![]() |
|
| Appunti superiori |
|
| Visite: 1627 | Gradito: |
Leggi anche appunti:Alla ricerca di dinamismo e simultaneita': il futurismoALLA RICERCA DI DINAMISMO E SIMULTANEITA': il Futurismo Tra le avanguardie Storia dell'arte - arte della preistoriaStoria dell'Arte ARTE DELLA PREISTORIA ARTE Una storia del pensiero antropologicoUna storia del pensiero antropologico Questa disciplina riflette sul rapporto |
![]() |
![]() |
Il Neoclassicismo,corrente artistica a cavallo tra il XVIII e il XIX secolo che investì gran parte dell'Europa,guardava all'arte dell'antichità classica,specie a quella della Grecia.Il termine fu coniato alla fine dell'Ottocento con intento dispregiativo per indicare un'arte non originale,fredda ed accademica. Tuttavia esso ben comunica il desiderio di ritorno all'antico e la volontà di dar vita ad un nuovo classicismo;un periodo in cui si fecero sentire particolarmente gli effetti degli scavi di Ercolano e di Pompei.
Il movimento Neoclassico ebbe come sede privilegiata Roma,fonte inesauribile di ispirazione classica;massimo teorico fu Johann Joachim Winckelmann che nel 1755 pubblicò a Dresda, i Pensieri sull'imitazione dell'arte greca nella pittura e nella scultura. Giunto a Roma potè concludere la sua opera Storia dell'arte nell'antichità. Egli era della ferma convinzione che la vera grandezza artistica era propria della Grecia e pertanto "l'unica via per divenire grandi e,se possibile ,inimitabili,è l'imitazione degli antichi".
Antonio Canova colui il quale incarna i principi neoclassici di Winckelmann,sia nel disegno sia nella scultura,più di quanto non abbiano fatto i contemporanei dello studioso, nacque vicino Treviso nel 1757. Dedito al lavoro e particolarmente legato a Roma vi morirà nel 1822 lasciando un segno indelebile nella storia della scultura.
Scopo di Canova è il raggiungimento di una bellezza ideale,che i Greci avevano realizzato,cioè quella derivante da un'idea di "bello " che l'artista crea nella sua mente dopo aver constatato l'impossibilità di trovare un corpo perfetto in natura. A tale bellezza si può pervenire attraverso una forte padronanza della tecnica scultorea imitando la scultura classica.
Unico materiale utilizzato dal Canova è il marmo in quanto esso poteva rendere la morbidezza e la flessibilità della carne. Una caratteristica delle opere canoviane è l'utilizzo di una cera rosata o ambrata che rendeva il colore del marmo simile a quello dell'incarnato.
Ormai all'apice della sua fama, gli fu commissionato nel 1813,dalla moglie di Napoleone, Giuseppina di Beauharnais, il gruppo marmoreo delle Grazie. Il tema era particolarmente apprezzato dagli artisti e dai teorici del neoclassicismo per l'evidente riferimento al desiderio di grazia e di compostezza ricercato in quegli anni dall'arte figurativa.
L'abbraccio delle tre dee e la posizione delle gambe creano un effetto di movimento circolare;l'espressione dei volti accentua l'estrema delicatezza che pervade l'opera canoviana. La lavorazione del marmo,su cui si concentrava particolarmente l'artista fino a renderlo quasi traslucido,cioè quasi trasparente,evita gli effetti di chiaroscuro esaltando la levigatezza della superficie e la linearità del disegno compositivo.
Tale opera è la massima espressione degli ideali neoclassici volti a ricercare quegli effetti di grazia e compostezza già raggiunti dagli scultori greci,in nome di una bellezza ideale che doveva essere riformulata.
L'aspirazione a raggiungere un impossibile ideale di perfezione, sta anche alla base delle teorie Hitleriane esplicitate nel <<MEIN KAMPF>>. L'opera fu composta a partire dal 1924 nella fortezza di Londsberg, dove il Furer, trattato come un ospite d'onore,convocò il suo fedele Rudolf Hess per dettargli uno dopo l'altro, i capitoli di un libro. Hitler era volto ad intitolarlo "Quattro anni e mezzo di battaglie contro le menzogne,la stupidità e la codardia" ma il suo editore Max Amann, si oppose alla scelta di un titolo così pesante e così poco commerciale,riducendolo a "La mia battaglia", titolo con cui oggi tutti lo conosciamo.
Sebbene fosse convinto che tutti i grandi movimenti fossero stati plasmati con successo, più dalla forza persuasiva dell'oratoria piuttosto che dalla parola scritta,Hitler aveva un ardente desiderio di crearsi delle credenziali intellettuali nel tentativo di dimostrare che, malgrado la sua mancanza di un'educazione formale, egli fosse un serio pensatore di virtù propria.
Il tono pressante è quello di un'arringa che lascia boccheggianti anche i lettori più determinati, opprimendoli con avvertimenti apocalittici sulle forze oscure che contaminano il sangue ariano,avvelenando la società e distruggendo il mondo.
L'ariano è caratterizzato da carnagione chiara,capelli biondi,alta statura e cranio dolicocefalo:ovvero una conformazione che rende la prevalenza del diametro longitudinale su quello traverso. La sua perfezione non può essere compromessa o contaminata da razze inferiori,in quanto l'incrocio di due esseri di grado diverso dà come risultato una via di mezzo tra i diversi livelli dei due genitori. Ciò significa che la creatura sarà superiore all'elemento inferiore della coppia, ma non sarà mai elevato quanto l'elemento superiore;in questo modo la specie più alta sarà costretta a soccombere.
La mescolanza di sangue e la conseguente diminuzione del livello della razza,è l'unica causa della morte di antiche culture;gli uomini non si distruggono in conseguenza di battaglie perdute,ma soltanto per la perdita di quella forza di resistenza che è peculiare a un sangue puro. Siccome i mediocri sorpassano per numero i migliori a uguali condizioni di procreazione e di possibilità vitali,essi aumenterebbero più rapidamente fin quando il migliore non verrebbe emarginato. Bisogna dunque che intervenga una correzione a vantaggio del migliore: di qui la politica eugenetica teorizzata appunto nel Mein Kampf.
La superiorità dell'ariano non si limita però all'aspetto fisico; fondamentale per tale razza,è la sua capacità di porre ogni propria qualità al servizio della collettività. Questa mentalità che fa indietreggiare l'interesse del proprio io, caratteristica delle creature elementari,è la vera premessa per ogni autentica cultura umana. Di qui l'arte nazional-socialista che si volge in apparenza con un appello appassionato al popolo,ma che in realtà dimostra quanto lo disprezza e se ne faccia beffa. Per ciò che,in particolar modo,concerne l'architettura ci troviamo di fronte a strutture " a-sociali", che non miravano affatto al miglioramento delle abitazioni o delle infrastrutture; i progetti erano al contrario,finalizzati unicamente a conferire alle città nuove, dimensioni estetiche. Erano perciò scevri da ogni vincolo di scopo e di utilizzazione.
Disinteresse che è proprio uno dei caratteri specifici del giudizio estetico Kantiano.
Il bello è l'oggetto di un piacere senza alcun interesse,dunque i giudizi estetici sono caratterizzati dall'essere disinteressati poiché non si curano dell'esistenza o del possesso degli oggetti ma solo della loro immagine. Ma il bello è anche ciò che piace universalmente; il giudizio estetico esige che il sentimento di piacere provocato da una cosa bella venga condiviso da tutti. Si presenta quindi come qualcosa su cui tutti debbono essere d'accordo. Essendo il bello qualcosa che ognuno di noi percepisce intuitivamente,non è spiegabile attraverso regole logiche o mediante concetti. Infatti in tutti i giudizi con i quali dichiariamo bella una cosa,noi non permettiamo a nessuno di essere di altro parere, senza fondare tuttavia il nostro giudizio su concetti ma soltanto sul nostro sentimento. Kant distingue nettamente fra i campo del piacevole, che da luogo ai giudizi estetici empirici i quali sono legati al soggetto e alle inclinazioni individuali e perciò privi di universalità; e il campo del piacere estetico, il quale si concretizza nei giudizi estetici puri scaturenti dalla sola contemplazione dell'oggetto, non soggetti a nulla e quindi universali.
Appurata l'universalità del giudizio estetico, Kant ora si trova di fronte al problema della legittimazione di esso. Egli scioglie questo nodo-chiave della sua estetica sulla base della teoria della comune struttura della mente umana. Kant afferma che il giudizio estetico nasce da uno spontaneo rapporto della fantasia con l'intelletto, in virtù del quale l'immaginazione della cosa appare rispondente alle esigenze dell'intelletto generando un senso di armonia. E poiché tale meccanismo risulta identico in tutti gli uomini, resta spiegato il fenomeno dell'universalità estetica e giustificata la presenza di un senso comune del gusto.
Fondando il giudizio di gusto e la sua universalità,Kant è dunque giunto ad una vera e propria rivoluzione copernicana estetica secondo cui il bello non è una proprietà oggettiva e ontologica delle cose ma il frutto di un rapporto del nostro spirito con esse; cioè qualcosa che nasce solo per la mente e in rapporto ad essa. Il filosofo di Koningsberg è infine forte della concezione che l'educazione alla bellezza non può risiedere in un manuale tecnico sull'argomento, ma soltanto nella ripetuta contemplazione delle cose belle.
Proprio il rapporto con le cose rappresenta una costante della complessa personalità dell'esteta il quale però non si basa sui criteri del giudizio kantiano:ciò che l'esteta vede e sente non è mai fedelmente registrato,ma ricreato, reinventato.Le sue facoltà percettive tendono pertanto a interpretare il mondo adattandolo al proprio essere.
L'esteta vive una vita basata sulla ricerca della bellezza,del sublime e del capolavoro ed è indirizzata verso ogni possibile esperienza estrema intellettuale,morale e fisica. Una ricerca esasperata verso tutto ciò che è bello,superfluo e contrapposto a tutto ciò che è utile,necessario mediocre e che appartiene quindi alla vita di tutti i giorni.
L'estetismo è la chiave di lettura che accomuna i romanzi di tre autori d'eccezione: Oscar Wilde, Karl Huysmans e Gabriele D'Annunzio.
Quest'ultimo
fece sicuramente della sua vita,una tra le opere più importanti: nasce nel
Ne "Il Piacere",il protagonista è Andrea Sperelli,alter ego dell'autore. Per Andrea l'arte è il valore assoluto attraverso cui concepisce la vita stessa. D'Annunzio puntava a creare l'immagine di una vita eccezionale sottratta alle norme del vivere comune e che si identificasse con una vera e propria opera d'arte. Tale accostamento tra arte e vita significava subordinare ogni cosa,anche la morale, a una visione estetica della vita. La raffinatezza,la bellezza,quali doni preziosi e aristocratici,vanno raggiunte ad ogni costo in un processo sociale di innalzamento al di sopra degli altri e in un processo psicologico di affinamento del gusto e delle sensazioni. Andrea è dotato di una sensibilità eccezionale che lo rende particolarmente incline alla bellezza e ai piaceri. Tuttavia questa sensibilità straordinaria comporta anche una sorta di "corruzione" dovuta all'esperienza edonistica della vita. Quello di Andrea è un carattere debole,tale da divenire vittima della propria realtà sociale;nel protagonista tale corruzione è vissuta attraverso un'intima sofferenza dovuta alla distruzione in lui di ogni energia creativa e morale che lo svuota e lo isterilisce. Duplice e ambigua appare dunque questa figura in cui convivono il grandioso,il meschino,il super uomo,l'inetto;e in modo altrettanto duplice D'Annunzio si immedesima e si distacca da essa.
Andrea Sperelli così come Dorian Gray,di O.Wilde, sono eroi decadenti,amorali e privi di valori. Il protagonista inglese,fonte di ispirazione per D'Annunzio,rinuncia a tutto anche alla sua anima, per ottenere ciò che più desidera al mondo: la bellezza fisica e una giovinezza eterna.
E' proprio questo emblema della letteratura inglese decadente a racchiudere al suo interno l'immagine del peccatore di superbia di cui ci mostra un'immagine molto più che eloquente il sommo poeta Dante Alighieri nella sua Divina Commedia; più precisamente nel Canto XI del Purgatorio, in cui Dante ci mostra come parla con spiriti costretti ad espiare il peccato di superbia portando il peso di grandi massi sulle spalle.
Tale canto,che esordisce con la preghiera del "Padre Nostro" prosegue con un atto di carità delle anime nei confronti di coloro i quali corrono ancora il rischio di essere dannati. Mentre Virgilio chiede quale sia la via più breve per giungere alla seconda cornice, si fa avanti l'anima di Omberto Aldonbrandeschi (superbia nobiliare), il quale confessa che l'arroganza ispiratagli dalla propria famiglia, lo spinse a tale altezzoso disprezzo degli altri da essere ucciso. Mentre accade ciò, l'anima di Oderisi da Gubbio(superbia artistica) tenta di attirare l'attenzione e confessa di non aver riconosciuto la grandezza artistica di un altro miniatore e per questo peccò di superbia anche lui.
In questi versi che prendo ora in esame è espressa la superbia nobiliare di Omberto Aldonbrandeschi, che si rivolge a Dante e Virgilio :
.[.].fu detto: «A man destra per la riva
con noi venite, e troverete il passo
possibile a salir persona viva.
E s'io non fossi impedito dal sasso
che la cervice mia superba doma,
onde portar convienmi il viso basso,
cotesti, ch'ancor vive e non si noma
guardere' io, per veder s'i' 'l conosco,
e per farlo pietoso a questa soma.
Io fui latino e nato d'un gran Tosco:
Guiglielmo Aldobrandesco fu mio padre;
non so se 'l nome suo già mai fu vosco.
L'antico
sangue e l'opere leggiadre
d'i miei maggior mi fer sì arrogante,
che, non pensando a la comune madre,
ogn'uomo ebbi in despetto tanto avante,
ch'io ne mori', come i Sanesi sanno
e sallo in Campagnatico ogne fante.
Io
sono Omberto; e non pur a me danno
superbia fa, ché tutti miei consorti
ha ella tratti seco nel malanno.
E qui
convien ch'io questo peso porti
per lei, tanto che a Dio si sodisfaccia,
poi ch'io nol fe' tra' vivi, qui tra'
morti».
Oscar Wilde, was born in Dublin in 1854.He settled in London, after graduated at Oxford, and soon became a fashionable figure both for his wit and his way of dressing. In 1891 he met Lord Alfred Douglas with whom Wilde dared to have an homosexual affair and after that he was sent to prison. Here he wrote "de profundis", a letter to L. A. Douglas and when he was released he felt a broken man. He died in Paris in 1900.
He adopted the aesthetic ideal in fact he said: "My life is like a work of Art". The Wildean dandy is a symbol of the superiority of his spirit. Life was meant for pleasure and Wilde's interests were beautiful clothes, good conversation and so on.The concept of "Art for Art's Sake" was a moral imperative in fact he believed that only the art, as the cult of beauty could prevent the murder of the soul.
In "the picture of Dorian Gray" we are in the point of view of the protagonist, Dorian, and all the other characters reveal themselves through what they say or what other people say of them. Dorian, the typical dandy, believes youth is sinonimous with beauty and happiness. This story is allegorical: it's a new version of the myth of Faust; the story of a man who sells his soul to the devil only for realising his desires. This soul is the picture of Dorian, which records the signs of experience and of corruption concealed under the timeless beauty of him. The picture is the dark side of Dorian.
The moral of this story, is that every excess must be punished and that the art survives people, art is eternal.
Nel secondo Ottocento,la fortuna di Petronio fu vasta negli ambienti decadenti.E ' infatti a lui che guarda proprio Oscar Wilde, tanto quanto il celebre scrittore Karl Huysmans già citato precedentemente. Des Eissentes,il protagonista maniacale e raffinato di " A ritroso " esalta il Satyricon petroniano in contrasto con i tradizionali maestri della classicità. La tematica della fine di un mondo e di " una società decrepita,un impero che si va sfasciando " descritto attraverso l ' ideale estetizzante di una lingua d'orafo,era ciò che più attraeva Des Eissentes e che lo legava a Petronio. Egli lo riteneva un " acuto osservatore " in grado di descrivere ogni angolo della civiltà romana,sempre senza partito preso; senza alcun intervento da parte sua che approvi o maledica gli atti e i pensieri dei suoi personaggi; dipinge in una lingua d'orafo i vizi di una civiltà la cui fine è ormai prossima.
Ben poco si consce della vita di tale autore latino.L'attribuzione del Satyricon a Petronio fu criticata da molti ed infatti sono due le tesi contrastanti: quella unionista e quella separatista. Nonostante ciò, molti furono certi di poterlo attribuire all'elegantiae arbiter di cui parla Tacito in un passo degli Annales: così fu infatti definito Petronio. La sua opera fu vittima di molte mutilazioni per cause morali;ma si suppone lo stesso che fosse un ' opera molto vasta. Anche in questa opera si denota una forte amoralità nelle azioni dei protagonisti;in primis se si pensa all' amore omosessuale intorno a cui ruota tutta l'opera. Essa,definita anche un ' odissea comica,tratta argomenti opposti a quelli che venivano presentati nel mondo greco (un esempio può essere il passaggio da un amore idealizzato ad uno esclusivamente materiale). La mancanza di un personaggio con una visione globale dei fatti e l ' oggettività della narrazione, dalla quale si tiene sempre lontano, non giudicando né esprimendo opinioni,conferiscono a dare l'impressione al lettore di trovarsi di fronte ad una rappresentazione obiettiva della realtà.
Come Des Eissentes,così anche Dorian Gray guarda a Petronio come un modello di vita gaudente ed estetizzante:
<< .Lo imitavano in tutto
quello che faceva e si sforzavano di riprodurre il fascino casuale delle sue
graziose frivolezze,che egli,peraltro,non prendeva interamente sul serio.
Giacchè, quantunque fosse fin troppo disposto ad accettare la posizione che gi
era stata offerta [.] e provasse anzi un piacere sottile all'idea di poter
diventare per
[O.Wilde, " il ritratto di Dorian Gray " ]
[-°-°-°-°-°-]
<<.Ebbe disgusto della propria bellezza e, gettando in terra lo specchio, lo schiacciò col tallone fino a ridurlo in un mucchio di schegge d'argento.>>
[O.Wilde, "il ritratto di Dorian Gray"]
Così si presenta la scena finale del libro di Oscar Wilde, seguita dalla morte del protagonista.
E' molto forte la scena in cui Dorian che arriva a rifiutare la sua immagine riflessa nello specchio dopo aver tanto combattuto per rimanere giovane e bello in eterno.
Lo specchio riflette la nostra immagine e per Dorian fu la rivelazione: era la bellezza che lo aveva rovinato.
Ma in che modo i raggi di luce si riflettono sugli specchi?
Per spiegare questo bisogna ricorrere al principio di Fermat, matematico francese che nel 1657 fu il primo a dimostrare in modo analitico, e non per via sperimentale, le leggi di Snellius-Cartesio sulla riflessione e la rifrazione dei raggi secondo cui quando un raggio luminoso o sonoro, proveniente da punto A, si riflette sopra uno specchio e arriva in un punto B segue il più breve percorso possibile nello spazio. Questa definizione fu in seguito generalizzata dallo stesso Fermat in questo modo:
OGNI QUALVOLTA UN RAGGIO LUMINOSO SI SPOSTA DA UN PUNTO A UN ALTRO SEGUE IL PERCORSO PER IL QUALE IMPIEGA IL TEMPO MINIMO.
Mi appresto ora a dimostrare il fenomeno della riflessione per mezzo del suddetto principio.
Il raggio incidente, il raggio riflesso e la perpendicolare alla superficie riflettente nel punto di incidenza, giacciono in uno stesso piano.
Considero una sorgente S ed un punto P posti nello stesso mezzo di propagazione dove la velocità dei raggi è v.

Suppongo che il raggio uscente da A, raggiunga il punto B dopo essersi riflesso nel punto P del piano S. Sia inoltre π il piano passante per A e B e perpendicolare ad S; sia PI il segmento perpendicolare a π condotto da I. Qualunque sia P ≠ I, il cammino AP+PB > AI+IB poiché AP>AI e PB>IB. Pertanto per il principio di Fermat, il cammino reale seguito dal raggio in esame è AI+IB. Ne segue che il raggio incidente e quello riflesso giacciono sul piano π che naturalmente comprende anche la normale alla superficie riflettente (S) nel punto di incidenza I.
L'angolo che il raggio riflesso forma con la suddetta perpendicolare,detto angolo di riflessione, è uguale a quello che il raggio incidente forma con la stessa perpendicolare.
Considero la
seguente figura: 
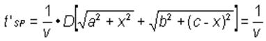
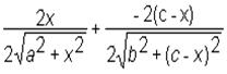
Bisognerà ora calcolare la funzione del tempo t impiegato per andare da S a P e poi trovare la funzione per cui risulta il valore minimo di t.
Pongo AC = x AB = c AS = a PB = b SĈA = PĈB =
Considerando inoltre la velocità v costante; avrò quindi:
Derivando tale funzione avrò:

![]()

![]()

Uguagliando a zero trovo che cos α = cos β cioè α = β
Ne deduco infine che il cammino minimo di tempo è quello per cui gli angoli di incidenza e riflessione, i e r, sono uguali. Questi tipi di esperimenti, oggigiorno vengono effettuati con varie fonti di luce, anche elettriche. Ma la vera fonte primaria di cui disponiamo,e attraverso la quale è anche possibile attuare questo tipo di esperimento è la luce naturale: la luce del Sole.
La stella Sole è una sfera
gigantesca con raggio medio di circa
n l'interno del Sole: il nucleo,vera fonte di energia, ha al suo interno l'elio che aumenta sempre di più a spese dell'idrogeno. Tale energia prodotta interessa l'involucro gassoso circostante,chiamato zona radioattiva in cui gli atomi dei gas assorbono e emettono energia. Successivamente i gas divengono meno stabili trasportando energia per convenzione nell'involucro più esterno detto zona convettiva che è osservabile in quanto forma la superficie.
n Dopo un lungo viaggio le particelle prodotte dal nucleo raggiungono la superficie divenendo visibili come fotosfera. Essa è l'involucro del Sole la cui temperatura media è di circa 5.512°C.Tale fotosfera non ha la superficie liscia bensì presenta dei granuli brillanti che durano pochi minuti e che rendono la superficie solare in continua ebollizione. Tale superficie brillante è costituita da macchie che presentano una zona di ombra e una di penombra.
n La fotosfera è a sua volta avvolta da un involucro trasparente di gas,chiamato cromosfera. Essa è visibile solo nel momento dell'eclissi totale del Sole come un sottile alone rosso sfrangiato in punte rosse dette spicole. Tale cromosfera è un involucro di transizione tra la fotosfera e la corona;quest'ultima è la parte più esterna formata da atomi ionizzati sempre più rarefatti man mano che ci si allontana da essa.
L'attività solare,oltre alla continua produzione di energia proveniente dal nucleo e al flusso di particelle che si diffondono come vento solare,presenta altri aspetti importanti
n le protuberanze: esse sono delle nubi enormi di idrogeno che innalzandosi dalla cromosfera,penetrano nella corona ottenendo la forma di immense fiammate molto più calde della cromosfera ma "fredde" rispetto alla corona solare entro cui si spingono.
n I brillamenti (o flares) sono delle violente esplosioni di energia ,veri lampi di luce associati a scariche elettriche:essi compaiono di tanto in tanto in prossimità delle macchie e nel giro di pochi minuti si estinguono. Durante queste esplosioni vengono liberate enormi quantità di energia con un'ampia gamma di radiazioni.
De Rerum Natura
Il poema della natura si apre con l'inno a Venere solennemente invocata come principio del piacere(voluptas).Esso ha creato non pochi problemi: è sembrato infatti strano, che un poema didascalico il quale si proponeva di far conoscere la dottrina di Epicuro, iniziasse con l'inno ad una divinità olimpica quando sia Epicuro, tanto quanto lo stesso Lucrezio, combattevano aspramente le divinità tradizionali. La soluzione è stata da sempre proposta sull'interpretazione allegorica di Venere che non sarebbe solo la dea olimpica, ma il simbolo della voluptas che per Epicuro rappresentava il sommo bene.
E' a questa Venere che Lucrezio si rivolge, secondo la consuetudine dei proemi, pregandola di assisterlo nella composizione del poema.
Nessuna scelta poteva essere più appropriata: dal momento che il poema doveva trattare della 'natura', solo Venere poteva rappresentare così perfettamente la vitalità del mondo naturale. Ed infine, se la poesia è come un dolce miele versato sull'amara medicina della filosofia, Venere è ancora una volta la divinità più idonea ad assistere il poeta. 'Lepos ' è quindi la parola-chiave (vv.15 e 28) di questo proemio con cui l'autore vuole avvincere i suoi lettori, persuadendoli a seguire il cammino che egli ha tracciato,complice la bellezza dei suoi versi.
Quae quoniam rerum naturam sola gubernas
nec sine te quicquam dias in luminis oras
exoritur neque fit laetum neque amabile quicquam,
te sociam studeo scribendis versibus esse
quos ego de rerum natura pangere conor
Memmiadae nostro, quem tu, dea, tempore in omni
omnibus ornatum voluisti excellere rebus.
Quo magis aeternum da dictis, diva leporem.
Poichè tu solamente governi la natura delle cose,
e nulla senza di te può sorgere alle divine regioni della luce,
nulla senza te prodursi di lieto e di amabile,
desidero di averti compagna nello scrivere i versi
che intendo comporre sulla natura di tutte le cose,
per la prole di Memmio diletta, che sempre tu, o dea,
volesti eccellesse di tutti i pregi adornata.
Tanto più concedi, o dea, eterna grazia ai miei detti.
![]() |
| Appunti su: https:wwwappuntimaniacomsuperioriarte-culturala-perfezione-estetica85php, |
|
| Appunti Film foto | ![]() |
| Tesine Musica | ![]() |
| Lezioni Pittura disegno | ![]() |