest’ultime sono state realizzate adottando i seguenti criteri:
gli sterri compensano approssimativamente i riporti, in modo da ridurre i costi;
le livellette non devono essere troppo corte;
le variazioni di livelletta sono da evitare all’interno di una curva o di un rettifilo, cercando di inserirle nei punti di tangenza delle curve;
evitare brusche variazioni di pendenza tra una livelletta e l’atra ;
utilizzare pendenze massime del 2-3% in corrispondenza dei tornanti;
utilizzare pendenze massime del 3-5% in corrispondenza dei ponti;
Inoltre il profilo longitudinale è composto da una tabella contenente:
numero identificativo delle sezioni;
distanze parziali e progressive;
quote di terreno e di progetto;
andamento planimetrico (che mette in evidenza la successione dei rettifili e delle curve mediante tratti sfalsati).
Infine vengono rappresentate graficamente in corrispondenza di ogni sezione le quote rosse (differenza tra quote di progetto e quelle di terreno), e vengono inserite le pendenze e le lunghezze relative tra una variazione di livelletta e l’altra.
Sezioni trasversali
Queste permettono di determinare sia l’ingombro effettivo della sede stradale, sia l’entità dei movimenti di terra, cioè degli sterri e dei riporti, sia la necessità di eseguire opere particolari come la terra armata, in corrispondenza di certi tratti della strada.
Le sezioni sono state disegnate in scala 1:100, senza considerare la pendenza trasversale della strada e come se fossero viste da un ipotetico osservatore che percorre la strada a ritroso.
4. CONCLUSIONI
Il progetto in esame nella sua realizzazione comporta oneri tecnici ed economici abbastanza contenuti.
Le caratteristiche di fattibilità ed economicità dell’opera sono state le guide che hanno portato ad alcune scelte piuttosto che ad altre.
Tutti gli aspetti non direttamente esposti in questa relazione sono comunque stati presi in considerazione durante le fasi di studio delle varie soluzioni progettuali.
Da tenere conto anche considerazioni di impatto ambientale sulle aree attraversate dalla strada visto il contesto collinare a scarsa urbanizzazione.
Nonostante tutto però il nuovo asse stradale rappresenta, per le considerazioni fatte all’inizio di questa relazione, una necessità per le zone interessate e lo studio qui proposto ne conferma la sua piena realizzabilità operativa.
Progetto Estimo
Per mitigare l’impatto ambientale e visivo dovuto alla vicinanza dell’impianto con zone residenziali facciamo ricorso all’utilizzo di barriere verdi (piante,arbusti,piante da frutto) contenendo,inoltre, in questo modo i venti da nord.
Le suddette barriere andranno ad occupare le superfici contraddistinte dalle particelle 31 e 112
che siamo costretti ad espropriare in quanto in amministrazione controllata da un ente privato.
L’espropriazione è la privazione forzata del diritto di proprietà o di altro diritto reale, fatta per motivi di pubblica utilità
L’articolo 42 della Costituzione della Repubblica italiana dichiara che la proprietà privata pur essendo legalmente riconosciuta, può essere, nei limiti previsti dalla legge, e salvo indennizzo, espropriata per motivi d’interesse generale.
Il provvedimento di espropriazione, dunque, produce l’effetto di cambiare il titolare del diritto di proprietà sul bene: l’ente pubblico subentra al privato.
I soggetti dell’esproprio sono: l’espropriante, che è lo stesso esecutore dell’opera (nel nostro caso un Ente pubblico) e l’espropriato, l’oggetto dell’espropriazione è un terreno agricolo, all’espropriato spetta un’indennità cioè una somma di denaro che deve essere pagata dall’ente espropriante pari al valore effettivo economico e non solo nominale del bene;
l’indennità quindi è pari al Valore Agricolo Medio VAM del terreno
agricolo più il 50% del VAM stesso

Somma m² paricelle 112 + 31 = 2'
VAM = 70000 € per ha
2'

VAM (indennità affittuario) =14'404,25 €
→ 50% = 7'202,12 €
VAM + 50% (per il terreno)= 14'404,25 € + 7'202,12 € = 21'606,38 €
La somma 21'606,38 è l’indennità che spetta all’affittuario in quanto la cessione è di fatto volontaria.
Progetto Costruzioni
Inoltre per una corretta realizzazione della strada é necessario l’utilizzo di muri di sostegno:
Per muro di sostegno si intende un manufatto murario con la funzione principale di sostenere,o contenere , fronti di terreno di qualsiasi natura e tipologia, eventualmente artificiali.
Le opere di sostegno rigide si dividono in:
a) MURI DI SOSTEGNO A GRAVITA’
Presentano solitamente un notevole spessore per mantenere la loro stabilità,lo spessore del muro cresce in maniera direttamente proporzionale alla massa di terra da sostenere.

b)MURI DI SOSTEGNO CON SOLETTA
Realizzati in cemento armato ,sono costituiti da una soletta verticale caricata dalla spinta esercitata dal terrapieno.ed incastrata perfettamente con una soletta orizzontale di base che si prolunga notevolmente nel terrapieno affinché il peso P della terra sia tale da assicurare la stabilità del complesso;lo spessore di questi è notevolmente contenuto.

c)MURI A SEMIGRAVITA’:Simili a quelli a gravità ma con spessore più ridotto in quanto le tensioni di trazione per flessione vengono fatte assorbire da un’armatura metallica anziché con un aumento dello spessore del muro.

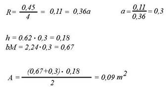
Il muro utilizzato da noi per la strada in questione è un muro di sostegno a gravità,ed abbiamo qui di seguito svolto i calcoli per il dimensionamento dello stesso:

1
Progetto Impianti
Abbiamo deciso di realizzare lungo il
tracciato stradale un impianto di raccolta di acque meteoriche e dimensionarle
in base alle precipitazioni medie annue della zona interessata, ci siamo basati
sui dati raccolti dalla stazione meteo
nel comune di Ascoli Piceno,
a
Le precipitazioni medie annue superano i 1000mm, distribuite mediamente in 80 giorni.
In oltre ai fini del dimensionamento delle canalette di raccolta e trasporto delle acque piovane,fissiamo un diametro di 0.45m e scegliamo di realizzarle in cemento liscio,che avrà una scabrezza di K=80;
In oltre conosciamo:
la pendenza del tratto stradale interessato che è di I = 0.002
il livello percentuale di riempimento del canale W=50%
Con questi dati tramite un software (che utilizza la formula di chezy) di calcolo online abbiamo trovato la portata della canaletta:

La nostra portata Q è di 0,06630
Ora calcoliamo il raggio idraulico della nostra canaletta trapezioidale(scelta di questa forma perché più idonea per costeggiare una strada) che ci servirà poi per calcolare la velocità del fluido all’interno della canaletta,che ci sarà utile per verificare se il dimensionamento della stessa è corretto:


La velocità riscontrata per il nostro tipo di canaletta risulta ottimale,quindi il dimensionamento dato precedentemente è corretto.
IL Fascismo
Opere pubbliche come strade, fognature,acquedotti e ponti sono state
sempre fortemente volute e realizzate dalle varie istituzioni che hanno
governato il nostro Paese. In particolar modo ,riscontriamo diversi interventi
funzionali a livello architettonico, paesaggistico
e urbano nell’Italia Fascista. Il fascismo fu un movimento politico del XX secolo, rivoluzionario e reazionario, di
carattere nazionalista, autoritario e totalitario, che sorse in Italia per iniziativa di Benito Mussolini
che diede inizio ad una gigantesca opera di trasformazione fondiaria e
risanamento del territorio coperto da paludi. Questo tipo di intervento fu
particolarmente significativo nella zona dell’Agro Pontino dove sorse la città
di Littoria, l’attuale Latina. A livello architettonico possiamo ricordare tra i tanti interventi la realizzazione
dell’Idroscalo di Milano, un grande canalone lungo
84,007, costruita in 16 mesi, ammodernò il Pubblico Catasto urbano e dei terreni
e mappò tutto il territorio nazionale compilando le mappe altimetriche
usate ancora oggi.
Tra gli altri interventi ricordiamo:
Le origini storiche del fascismo risalgono alla profonda crisi provocata in tutta l’Europa dalla 1° Guerra mondiale (1915-1918) che portò a radicali mutamenti nelle strutture politiche e sociali dei singoli Paesi.
In Italia la crisi assunse proporzioni assai gravi: insoddisfazione per i risultati della conferenza della pace ( che deludevano le speranze di ingrandimenti territoriali e coloniali);il peggioramento delle condizioni economiche;il carovita e la disoccupazione, che pesavano soprattutto sulle classi popolari; l’inquietudine della grande borghesia industriale e agraria di fronte alle agitazioni sociali, agli scioperi, all’occupazione delle fabbriche e delle terre.
Mussolini, schierato politicamente a sinistra e desideroso di riforme sociali radicali, si espose in politica in maniera decisa la prima volta nel 1919 quando diede vita a un nuovo movimento che precedette il fascismo: i Fasci di combattimento
Il 23 marzo,infatti,illustrava a Milano il programma di San Sepolcro, con il quale proponeva il minimo salariale ,la giornata lavorativa di otto ore , la gestione dell’impresa anche ai rappresentanti dei lavoratori,l’aggiunta dell’imposta capitale sul reddito e l’estensione del voto alle donne.
In breve tempo, però, Mussolini si sbarazzò di questo programma e i fasci vennero a distinguersi per la loro aggressività verbale e la violenza della loro condotta. Infatti arrivarono ad incendiare la sede del giornale socialista l’Avanti.
Le violenze squadriste crebbero d’intensità nel corso del 1921 e 1922, arrivando sino all’occupazione in armi di intere città, anche grandi (come Bologna). L’atteggiamento delle forze dell’ordine e della magistratura fu debolissimo.
Dalla fine della guerra al primo governo di Mussolini, cioè dal novembre 1918 all’ottobre 1922, si susseguirono sei diversi governi: Orlando , Nitti , Giolitti , Bonomi (due volte)e Facta.
Questa instabilità politica era il sintomo di una grave crisi della vecchia classe liberale e dell’intero sistema politico italiano. Nel 1922 Mussolini decise di attuare un’azione di forza sfruttando l’apparato militare del fascismo riorganizzato da lui stesso in una “milizia fascista”.
Il 24 ottobre 1922 Mussolini radunò le camice nere a Napoli in vista della famosa Marcia su Roma che ebbe inizio con l’occupazione di edifici pubblici.
Il 28 ottobre le squadre fasciste entrarono nella capitale ed il Re Vittorio Emanuele III rifiutò di firmare il decreto di Stato D’assedio per difendere Roma e convocò Mussolini per assegnargli l’incarico di formare un nuovo governo.
Il primo governo Mussolini(un Mussolini Moderato) era composto da cinque esponenti fascisti e altri ministri liberali, popolari, indipendenti filofascisti e nazionalisti.
Il 16 novembre Mussolini presentò il suo governo al parlamento.
Al voto :306 i favorevoli, 116 i contrari.
Il 30 maggio 1924 Matteotti (in foto),segretario del partito socialista, pronunciò un coraggioso discorso alla camera denunciando i brogli elettorali e le continue violenze del partito fascista;il 10 Giugno venne rapito da una squadra fascista ed il suo corpo fu trovato il 16 agosto dentro un auto .Il delitto Matteotti scosse profondamente l’opinione pubblica. Mussolini il 3 gennaio 1925 si prese la totale responsabilità politica del delitto ammettendolo pubblicamente. Si chiudeva l’equivoco legale e si apriva la dittatura.
MUSSOLINI : ”se il fascismo è un’associazione a delinquere io sono il capo di
questa associazione!”
Il progetto politico di Mussolini, a partire dal 1925, mirò alla fascistizzazione.
Il Fascismo fece approvare una serie di leggi dette Fascistissime che definirono ulteriormente la formazione di una dittatura.
UNICO PARTITO POLITICO RICONOSCIUTO FU’ IL PARTITO NAZIONALE FASCISTA ;VENNE VIETATA L’ESISTENZA DI ALTRE FORMAZIONI POLITICHE
SI RICONOBBE AL CAPO DEL GOVERNO IL POTERE LEGISLATIVO
Inoltre fu abolita la carica di sindaco e sostituita da quella di podestà, furono chiusi tutti i giornali antifascisti e tutta la stampa fu sottoposta a dei severi controlli.
Il tribunale speciale per la difesa dello stato fu lo strumento con cui la giustizia politica mise a tacere ogni opposizione,; il suffragio universale democratico venne sostituito dalla legge elettorale plebiscitaria, che limitava il diritto di voto. Il centro della vita politica fu monopolizzato dal Partito Fascista, che si trasformò in una poderosa struttura burocratica destinata a intervenire in ogni aspetto della vita sociale. Nacque la polizia segreta OVRA(opera di vigilanza per la repressione antifascista).
Il regime fascista dimostrò molto interesse anche per le tecniche di formazione e manipolazione del consenso fascistizzando tutte le istituzioni esistenti:
scuola, università, stampa e cinema. Furono create inoltre organizzazioni sportive e dopolavoro e vennero rafforzate le strutture tipiche delle stato ( mutui, assicurazioni ). Decisiva ai fini del consenso fu anche la politica religiosa del regime, culminata con la stipula dei patti lateranensi (1929) tra stato italiano e Vaticano, con cui i due poteri si riconoscevano e legittimavano reciprocamente.
In politica
economica il fascismo seguì inizialmente
una linea liberista ma, con la seconda metà degli anni venti e soprattutto
dopo la crisi del 1929, l’intervento dello stato nell’economia crebbe
vistosamente e proliferarono gli enti pubblici a carattere economico ( come l’IRI Istituto per
Il corporativismo fu un’altra importante posizione ideologica presa a livello sociale in quanto, secondo Mussolini, i datori di lavoro e i lavoratori dipendenti dovevano collaborare tra loro e difendere insieme gli stessi interessi della nazione.
La politica coloniale, dopo una fase di consolidamento dei possedimenti africani ( Libia, Eritrea, Somalia ), riprese in grande stile negli anni trenta con obbiettivi di acquisizione del consenso all’interno e di affermazione del prestigio italiano in campo internazionale. Nel 1935, nonostante la condanna della Società delle Nazioni, Mussolini procedette nella sanguinosa aggressione dell’Etiopia, fino alla sua conquista e alla costruzione dell’impero italiano in Africa orientale. La conseguenza più grave di questa guerra fu l’avvicinamento di Mussolini a Hitler che aveva appoggiato l’Italia.
Nel 1936 fu firmato un patto tra Italia e Germania: l’asse Roma Berlino.
Nel 1938 anche il fascismo, con la promulgazione delle leggi razziali, varò una legislazione antisemita (contro gli Ebrei), ma in Italia queste discriminazioni suscitarono molte perplessità.

Luigi Pirandello
Tra i sostenitori del Partito Nazionale Fascista vi era uno dei più famosi scrittori italiani, Luigi Pirandello, che vedeva nella figura e nel carattere di Mussolini colui che viveva come persona e non come personaggio ed identificava il fascismo come un movimento aperto cioè come la “vita che si contrapponeva alla forma”.
Luigi Pirandello nacque ad Agrigento nel 1867 da una famiglia nella quale era viva la tradizione patriottica. La sua infanzia non fu sempre serena in quanto caratterizzata da una scarsa comunicazione con i suoi genitori; questo lo stimolò ad affinare le sue capacità espressive e a studiare il modo comportamentale degli altri.
Rimase ad Agrigento sino al 1887, anno in cui si trasferì a Roma per continuare gli studi universitari,che concluse poi a Bonn in Germania dove si laureò in filologia romanza. Laureatosi tornò a Roma e dedicò la propria vita alla letteratura a al teatro. Vi morì il10 dicembre 1936, due anni dopo aver ricevuto il premio Nobel per la letteratura.
Pirandello è l’unico scrittore italiano del Novecento famoso in tutto il mondo,con lui entrano nella letteratura italiana alcuni dei caratteri fondamentali della ricerca dell’avanguardia europea: la crisi delle ideologie e il conseguente relativismo.
Gli ambienti che influirono sulla sua formazione psicologica e culturale furono quello siciliano ,quello tedesco e quello romano.
Possiamo, quindi, dividere la sua vita in 5 periodi:
Il percorso ideologico di Pirandello, a partire dal 1904, subì una forte influenza del pensiero positivista (con variante negativa tipica del Naturalismo siciliano) secondo cui la scienza non è concepita ottimisticamente,ma è solo capace di corrodere miti e credenze. Con l’avvicinarsi della svolta del secolo, però, iniziò a porre in discussione il postulato di fondo del positivismo,finché, in un saggio del 1908,arrivò a sostenere che il mondo oggettivo fosse solo una proiezione del nostro sentimento,approdando ad un soggettivismo tipicamente novecentesco.
Subentrò così la coscienza della crisi del positivismo alla quale successe, a causa dell’influenza materialista e verista, una critica al simbolismo e all’estetismo decadente.
Si rafforza in lui la coscienza della crisi dei valori tradizionali e morali ottocenteschi avvicinandosi alla relatività di ogni cosa.
La poetica di Pirandello
Tra il 1904 e il 1908 si sviluppa la poetica dell’umorismo di Pirandello e nel 1908, appunto, esce il volume L’Umorismo.
Questo volume può essere diviso in due parti: la prima fu scritto con intenti accademici,mentre la seconda è dedicata all’analisi dell’essenza dell’umorismo che getta le basi di una nuova poetica.
Quando parla di umorismo Pirandello oscilla sempre tra due visioni dello stesso:
ontologica = considerandolo come una condizione perenne dell’uomo (l’uomo vive da sempre in un mondo privo di senso e si crea delle illusioni attraverso le quali cerca di dare senso alla sua esistenza); storica = da condizioni che hanno messo in crisi le antiche certezze (riconosce nella caduta dell’antropocentrismo tolemaico,sostituito dal pensiero di galileo, per il quale l’uomo e la terra sono entità minime, il malessere tipico della modernità).
L’umorismo inoltre non è solo una poetica ma anche l’espressione coerente del relativismo filosofico, con la messa in discussione del positivismo e delle ideologie romantiche. Del positivismo si rifiuta il criterio della verità oggettiva, garantita dalla scienza;del Romanticismo l’idea della verità soggettiva.
Entrano in crisi così la soggettività e l’oggettività ed è il concetto stesso di verità che viene messo in discussione .Ne deriva un relativismo assoluto, che non propone valori né eroi che ne siano portatori,ma soltanto un atteggiamento critico-negativo a personaggi problematici, dunque inetti.
L’arte UMORISTICA
L’arte umoristica evidenzia il contrasto tra Vita e Forma e tra Personaggio e Persona.
Gli autoinganni di cui ha bisogno l’uomo per vivere ,quindi dagli ideali che ci poniamo alle leggi civili,fino al meccanismo sociale che spesso ci etichetta, danno origine alla forma, la quale blocca le pulsioni vitali e quindi circoscrive la vita,paralizzandola e paradossalmente uccidendola.
La vita invece è una forza profonda che fermenta intrappolata dalla forma,ma che a volte riesce a liberarsi spinta da situazioni particolari. Colui che è intrappolato nella forma è un personaggio ed indossa una maschera ed è non coerente, solido, unitario e recita la parte che la società esige da lui,e quindi non è più una persona(cioè chi vive la vita).

Il personaggio che riesce ad uscire dalla forma, spinto da meccanismi
esistenziali, si vede vivere e trova
davanti a sé due possibilità: tornare nelle forma,e quindi essere una maschera nuda(ovvero consapevole
degli auto inganni che l’uomo si pone) oppure rimanere senza maschera e
vivere la vita in alcuna forma.
Caratteristiche principali dell’arte umoristica
Pirandello ama la discordanza ,la disarmonia,la contraddizione ,distrugge le gerarchie e predilige il grottesco,l’incongruente il ridicolo. Nelle sue novelle punta spesso a strutture aperte e inconcluse,al contrasto tra vita e forma e tra persona e personaggio.
ESEMPI DI ARTE UMORISTICA
POETICA UMORISMO: Nel saggio 'L'umorismo' Pirandello distingue il comico dall'umorismo. Il primo, definito come 'avvertimento del contrario', nasce dal contrasto tra l'apparenza e la realtà. Nel saggio citato Pirandello ce ne fornisce un esempio:
«Vedo una vecchia signora, coi capelli ritinti, tutti unti non si sa di
qual orribile manteca, e poi tutta goffamente imbellettata e parata d'abiti
giovanili. Mi metto a ridere. 'Avverto' che quella vecchia signora è
il contrario di ciò che una rispettabile signora dovrebbe essere. Posso così, a
prima giunta e superficialmente, arrestarmi a questa espressione comica. Il
comico è appunto un 'avvertimento del contrario».L'umorismo invece nasce
da una meno superficiale considerazione della situazione:«Ma se ora interviene
in me la riflessione, e mi suggerisce che quella vecchia signora non prova
forse piacere a pararsi così come un pappagallo, ma che forse ne soffre e lo fa
soltanto perché pietosamente, s'inganna che, parata così, nascondendo le rughe
e le canizie, riesca a trattenere a sé l'amore del marito molto più giovane di
lei, ecco che io non posso più riderne come prima, perché appunto la
riflessione, lavorando in me, mi ha fatto andar oltre a quel primo
avvertimento, o piuttosto, più addentro: da quel primo avvertimento del
contrario mi ha fatto passare a questo sentimento del contrario. Ed è tutta
qui la differenza tra il comico e l'umoristico».L'umorismo è meno spietato del
comico che giudica in maniera immediata; « non ci fermiamo alle apparenze, ciò
che inizialmente ci faceva ridere adesso ci farà tutt'al più sorridere. »
Novelle e Romanzi
Il fu Mattia Pascal è il romanzo più celebre di Luigi Pirandello; apparve dapprima a puntate sulla rivista 'Nuova Antologia' nel 1904 e pubblicato, nello stesso anno, in volume.
TRAMA
Mattia Pascal vive in un immaginario paese ligure, Miragno, dove il padre, che si era arricchito con i traffici marittimi e il gioco d'azzardo, ha lasciato in eredità alla moglie e ai due figli una discreta fortuna. A gestire l'intero patrimonio è un avido e disonesto amministratore, Batta Malagna, la cui nipote, Romilda, viene messa incinta da Mattia,che viene costretto a sposarla e a convivere con la suocera, che non manca di manifestare il suo disprezzo per il genero, considerato un inetto. Tramite l'amico Pomino, Mattia ottiene un lavoro come bibliotecario, ma dopo un po' di tempo, scontento per il lavoro che trova umiliante e per il matrimonio infelice, decide di fuggire e di tentare l'avventura in Francia. Arrivato a Montecarlo e fermatosi a giocare alla roulette, in seguito ad una serie di vincite fortunate, diventa ricco. Deciso a ritornare a casa per riscattare la sua proprietà e vendicarsi dei soprusi della suocera, un altro fatto muta il suo destino. Mentre è in treno legge per caso su un giornale che a Miragno è stato ritrovato nella roggia di un mulino il cadavere di Mattia Pascal. Sebbene sconvolto, comprende presto che, credendolo tutti ormai morto, può crearsi un'altra vita. Così, con il nome inventato di Adriano Meis inizia a viaggiare, decide di stabilirsi a Roma in una camera ammobiliata. Si innamora, ricambiato, di Adriana, la dolce e mite figlia del padrone di casa, Anselmo Paleari, e sogna di sposarla e di vivere un'altra vita, ma presto si rende conto che la sua esistenza è fittizia. Infatti, non essendo registrato all'anagrafe, è come se non esistesse e pertanto non può sposare Adriana, e non può svolgere alcuna delle normali attività quotidiane, poiché privo di identità. Finge così un suicidio e, lasciato il suo bastone e il suo cappello vicino a un ponte del Tevere, ritorna a Miragno come Mattia Pascal.Sono intanto trascorsi due anni e arrivato al paese, Mattia viene a sapere che la moglie si è risposata con Pomino(amico di Pascal) e ha avuto una bambina. Si ritira così dalla vita e trascorre le sue giornate nella biblioteca polverosa dove lavorava in precedenza a scrivere la sua storia e ogni tanto si reca al cimitero per portare ,una corona di fiori, sulla tomba del 'fu Mattia Pascal'.
I temi affrontati in 'Il fu Mattia Pascal' sono i seguenti:la modernità e il progresso, quello della famiglia vista come nido, la crisi d’identità,la forma, l’inettitudine' e infine quello del 'gioco d'azzardo e dello spiritismo'
La forma
Mattia Pascal è in una forma, ha una famiglia e un lavoro, ma il Caso lo fa uscire dalla forma Mattia Pascal per entrare nella forma di Adriano Meis .che vorrebbe poi tornare ad essere Mattia, ma questo non può accadere perché il passare del tempo proibisce di rientrare nella stessa forma.
Il tema della famiglia
Il secondo tema principale è la famiglia, che può essere vista sia come
un nido, come la famiglia d'infanzia, che come una prigione da cui evadere,
come la convivenza con la moglie e la suocera.
Il tema dell'identità
Il tema centrale dell'opera è quello della perdita dell'identità che Mattia prima caccia via e poi riottiene e accetta. L'identità è qualcosa di importante che ogni individuo deve preservare per far sì che il suo ricordo rimanga per sempre.
Il tema dell'inettitudine
Mattia Pascal è un inetto, un velleitario, uno sconfitto dalla vita che, proprio per questa sua incapacità di adattarsi ad essa, finisce col guardarsi vivere da una posizione di estraneità e di distacco. Egli, all'inizio della storia, si propone di sfuggire a qualsiasi norma e regola, ma dopo l'innamoramento con Adriana capisce di dovere accettare di nuovo il suo ruolo di semplice comparsa all'interno della società; seppur in maniera marginale, è tuttavia importante farne parte, in qualunque modo.
Gioco d'azzardo e spiritismo
Il tema del gioco d'azzardo è presente in quanto serve a sottolineare l'idea di relativismo e di mancanza di punti di riferimento nella vita dell'uomo

Uno, nessuno e centomila
1S ed. originale 1926
“Uno, nessuno e centomila” è uno dei romanzi più famosi di
Luigi Pirandello.Iniziato già nel 1909, uscì solo nel 1926, prima sotto forma
di romanzo a puntate edito in una rivista,
TRAMA
Il protagonista di questa vicenda , Vitangelo Moscarda, è una persona ordinaria, che ha ereditato da giovane la banca del padre e vive di rendita affidando a due fidi collaboratori la gestione dell'impresa. Un giorno, tuttavia, in seguito alla rivelazione da parte della moglie di un suo difetto fisico (il naso leggermente storto), inizia a scoprire che le persone intorno a lui hanno un'immagine della sua persona completamente diversa da quella che lui ha di sé. È la consapevolezza di essere presente nelle persone intorno a lui in centomila forme differenti che accende il desiderio di distruggere queste forme a lui estranee, con l'obiettivo di scoprire il vero sé. Inizia, quindi, ad agire con il fine di strappare queste immagini sbagliate di sé, presenti nelle persone. Il protagonista arriverà alla follia, che non è considerata in modo negativo, ma è considerata come un momento in cui, sospesi tutti i comportamenti prima automatici, la facoltà percettiva riesce ad allargarsi e vedere il mondo con 'altri occhi', perché finalmente libera dalle regole consuete.
L'opera finisce con la presentazione della 'vera vita', finalmente libera dalle costrizioni, capace di rinascere in ogni attimo. Vitangelo Moscarda conclude che per uscire dalla prigione in cui la vita rinchiude, non basta cambiare nome, ma bisogna rifiutare ogni nome, inteso come la rappresentazione della forma di una cosa, la sua parte statica. Proprio perché la vita è una continua evoluzione, il nome rappresenta la morte. Dunque, l'unico modo per vivere in ogni istante è vivere attimo per attimo la vita, rinascendo continuamente in modo diverso.
Titolo e significato dell'opera
Il titolo di questo romanzo pirandelliano è un'ottima chiave di lettura per comprenderlo fino in fondo. Quella di Vitangelo Moscarda è la storia di una consapevolezza che si va man mano formando. La consapevolezza che l'uomo non è Uno, e che la realtà non è oggettiva. Il protagonista passa dal considerarsi unico per tutti (Uno) a concepire che egli è un nulla,(Nessuno), passando alla consapevolezza di se stesso che l'individuo assume nel suo rapporto con gli altri (Centomila). Egli si dissolve completamente nella natura; rifiuta il suo nome, che falsifica ed imprigiona la realtà in forme immutabili, quasi come un'epigrafe funeraria. Al contrario della vita, che è un continuo fluire.
Il Pirandello in Uno, nessuno e centomila
Alla base del pensiero pirandelliano c’è una concezione vitalistica della realtà: la realtà tutta è vita, perpetuo movimento vitale, inteso come eterno divenire, incessante trasformazione da uno stato all'altro.Tutto ciò che si stacca da questo flusso e assume forma distinta e individuale, si rapprende, si irrigidisce, comincia, secondo Pirandello, a morire. Così avviene per l'uomo: si distacca dall'universale assumendo una forma individuale entro cui si costringe, una maschera ('personaggio') con la quale si presenta a sé stesso. Non esiste però la sola forma che l'io dà a sé stesso, nella società esistono anche le forme che ogni io dà a tutti gli altri. E in questa moltiplicazione l'io perde la sua individualità, da «uno» diviene «centomila» quindi «nessuno».
Il treno ha fischiato
Il treno ha fischiato è una novella di Luigi Pirandello pubblicata nel 1914 sul Corriere della sera e successivamente inserita nella raccolta Novelle per un anno.
TRAMA.
Il protagonista è Belluca, un impiegato mansueto, sottomesso, metodico e paziente sottoposto alle pressioni sia nell'ambito familiare che lavorativo. A lavoro, infatti, il capoufficio gli dà da svolgere sempre del lavoro in più, che non rientra nella sue mansioni e quindi nella sua retribuzione. Una notte, dopo aver sentito il fischio di un treno si ribella alle angherie del capoufficio producendosi in un imprecisato vaniloquio. Con queste reazioni, fuori dagli schemi della società, i suoi colleghi lo ritengono pazzo e lo fanno rinchiudere direttamente nell'ospizio. Nella novella l'ordine cronologico è invertito. Non si va dalla normalità alla pazzia ma dalla pazzia dobbiamo risalire alle cause che l'hanno determinata che affondano nella probabile normalità. Il fischio del treno , rappresenta un modo per uscire dalla quotidianità. A differenza degli altri personaggi pirandelliani lui non cerca di crearsi un'altra vita (Mattia Pascal in Il fu Mattia Pascal) o è in ribellione continua con tutte le regole della società (Moscarda in Uno, nessuno e centomila), ma ritorna semplicemente a condurre la sua vita nello stesso modo di prima, solo che ogni tanto si concede qualche viaggio con la mente.
Anche in questa novella possiamo riscontrare la poetica dell’umorismo di Pirandello.dove il protagonista rientra nella forma e diventa maschera nuda,con la possibilità però(ci lascia intendere Pirandello)di riuscire dalla forma in un futuro, più, o meno prossimo.
IL RELATIVISMO ASSOLUTO NEL il treno ha fischiato: «A un uomo che viva come Belluca che finora ha vissuto, cioè una vita 'impossibile', la cosa più ovvia, l'incidente più comune, un qualunque lievissimo inciampo impreveduto, che so io, d'un ciottolo per via, possono produrre effetti straordinari, di cui nessuno si può dare la spiegazione, se non pensa appunto che la vita di quell'uomo è 'impossibile'. Bisogna condurre la spiegazione là, riattaccandola a quelle condizioni di vita impossibili, ed essa apparirà allora semplice e chiara. Chi veda soltanto una coda, facendo astrazione dal mostro a cui essa appartiene, potrà stimarla per se stessa mostruosa. Bisognerà riattaccarla al mostro; e allora non sembrerà più tale; ma quale deve essere, appartenendo a quel mostro. “Una coda naturalissima”.»
La carriola
La carriola è un’altra novella di Luigi Pirandello, che fa parte della raccolta Novelle per un anno.
TRAMA
La breve novella si apre con la descrizione di un avvocato, padre di famiglia, che si sta recando nella propria abitazione dopo una lunga giornata di lavoro. Il protagonista sta viaggiando in treno, e mentre attende che il viaggio si concluda, cerca di trovare una soluzione ad una causa inoltrata da un suo cliente. La figura che viene descritta assume fin da subito un atteggiamento alto, da persona molto intelligente e colta, tuttavia nel profondo di se non si sente sicura, e capisce che la sua vita è come una messa in scena. Mentre il treno si avvicina a casa il protagonista si guarda riflesso nel vetro del treno e si vede vivere e si accorge di sentirsi estremamente insoddisfatto dalla sua vita. Poco più tardi, mentre l’avvocato si accinge ad aprire la porta della sua abitazione, comprende di dover indossare ogni volta delle maschere sempre diverse, a seconda delle persone che si trova dinnanzi. In principio costui si vuole rifugiare nella follia, ma ripensando alla moglie e ai figli che lo stanno aspettando al di là della porta, si sente spinto a rimanere nel suo ruolo e quindi entra. Nel suo studio, però, il protagonista, quando nessuno può vederlo manifesta la sua ribellione. Tutti i giorni, infatti,prende la sua cagnetta per le zampine posteriori, e le fa compiere la “carriola”.
Poetica dell’umorismo,il protagonista esce dalla forma ne rientra come maschera nuda e quando è solo con il suo cane sceglie di togliersi la maschera e far uscire la sua vita che fermenta nella forma facendogli fare la carriola.
Il TEATRO
Pirandello inizia a dedicarsi al teatro solo nel 1915,rivela in esso una certa diffidenza in quanto la rappresentazione scenica è sempre una “traduzione” del testo letterario rischiando perciò di falsarlo. La contraddizione tra teatro e letteratura viene risolta da Pirandello lavorando in due direzioni:
Elaborando la teoria dell’autonomia dei personaggi dall’autore
Accentuando l’aspetto dissacrante e autocritico del lavoro artistico - teatrale
Il teatro da tradizionale diventa Grottesco
Possiamo dividere il suo percorso teatrale in tre fasi:
Prima Fase - Teatro Siciliano
Nella fase del Teatro Siciliano Pirandello è alle prime armi e ha ancora molto da imparare. Anch'essa come le altre presenta varie caratteristiche di rilievo e in questo caso abbiamo il fatto che esso è scritto tutto, interamente in dialetto Siciliano perché considerato dall'autore più vivo dell'italiano ed esprime di più l'aderenza alla realtà.
Seconda fase - Il teatro umoristico
Mano a mano che l'autore si distacca dal verismo e si avvicina al decadentismo si ha l'inizio della seconda fase con il teatro umoristico con numerosi paradossi, infatti Pirandello presenta personaggi che spezzano le certezze del mondo borghese introducendo la versione relativistica della realtà in cui lui vorrebbe trovare la dimensione autentica della vita al di là della maschera. Lo scopo del drammaturgo è quello di Denudare Le Maschere. Lui stesso definirà il suo teatro “Teatro dello specchio” perché rappresenta la vita nuda con le sue realtà
Es. Così è (se vi pare), Milano, Teatro Olimpia, 18 giugno 1917;
sino al1920;
Terza fase - Il teatro nel teatro
Nella fase del teatro nel teatro le cose cambiano radicalmente, per Pirandello il teatro deve parlare anche agli occhi non solo alle orecchie, a tal scopo ripristinerà una tecnica teatrale di Shakespeare, il palcoscenico multiplo, in cui vi può ,per esempio, essere una casa divisa in cui si vedono varie scene fatte in varie stanze contemporaneamente; inoltre il teatro nel teatro fa sì che si assista al mondo che si trasforma sul palcoscenico. Pirandello abolisce anche il concetto della quarta parete, cioè la parete trasparente che sta tra attori e pubblico: in questa fase, infatti, Pirandello tende a coinvolgere il pubblico che non è più passivo ma che rispecchia la propria vita in quella agita degli attori sulla scena.
Es. Sei personaggi in cerca d'autore, Roma, Teatro Valle, 10 maggio 1920;
sino al1931.
Sei personaggi in cerca d'autore è il dramma più famoso di Luigi
Pirandello. Esso fu rappresentato per la prima volta il 9 maggio1921. Fu
importante ,però, per il successivo successo di questo dramma, la terza
edizione, del
È considerata la prima opera della trilogia del teatro nel teatro, comprendente Questa sera si recita a soggetto e Ciascuno a suo modo.
TRAMA
All'entrata nel teatro, gli spettatori trovano il palcoscenico non coperto dal sipario, al buio e vuoto, quasi in via di allestimento. La rappresentazione inizia con l'entrata del direttore-capocomico, seguito dagli attori, che entrano alla spicciolata. Era in programma, infatti, la prova de Il giuoco delle parti, altro dramma di Luigi Pirandello. Dopo l'inizio della prova, entrano in scena dal nulla sei personaggi (il padre, la madre, la figliastra diciottenne, la bambina, il giovinetto e il figlio) che, per bocca del padre, chiedono che venga rappresentata sulla scena la loro storia, il loro dramma. Egli spiega al capocomico come, dopo essere stati creati da un autore, siano stati rifiutati ed abbandonati da questo nonostante i numerosi tentativi di convincerlo a terminare il dramma. Essi, quindi, sono in cerca di un autore che possa rappresentare sulla scena il loro dramma. Tra lo sbigottimento generale degli attori, in un susseguirsi continuo di interruzioni e riprese caotiche, inizia il racconto del dramma familiare.
La conclusione
Il capocomico,adirato per la giornata di prove perduta, ordina all'elettricista di spegnere tutto e licenzia tutti.
Temi nell'opera
Tentativo di svelare il meccanismo e la magia della creazione artistica e il passaggio dalla persona al personaggio, dall'avere forma all'essere forma.
eliminazione dello spazio artistico, disintegrazione dello spazio teatrale.
creazione di scene traumatiche (volontà di vivere una vita autentica da parte dei Sei personaggi, in cui però si ripete l'angoscia delle colpe).
scomposizione delle strutture drammatiche (teatro nel teatro).
comunicazione fondata sulla trasmissione di messaggi non autentici, non rispondenti al nostro essere, perché impossibili da racchiudere nella convenzione del parlato, il che porta a rapporti compromessi sul nascere e quindi ad una solitudine senza rimedio.

WALLS
In a building, walls have the following main functions:
To support roof and floor, as well as the live load;
To limit a building on the outside and to provide a protective barrier against weathering effects;
To subdivide space within a building and to accommodate electrician wires and water pipes.
The materials employed to build walls vary according to the local availability of materials and the different uses of walls. There are stone walls, concrete masonry walls, cement block walls, and specialized masonry walls.
Nevertheless, all walls must meet the following requirements:
They must be perfectly vertical and parallel,
Their bases must be level;
The masonry units must be perfectly joined by a binding mortar;
Both the materials employed (bricks or stone) and the mortar must be resistant quality products.
In particular, the quality of mortar and the way it is mixed are essential for the strength of wall. Mortar should be able to retain water and to keep its tensile strength when subjected to changing weathering effect. Depending on their functions, walls can be classified into the following group:
Loadbering walls, which support the structural load of a building and have their own foundations
Partition walls, that are internal walls subdivide a buildings into different rooms;
Retaining walls, which support or confine a dass of earth
![]() |
| Appunti su: progetto stradale fasi appunti, |
|
| Appunti Elettronica elettricita | ![]() |
| Tesine costruzione | ![]() |
| Lezioni Demografia urbanistica | ![]() |