![]() |
|
| Appunti superiori |
|
| Visite: 1716 | Gradito: |
Leggi anche appunti:Autori biologiaAUTORI A metà ottocento il diffuso interesse per la scienza e la fede nel Orecchio, via acustica e via vestibolareOrecchio, via acustica e via vestibolare L'orecchio è composto da tre parti MartoraMARTORA Martes martes (Linnaeus, 1758) Regno: Animali Tipo |
![]() |
![]() |
Molecole Biologiche
Le principali molecole biologiche si dividono in quattro classi, composte per la maggior parte da polimeri. (molecole di grandi dimensioni costituite dall'aggregazione di unità più semplici di base dette monomeri).
Sono composti contenenti Carbonio, idrogeno e ossigeno in proporzione CnH2nOn, sono le molecole che tipicamente forniscono l'energia necessaria alle attività biologiche e in alcuni casi hanno anche funzione strutturale
I più importanti monosaccaridi sono costituiti da una molecola di 5 o 6 atomi di carbonio (pentosi/esosi) alla quale è legato un gruppo carbonico.
Sono formati da due unità monosaccariche legate tra loro, il disaccaride più comune e conosciuto è il saccarosio (zucchero da cucina)
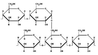
È una vasta famiglia di polimeri formata dall'unione di più di due unità monometriche. I più importanti sono amido e glicogeno

Sono composti di origine animale o vegetale che hanno la caratteristica di essere INSOLUBILI in acqua, mentre possono essere sciolti in solventi apolari come benzene e cloroformio.
I lipidi svolgono numerose funzioni biologiche:

I lipidi, a seconda della loro composizione si possono dividere in:
*la condensazione del gruppo carbossilico di tre molecole di acidi grassi con i tre gruppi ossidrili di una molecola di glicerolo, porta alla formazione dei TRIGLICERIDI.

Sono polimeri formati dalla combinazione più o meno lunga di 20 diversi tipi di amminoacidi. Ad ogni possibile combinazione corrisponde una proteina con proprietà differenti.
Gli amminoacidi sono composti azotati costituiti da un carbonio centrale a cui sono legati 3 gruppi di atomi (costanti, comuni a tutti gli amminoacidi) ed un gruppo variabile R che caratterizza ogni singolo amminoacido:

Gli amminoacidi (o peptidi) si uniscono tra loro mediante la formazione di un legame peptidico tra il gruppo amminico di un amminoacido e il gruppo carbossilico dell'altro.
Sono particolarmente abbondanti nel nucleo di tutte le cellule eucariote, sono lunghissime catene costituite da un numero enorme di nucleotidi.
Un nucleotide è formato dalla composizione di tre diverse molecole:

![]() |
| Appunti su: glicolipidi, |
|