![]() |
|
| Appunti scientifiche |
|
| Visite: 2336 | Gradito: |
Leggi anche appunti:L'impatto delle geometrie non-euclidee nella storia del pensiero matematicoL'impatto delle geometrie non-euclidee nella storia del pensiero matematico 1. INTRODUZIONE La L'esperimento di gaussL'ESPERIMENTO di Gauss Dopo aver considerato attentamente questo problema, Equazioni di secondo gradoEquazioni di secondo grado Formula Ricordando che un'equazione di secondo |
![]() |
![]() |
Introduzione e obiettivi
L'esposizione del modello previsionale della Lobesia Botrana, come argomento di questa tesina, è stata scelta con determinati obiettivi.
La problematica dell'inquinamento del suolo, con tutti gli aspetti negativi correlati, è riscontrabile anche nei terreni agricoli adibiti alla coltivazione di colture erbacee e di specie arboree da frutto. Il motivo è soprattutto l'uso indiscriminato di sostanze chimiche utilizzate nella lotta contro i patogeni e nella difesa dalle malattie.
Di conseguenza, per limitare sia le elevate spese di distribuzione dei prodotti, sia il negativo impatto ambientale, bisogna impostare opportuni e corretti programmi di difesa, suddivisibili in 4 tipologie:
Utilizzo di varietà resistenti o tolleranti alle malattie e/o utilizzo di anticrittogamici ammessi nei regolamenti della Comunità Europea
Valutazioni previsionali empiriche - Queste valutazioni sono relative ai patogeni e si concentrano sull'influenza che l'andamento climatico esercita sull'evoluzione della maggior parte delle malattie (come moniliosi o botrite). Sono molto utili per la razionalizzazione dei trattamenti con il conseguente risparmio nell'acquisto dei prodotti;
Accertamento dei sintomi delle malattie - Questa strategia è significativamente importante per la riduzione dei trattamenti cautelativi. Lo sviluppo di tale strategia è condizionato, però, dalla disponibilità di anticrittogamici endoterapici e dalle soglie di intervento che consentono un'ulteriore ottimizzazione dei programmi di difesa;
Modelli previsionali - Sono strategie che si basano su considerazioni e calcoli impostati soprattutto sull'analisi combinata della sensibilità fenologica (stadio fenologico del patogeno) e degli eventi meteo - climatici necessari per la manifestazione dell'infezione o il successivo sviluppo. I modelli previsionali utilizzabili sono di diverso tipo, alcuni in grado di stimare il livello di rischio e altri il momento ottimale per l'esecuzione del trattamento di lotta. Alcuni esempi sono le "Tabelle di Mills" per la ticchiolatura del melo e la "Regola dei Tre Dieci" per la peronospora della vite.
Come si capisce dagli ultimi tre programmi di difesa, lo scopo principale è l'individuazione del momento più opportuno per eseguire un trattamento o un campionamento in campo. Inoltre un sistema di previsione e avvertimento sullo sviluppo dell'infezione da parte dei parassiti orienta la difesa fitosanitaria nelle fasi in cui i parassiti sono più vulnerabili e aumenta complessivamente il numero delle aziende servite dai programmi regionali di assistenza tecnica per la produzione integrata, senza aumentare eccessivamente il numero dei tecnici impegnati e mantenendo alta e adeguata la qualità dei consigli forniti.
In special modo, i Modelli Previsionali, basati su argomenti di Matematica, simulano l'evoluzione di una popolazione di insetti indipendentemente dal numero di individui presenti in campo.
Questo individua giorno per giorno la proporzione di individui nei diversi stadi fenologici e la previsione della loro evoluzione nel tempo, in relazione a dati meteorologici previsti. Tali informazioni permettono di individuare il momento migliore per eseguire un trattamento.
Al contrario, per sapere se l'infestazione già in atto ha raggiunto livelli tali da rendere indispensabile l'intervento, occorre fare riferimento alle trappole a feromoni o ad altri tipi di campionamento.
In pratica per impostare la difesa dal fitofago è necessario:
verificare attraverso rilievi aziendali il superamento della soglia d'intervento;
eseguire la simulazione del modello sulla base dei dati di temperatura della zona interessata;
considerare i risultati della simulazione e in particolare la presenza (espressa in percentuale) dello stadio sensibile al trattamento;
valutare il prodotto che si intende utilizzare in base al meccanismo d'azione, al grado di efficacia e al tempo di carenza.
Nei successivi paragrafi, verranno esposte le considerazioni sui Modelli Previsionali, con riferimento specifico al modello utilizzato per la Lobesia Botrana. Questa scelta è stata effettuata perché questo lepidottero fitofago della vite, se non controllato, può causare notevoli danni alla produzione enologica, compromettendo anche notevolmente gli introiti delle aziende viticole.
Identificazione
Classe: Insetti
Ordine: Lepidotteri
Famiglia: Tortricidi
Specie: Lobesia Botrana
La Tignoletta della vite è un insetto diffuso in tutta Italia ma soprattutto nelle regioni centro- meridionali più calde; è tra gli insetti più pericolosi che attaccano la vite. Le piante ospiti sono diverse specie e varietà di vite, ribes ed altre piante spontanee marginali ai vigneti.
La farfalla, le cui dimensioni sono circa 10-12 mm di apertura alare, è di colore grigio variegato di giallo- brunastro e di azzurro: la livrea quindi è intensamente marmorizzata.
Le larve (9-10 mm di lunghezza) alle prime età sono color ocra- nocciola con il capo scuro, poi il corpo diviene più scuro verde- brunastro e il capo diviene più chiaro.
Il primo volo degli adulti di Lobesia Botrana inizia ai primi di aprile e si protrae per circa 45 giorni. La massima presenza di adulti (picco) si osserva tra aprile e maggio.
I fattori climatici sono molto importanti sul controllo delle popolazioni di Lobesia, infatti le alte temperature estive e i bassi valori di umidità dell'aria possono ridurre notevolmente le infestazioni. Le popolazioni di Tignoletta risultano più abbondanti nei vigneti allevati a tendone rispetto a quelli allevati a spalliera e ad alberello, proprio a causa della più elevata umidità e relativamente più bassa temperatura.
Gli adulti volano al crepuscolo e sono favoriti da temperature superiori ai 15°C, con un ottimo fissato a 25°.
Alla temperatura di 15°C, quasi sempre dopo il tramonto, possono avvenire accoppiamenti e circa 24 ore dopo la fecondazione avvengono le ovideposizioni.
La durata degli stadi fenologici della Lobesia Botrana dipende notevolmente dalla temperatura ed è massima a 14°C: 20 giorni per lo sviluppo delle uova, 60 per le larve e 70 per le crisalidi. La durata di sviluppo ottimale alla temperatura di 25°C dello stadio embrionale si riduce a 4,5-5 giorni, per lo sviluppo larvale è di circa 18 giorni, mentre per le crisalidi è di 7-8 giorni. Al di sotto di 14°C lo sviluppo si ferma, mentre la mortalità è crescente a valori superiori ai 25°C e particolarmente elevata oltre i 35°C sino a divenire totale nel volgere di poco tempo a questi valori di temperatura. La sopravvivenza diminuisce rapidamente per valori decrescenti al di sotto di 14°C sino a divenire totale attorno ai 10°C. Infatti, la mortalità, in termini di percentuale, è massima a temperature inferiori ai 10°C o superiori ai 35°C per qualsiasi stadio fenologico.
Il danno è determinato dall'attività trofica dello stadio larvale.
Le larve della prima generazione attaccano i grappolini fiorali (generazione antofaga), si nutrono dei singoli bottoni fiorali, distruggendoli e costruendo anche dei nidi sericei, visibili nella parte interna del grappolo; questa generazione non è molto dannosa sia perché il danno ai singoli fiori è sopportabile (per alcune varietà a grappolo serrato potrebbe anche essere un vantaggio), sia perché l'attacco generalmente non è mai massiccio. I danni ai bottoni fiorali, generalmente non sono particolarmente gravi grazie alla capacità del grappolo di compensarli con una maggiore allegagione.
Le larve della seconda generazione sono più pericolose perché si nutrono degli acini (generazione carpofaga) entrandovi, svuotandoli e dissecandoli. Attaccano gli acini a partire da giugno- luglio, quando sono ancora acerbi o appena allegati, e possono causare sia perdite in peso sia danni qualitativi dovuti alla diffusione di marciumi. L'attacco è evidente in quanto gli acini avvizziscono ed imbruniscono; si notano i fori di entrata o di uscita ed eventualmente anche le larve che si riparano in ricoveri sericei biancastri, più o meno lassi, costruiti all'interno del grappolo. In alcune regioni settentrionali si hanno solo 2 generazioni, ma nella maggior parte dei casi la Lobesia compie anche una terza generazione; anche queste larve attaccano gli acini.
In questi casi la generazione avviene a fine estate, a partire da circa metà agosto ed è ancora attiva in vendemmia, quando gli acini sono in fase di maturazione, e si presenta ancora più pericolosa per le complicanze di natura fungina (Botrite e Marciume acido) che si possono instaurare sulle ferite provocate dalle larve.
La Tignoletta della vite supera l'inverno allo stadio di pupa o di crisalide in un piccolo bozzoletto biancastro tra gli anfratti della corteccia della vite, degli eventuali tutori e alla base delle piante.
I primi adulti compaiono da aprile a maggio; immediatamente si ha l'accoppiamento e le femmine ovidepongono sui grappolini fiorali.
Dalle uova nasceranno le larve della prima generazione (larve antofaghe); la loro attività dura circa 3 settimane, quindi si incrisalidano nel grappolo originando, all'inizio dell'estate (metà giugno- luglio), gli adulti di secondo volo che ovidepongono sugli acini ben formati, dando origine alle larve di seconda generazione (larve carpofaghe).
Queste, dopo la loro attività sugli acini, possono originare le crisalidi svernanti (in alcune regioni settentrionali) o più frequentemente produrre una terza generazione. In questo ultimo caso lo sfarfallamento degli adulti si avrà da agosto fino a tutto settembre, a seconda degli ambienti.
La Tignoletta compie, quindi, 2-3 generazioni all'anno.
Lotta
Nell'ambito dei Disciplinari di produzione integrata l'esecuzione dei trattamenti per Lobesia Botrana è giustificata dal superamento delle soglie di intervento:
presenza di uova o fori di penetrazione in vigneti solitamente infestati;
5% di grappoli infestati in vigneti non solitamente infestati (seconda generazione);
5% di grappoli infestati (terza generazione).
La strategia più efficace per la lotta alla Tignoletta è quella diretta contro la seconda generazione. Una corretta impostazione degli interventi contro tale generazione, in situazioni di normale pressione del fitofago, può essere risolutiva.
I prodotti fitosanitari ammessi dal Disciplinare sono Bacillus thuringiensis, Tebufenozide, Flufenoxuron (al massimo 2 interventi all'anno), Indoxacarb e Lufenuron. Con i prodotti di sintesi sono ammessi al massimo 2 interventi all'anno. Flufenoxuron, essendo un prodotto ad azione ovo- larvicida, può essere utilizzato con una maggiore elasticità anche se il posizionamento ottimale sembra essere quello ad inizio ovideposizione.
Il momento preciso per il trattamento viene indicato dai Bollettini tecnici provinciali anche sulla base delle informazioni fornite dal modello MRV- Lobesia.
La Lobesia Botrana viene efficacemente controllata anche dal ricco complesso dei nemici naturali, comprendenti alcuni Imenotteri Calcididi e Icneumonidi, funghi del genere Beauveria e Metharrizium, batteri e virus.
Maggiori informazioni sui prodotti utilizzati nella lotta
B. THURINGIENSIS AIZAWI; Batterio sporulante che agisce soltanto per ingestione e non ha attività sulle uova e sugli adulti dei fitofagi. Provoca l'immediata paralisi dell'intestino delle larve, quindi l'impossibilità per esse di nutrirsi. Ciò si traduce in un immediato arresto del danno alle piante. La morte sopraggiunge dal giorno successivo al trattamento ed entro 7 giorni dal trattamento stesso, a seconda della specie. È particolarmente adatto ai programmi di lotta integrata: grazie alla sua assoluta specificità è innocuo per i mammiferi e gli altri animali, per i predatori ed i nemici naturali degli insetti nocivi, nonché per le api e gli altri impollinatori. Non lascia nessun residuo ed è applicabile fino in prossimità della raccolta. Azione svolta: Insetticida
B. THURINGIENSIS KURSTAKI; Batterio aerobio, sporigeno. Ha la forma di un piccolo bastoncino, il quale, nel corso della fase di sporulazione, produce dei cristalli proteici (protossine) che manifestano un'attività insetticida solo dopo essere state ingerite dalle larve degli insetti sensibili. Pertanto è attivo sulle larve e non danneggia le uova e gli adulti. Presenta un potere entomo- patogeno nei confronti di molte specie di lepidotteri. La sua azione si verifica dopo l'assunzione da parte della preda: al suo interno si dissolve in componenti tossici e provoca la morte per paralisi del tratto digerente. I prodotti tossici vengono attivati dal pH elevato (> 9) presente nell'apparato digerente dei lepidotteri e la sua efficacia sulle diverse specie varia in relazione al loro pH intestinale. La morte della preda avviene generalmente entro 3-5 giorni. Non è fitotossico e non pregiudica la vita dei predatori e dei parassiti naturali degli insetti dannosi. Inoltre non dimostra alcuna tossicità per l'uomo e gli animali a sangue caldo.
Btk - Ceppo EG 2348 e Ceppo EG 2371; sono insetticidi biologici attivi per ingestione, specifici per le larve di lepidotteri. Devono essere distribuiti precocemente, su larve giovani, in piena attività di nutrizione, effettuando una bagnatura omogenea. Le larve che ingeriscono il prodotto, entro poche ore cessano di alimentarsi e nel giro di qualche giorno muoiono. Le larve morenti si muovono adagio, scoloriscono, si accartocciano, anneriscono prima di morire. Viene impiegato nella fase di schiusura delle uova e su larve giovani (prima età), ripetendo il trattamento dopo 7-10 giorni in caso di infestazione prolungata. Azione svolta: Insetticida
Btk - Ceppo SA 11; è un insetticida biologico attivo per ingestione, sugli stadi larvali dei lepidotteri più importanti per l'economia agricola e forestale. Le larve giovani sono più sensibili di quelle mature, sia perché si alimentano con più voracità, sia per le ridotte dimensioni del corpo che rende sufficiente una dose più bassa. È pertanto opportuno intervenire sulle larve neonate o nei primi stati di sviluppo e prima che esse penetrino nei frutti. Azione svolta: Insetticida
Btk - Ceppo SA 12 è un insetticida biologico attivo per ingestione, sugli stadi larvali di diversi lepidotteri con particolare riferimento a tignole, ricamatori e larve carpofaghe. Azione svolta: Insetticida
Btk - Ceppo Z 52 è un insetticida biologico attivo per ingestione sugli stadi larvali di numerosi lepidotteri infestanti colture arboree, erbacee, orticole, ecc. Azione svolta: Insetticida
TEBUFENOZIDE; Insetticida larvicida selettivo per la lotta contro le larve di lepidotteri che agisce per ingestione e, secondariamente, per contatto. Può essere considerato il capostipite dei prodotti MAC (Moulting Accelerating Compounds), composti che simulano una particolare sostanza (ecdisone) presente negli insetti e preposta a regolare i processi di muta. Una volta ingerito dall'insetto, ne inibisce il corretto procedere della metamorfosi (inducendo una muta prematura e letale). Manifesta inizialmente un'azione antifeeding (entro poche ore dall'ingestione) mentre la morte dell'insetto avviene entro 2-4 giorni. Azione svolta: Insetticida
FLUFENOXURON; Insetticida, acaricida chitino inibitore che agisce per ingestione (prevalentemente) e per contatto sui primi stadi larvali di insetti e acari; nei confronti di alcuni insetti esplica anche un'attività ovicida. Il prodotto ha una distribuzione translaminare e questo favorisce l'assunzione per ingestione da parte delle larve di lepidotteri. L'azione di contatto si esplica in particolare nei confronti delle uova (queste devono essere deposte da meno di 3 giorni, in modo che il guscio sia ancora permeabile). Manifesta anche un'azione sterilizzante ed antifeeding (disappetente). Azione svolta: Insetticida
INDOXACARB; Insetticida appartenente alla classe delle ossadiazine, specifico per la lotta ai più comuni lepidotteri infestanti alcune colture e per la lotta alle cicaline. Azione svolta: Insetticida
LUFENURON; Insetticida appartenente alla famiglia chimica delle benzoiluree. Esplica la sua azione inibendo la sintesi della chitina; il suo meccanismo di azione è quindi specifico per gli insetti. Agisce sugli stadi immaturi degli insetti (come larve e ninfe) che producono chitina, mentre non è attivo sulle forme adulte. Nei confronti di alcuni specie (in particolare di: Cidia, Tignola e Tignoletta dell'uva) svolge anche un'azione di tipo larvicida- ovicida. Agisce principalmente per ingestione e non possiede attività sistemica. In relazione al meccanismo di azione, il momento ideale per la sua applicazione è dall'inizio al picco dell'ovideposizione (individuato mediante l'impiego di trappole). Risulta selettivo per acari predatori e per gli insetti parassitoidi. Azione svolta: Insetticida
BEAUVERIA BASSIANA; È un bioinsetticida a base di spore vitali del fungo Beauveria bassiana. Si tratta di un ceppo presente in natura e non manipolato geneticamente. Agisce per contatto. I conidi aderiscono alla cuticola degli insetti e degli acari, germinano e penetrano diffondendo il micete all'interno dell'ospite. La morte è dovuta all'azione meccanica di penetrazione del micelio e conseguente perdita di acqua e nutrimenti combinata alla secrezione di enzimi idrolitici. Azione svolta: Insetticida, Acaricida
Generalità dei modelli previsionali
Per prima cosa, bisogna specificare che gli insetti sono animali 'eterotermi' o "pecilotermi" o a 'sangue freddo', e mantengono quindi all'interno del proprio corpo una temperatura simile a quella dell'ambiente circostante. Questo significa che essi risentono fortemente delle variazioni termiche ambientali che condizionano il loro sviluppo, rallentandolo o accelerandolo. Tale caratteristica è presente anche nelle piante e ciò determina uno stretto legame tra sviluppo dell'ospite e del fitofago. Lo sviluppo avviene in un intervallo di temperature favorevoli, limitate da una soglia termica inferiore e da una superiore, al di sotto ed al di sopra delle quali si ha l'arresto dello sviluppo. Allontanandosi ulteriormente dall'intervallo termico favorevole allo sviluppo si incontrano le soglie termiche letali, al di sopra ed al di sotto delle quali è impossibile la sopravvivenza degli individui. Per la maggior parte dei fitofagi che attaccano le colture, temperature inferiori ai 10 °C bloccano lo sviluppo; temperature superiori fanno procedere lo sviluppo sempre più rapidamente per poi rallentare intorno ai 30 °C, fino a bloccarlo nuovamente in corrispondenza della temperatura letale. Questa risposta varia da stadio a stadio (uovo, larva, pupa e adulto) e da specie a specie e può essere determinata con precisione attraverso indagini in laboratorio.
Uno dei punti più importanti è sapere che i modelli previsionali si basano sulla popolazione del fitofago presente.
![]()
Una popolazione è un insieme di individui appartenenti ad una singola
specie che effettuano la loro attività in un determinato luogo e che sono tra
loro legati sia in termini riproduttivi che in termini funzionali. Le
popolazioni di insetti sono caratterizzate da una struttura demografica in
stadi di sviluppo, pertanto la loro evoluzione deve essere descritta in termini
di variazione della densità relativa ad ogni stadio di sviluppo. Le popolazioni
sono soggette a variazioni dell'abbondanza del numero di individui dovute a
fenomeni di natura demografica (natalità e mortalità) e a fenomeni migratori
(immigrazione ed emigrazione). La variazione del numero di individui di una
popolazione si esplica, in termini matematici, dalla seguente relazione:
dove: n(t) è il numero di individui al tempo t; b(t) è il tasso di natalità; m(t) è il tasso di mortalità; i(t) è il tasso di immigrazione; e(t) è il tasso di emigrazione e Dt rappresenta l'intervallo temporale.
Sapendo però che il ciclo del fitofago si basa su diversi stadi fisiologici (uovo, larva, crisalide, adulto), è utile esplicitare le singole popolazioni nei diversi stadi.
![]()
La variazione nel tempo della struttura demografica di una popolazione
dipende dalla variazione del numero di individui presenti in ciascuno stadio
del suo ciclo di vita. La variazione del numero di individui in un generico
stadio s al tempo t è data dagli individui che si
sviluppano provenienti dallo stadio precedente meno quelli che, a causa dello
sviluppo, escono dallo stadio in questione, sommati agli individui che muoiono.
In termini matematici, senza tenere presente la variazione dovuta a fenomeni
migratori, il fenomeno è descritto dalla relazione:
dove: ns(t) è il numero degli individui dello stadio s al tempo t; t è l'intervallo temporale; rs-1(t) è il tasso di reclutamento allo stadio s degli individui dallo stadio s-1 al tempo t; rs(t) è il tasso di sviluppo degli individui dello stadio s al tempo t e ms(t) è il tasso di mortalità dello stadio s.
Per fare la stima quantitativa di una popolazione di insetti si devono conoscere tutte le principali cause di mortalità: l'influenza delle condizioni climatiche avverse, l'attività dei nemici naturali, le malattie (virus, protozoi ecc.), le migrazioni degli insetti dagli ambienti circostanti e soprattutto i trattamenti fitosanitari.
Per una corretta analisi della dinamica di popolazione di specie singole è inoltre necessario considerare la diversità genetica esistente tra gli individui, che è una delle componenti all'origine della variabilità biologica. Tale diversità risulta evidente quando individui in uguali condizioni ambientali manifestano una diversa risposta fisiologica e comportamentale. La variabilità genetica interviene influenzando tutti i processi biologici che sono implicati nello sviluppo della popolazione, andando in definitiva a modificare:
- la natalità: il numero di uova che ciascuna femmina depone nel corso del periodo riproduttivo;
- la mortalità: la differente probabilità di morte di ciascun individuo dovuta sia ad avversità biotiche che abiotiche;
- il tasso di sviluppo: la diversa velocità di accrescimento di ciascun individuo;
- i tassi di emigrazione e di immigrazione.
I modelli previsionali impiegati nella difesa fitosanitaria dagli insetti dannosi sono quelli di tipo "fenologico": essi hanno lo scopo di simulare, sulla base della temperatura, i tempi di raggiungimento di un certo stadio dello sviluppo.
La crescita degli insetti è un meccanismo risultante dall'interazione di fattori interni, come l'alimentazione e la variabilità genetica, e di fattori esterni come l'umidità, le radiazioni luminose e la temperatura. Nella maggior parte dei modelli fenologici del settore entomologico viene considerata quasi esclusivamente la temperatura come fattore predominante per la crescita.
Una volta elaborato, il modello fenologico è in grado di fare previsioni, per zone climatiche omogenee, sull'andamento dei diversi stadi dell'insetto ed indicare il momento migliore per intervenire. Il modello fenologico non è però in grado di indicare se, nella singola realtà aziendale, la densità dell'insetto è tale da rendere necessario un intervento.
Inoltre l'utilizzo di modelli previsionali sullo sviluppo dei parassiti delle piante, oltre ad essere in grado di prevedere correttamente il loro sviluppo, deve potersi integrare in modo sinergico con le attività di assistenza alle aziende agricole.
Si è passati da un'assistenza tecnica "diretta", cioè un'assistenza molto accurata su poche aziende, ad una assistenza tecnica di tipo "indiretto", con una presenza meno intensa dei tecnici nelle singole aziende ma con il continuo supporto, garantendo un'ottimizzazione dei servizi alle singole aziende.
Il funzionamento di tale assistenza si basa sull'esistenza di due elementi fondamentali:
un servizio meteorologico efficiente e una relativa rete informatica per la conseguente diffusione dei dati;
un pacchetto di modelli previsionali aggiornati e periodicamente validati attraverso una rete di monitoraggio presente sul territorio.
L'efficienza dei modelli previsionali dipende da molte fasi:
disponibilità di un algoritmo matematico di base (motore);
raccolta dei dati epidemiologici rilevati sia in campo che in ambiente controllato in relazione a differenti situazioni meteorologiche;
definizione del modello previsionale;
validazione di campo del modello previsionale;
periodiche verifiche ed eventuali aggiornamenti.
Purtroppo ci sono alcune carenze che influenzano l'efficienza delle applicazioni:
alcuni modelli previsionali sono ormai assolutamente affidabili, mentre per altri sono tuttora in corso controlli e accertamenti;
i modelli sono fortemente orientati ad un loro impiego a supporto dell'assistenza tecnica, ma spesso occorre che siano ancora valutati da esperti in grado di interpretarne correttamente l'output;
i tempi necessari per l'acquisizione dei dati meteorologici e la relativa elaborazione dei modelli previsionali sono improponibili per l'utilizzo sistematico da parte degli utenti aziendali.
I modelli previsionali matematici per gli insetti sono Modelli di sviluppo del tipo "a Ritardo Variabile". Questi modelli sono in grado di simulare lo sviluppo di una popolazione di insetti descrivendo il passaggio degli individui attraverso le proprie fenofasi (uovo, larva, pupa e adulto) unicamente sulla base delle temperature rilevate in campo. Gli individui di una popolazione, infatti, passano attraverso le stesse fasi in tempi diversi a causa della variabilità genetica e microclimatica. Se si considerano, ad esempio, un gruppo di uova deposte tutte lo stesso giorno e mantenute nelle stesse condizioni di temperatura, non schiuderanno contemporaneamente ma all'interno di un certo intervallo di tempo.
I modelli MRV, quindi, si basano su due dati fondamentali nello sviluppo del fitofago:
1. Curve di risposta alla temperatura di tutti gli stadi: una funzione non lineare per gli stadi preimmaginali (uova, larve e pupe) e una funzione lineare per le femmine adulte.
2. Fecondità media delle femmine in funzione della loro età: tale parametro è stato espresso sulla base del numero di uova deposte giornalmente da femmine tenute in gabbiette di accoppiamento alla temperatura ottimale.
I modelli a ritardo variabile si collocano come anello di congiunzione tra la linea dei modelli fenologici e quella dei modelli demografici. I primi simulano la data in cui un evento fenologico si verifica; i secondi simulano la densità della popolazione in funzione del tempo. I modelli a ritardo variabile, quindi, simulano la distribuzione degli individui della popolazione che in un dato tempo (modello demografico) si trovano nei diversi stadi del ciclo vitale (modello fenologico). Il nucleo matematico del modello è un sistema di equazioni differenziali tramite le quali si simula la dinamica di popolazioni peciloterme con struttura di età.
Aspetti meteorologici
I dati meteorologici hanno molteplici applicazioni nell'ambito dello studio e pianificazione del territorio, della programmazione ed indirizzo delle attività umane e dell'uso delle risorse, della prevenzione dei rischi e degli eventi calamitosi di origine idrometeoclimatica. Il posizionamento locale delle stazioni agrometeorologiche è avvenuto quindi con la priorità di fornire dati utili ai modelli previsionali nel settore fitoiatrico, fenologico e irriguo, al fine di sostenere le scelte operative a livello aziendale, per contenere i costi di gestione e per ridurre l'impatto delle attività agricole sul territorio.
Le grandezze misurate dalla rete regionale sono quelle meteorologiche:
la temperatura e l'umidità relativa dell'aria a 180 cm dal suolo,
la temperatura dell'aria a 100 cm e 50 cm,
la temperatura nel suolo a -20 e -50 cm di profondità,
la velocità e la direzione del vento a 10 m dal suolo,
la velocità del vento a 2 m,
la radiazione globale,
la precipitazione,
la pressione atmosferica,
la bagnatura fogliare.
I dati disponibili riguardano le variabili meteorologiche più comunemente utilizzate per la gestione della difesa fitosanitaria, dell'irrigazione, della concimazione, del rischio meteorologico e si dividono in dati orari e dati giornalieri.
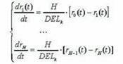
Modello a ritardo variabile MRV per la Lobesia Botrana
Il modello a ritardo variabile, o distribuito, rappresenta il ciclo vitale di una popolazione con uno schema compartimentale in cui ciascun compartimento rappresenta uno stadio specifico k.

Lo stadio k viene suddiviso in
H stadi non osservabili h = 1, 2, .,
H che introducono il ritardo nel modello.

Il modello matematico è costituito da un sistema di equazioni
differenziali:
Nel sistema, il parametro H coincide con il numero di sub- stadi "non- osservabili" che gli individui, una volta entrati nello stadio "osservabile" k, devono attraversare per fuoriuscirne distribuiti nel tempo. I flussi indicati con rh(t) (con h = 1, 2, ., H), rappresentano i flussi 'intermedi' di individui che entrano ed escono dai sub- stadi, con Rk-1(t) = r0(t) e rH(t) = Rk(t).
Il parametro DELk è il ritardo medio necessario agli individui per percorrere lo stadio k.
La soluzione del sistema è stata proposta sia in condizioni di temperatura costante che a temperatura variabile. La prima soluzione, di tipo analitico, è utile nel caso di individui in ambienti controllati (laboratorio), mentre la seconda, di tipo numerico, è utile a simulare la dinamica delle popolazioni nel loro ambiente naturale.

La soluzione di tipo analitico, nel caso di modello a temperatura costante,
è data dalla seguente equazione:
![]()
La soluzione di tipo numerico indica l'andamento temporale della densità
di individui nello stadio h sulla
base della temperatura, ed è data dalla seguente equazione:
Questa equazione consente di prevedere quale sarà il flusso di uscita rh(j+1) dallo stadio non osservabile h nel tempo futuro in relazione al flusso di individui presenti nel tempo attuale nello stesso stadio rh(j) e a quello del sub- stadio precedente rh-1(j).
![]()
La densità di popolazione di Lobesia Botrana è stata simulata
considerando i suoi quattro stadi di uovo, larva, crisalide ed adulto. Nel caso
di uovo, larva e crisalide il parametro H
vale 15 sub- stadi, nel caso degli adulti 25. Le funzioni della velocità di
sviluppo, dalle quali si ricava DELk(t), sono state quantificate con
le curve di Logan:
dove v è la velocità di sviluppo in funzione della temperatura dell'aria.
I coefficienti a, b e c variano da stadio a stadio e sono riportati nella tabella seguente:
|
STADIO |
a |
b |
c |
|
Uovo |
|
|
|
|
Larva |
|
|
|
|
Crisalide |
|
|
|
Nel grafico sottostante viene riportata la velocità di sviluppo per gli stadi di uovo, larva e crisalide.




Anche le funzioni di mortalità dipendono dalla temperatura. Nelle figure
seguenti viene mostrata tale dipendenza per gli stadi di uovo, larva e
crisalide.
Un esempio dell'output del modello MRV - Lobesia è il grafico seguente, dove nella parte superiore del grafico sono riportate, dall'alto verso il basso, le temperature massima (in rosso), media (in verde) e minima (in blu). In particolare le curve in nero si riferiscono ai coefficienti per i diversi stadi di uovo, larva e crisalide.

Come si deduce, le oscillazioni fenologiche seguono l'andamento della
temperatura. Sull'asse x è riportato il giorno dell'anno, sull'asse y di
sinistra la velocità di sviluppo calcolata con le curve di Logan, mentre l'asse
y di destra si riferisce alle scale delle temperature in °C.

Un ulteriore esempio di uscita del modello è la successiva figura, che si
riferisce al numero di individui, in unità relative.
Sono riportati i diversi stadi di uovo, larva crisalide ed adulto. Dal grafico si può notare come la Lobesia parta inizialmente dallo stadio di adulto con 125 unità. Successivamente si sviluppa lo stadio di uovo, dal giorno 120 al giorno 140. Con l'inizio della formazione delle larve si ha una diminuzione nella concentrazione di uova dovuta al trasferimento tra le due classi in modo tale che nei giorni 140-150 troviamo essenzialmente delle larve. Successivamente si formano le crisalidi (giorni 150-170) e successivamente si riparte con lo stadio di adulto.
Dall'uscita del modello si può notare come questo possa essere utilizzato con profitto per la pianificazione a breve e medio termine della lotta contro il parassita. In particolare utilizzando le analisi meteorologiche e le previsioni meteorologiche si può determinare lo stadio di sviluppo della Tignoletta della vite e fare degli interventi mirati non da calendario ma a seconda dello stadio di sviluppo.
All'inizio dell'anno si considera che la popolazione sia costituita al 100% da individui dello stadio ibernante, che cominciano a svilupparsi non appena la temperatura dell'aria supera, anche solo per qualche ora al giorno, la soglia inferiore di sviluppo.
Sulla base dei parametri biologici e delle temperature rilevate viene calcolato lo sviluppo istantaneo dei diversi stadi e, per quello adulto, la fecondità. Alla fine di ogni giorno viene calcolato, in termini percentuali, il numero di individui presenti in ogni stadio. In particolare i dati in uscita del modello fenologico sono:
la percentuale di presenza di uova, larve, pupe e adulti sul totale della generazione;
la percentuale di uova, larve, pupe e adulti che hanno raggiunto quel determinato stadio.
Per verificare la capacità previsionale del modello occorre confrontare i risultati della simulazione con i dati rilevati in campo possibilmente per più anni e in zone diverse del territorio. Le verifiche possono riguardare tutti gli stadi del fitofago, ma generalmente ci si basa sul confronto tra il volo simulato dal modello e quello rilevato in campo tramite le trappole a feromoni.
Conclusioni
Con l'ausilio del modello previsionale vengono fornite precise indicazioni sia sull'inizio dell'ovideposizione (e sul suo andamento in termini percentuali) che sull'inizio della nascita larvale e sulla sua evoluzione.
Tali informazioni sono utilizzate per eseguire campionamenti più mirati con ripercussioni positive sul controllo del fitofago. Ad esempio, per un eventuale trattamento con Flufenoxuron è utile che il campionamento necessario per stabilire il superamento della soglia di intervento venga eseguito prima della nascita delle larve, in quanto tale prodotto risulta più efficace se diretto contro le uova.
Inoltre se si rapporta, ad esempio, il numero di uova rilevate in campo con la percentuale di ovideposizione simulata dal modello in quel momento, si riesce a ottenere un'informazione più precisa sul livello di infestazione che ci si può aspettare.
Se invece i trattamenti si orientano su prodotti ad azione più specificatamente larvicida, l'informazione necessaria riguarderà l'inizio della schiusura delle uova. Utilizzando Tebufenozide, Indoxacarb e Lufenuron è sufficiente un unico intervento per proteggere dalla generazione; con Bacillus thuringiensis, invece, occorre ripetere il trattamento alla scadenza del periodo di attività (circa una settimana). In ogni caso, grazie all'informazione sull'intera evoluzione della nascita delle larve fornita dal modello, si è in grado di stabilire se il periodo di attività del prodotto impiegato è sufficiente per coprire l'intera generazione. Può succedere infatti che, a causa di rallentamenti dello sviluppo del fitofago dovuti ad abbassamenti di temperatura, lo sgusciamento delle larve si prolunghi notevolmente rispetto alle annate normali. Per eventuali interventi contro la terza generazione, essendo a ridosso della raccolta, in genere vengono utilizzati prodotti con un breve periodo di carenza come quelli a base di Bacillus thuringiensis. Anche in questo caso per il posizionamento ottimale del trattamento viene utilizzata l'informazione relativa all'inizio della nascita delle larve e alla sua evoluzione nel tempo.
Bibliografia
"Fitopatologia, entomologia agraria e biologia applicata", di M. Ferrari, E. Marcon, A. Menta, Calderini edagricole;
"An analytical model for description of temperature dependent rate phenomena in arthropods", di J. A. Logan, D. J. Wollkind, S. C. Hoyt, L. K. Tanigoshi, 1976;
"Lotta alle tignole della vite da tavola nell'Italia meridionale", di T. Moleas, Informatore Fitopatologico, n. 5 del 1995;
"Lobesia Botrana: studio in laboratorio del ciclo di sviluppo in funzione della temperatura", M. R. Rapagnani, V. Caffarelli, M. Barlattini, 1988, Congresso Nazionale Italaliano Entomologico a L'Aquila.
Rivista "Il Divulgatore", n° 4 del 2007;
Rivista "Il Divulgatore", n° 5 del 2002;
Programma informatico "Fitogest", https://fitogest.imagelinenetwork.com/
Servizio Fitosanitario Emilia - Romagna, www.ermesagricoltura.it
![]() |
| Appunti su: modelli di eccellenza matematica previsionale, |
|
| Appunti Contabilita | ![]() |
| Tesine Fisica | ![]() |
| Lezioni Statistica | ![]() |