Appunti per Scuola e Università
humanisticheUmanistiche
Appunti e tesine di tutte le materie per gli studenti delle scuole medie riguardanti le materie umanistiche: dall'italiano alla storia riguardanti le materie umanistiche: dall'italiano alla storia 
sceintificheScientifiche
Appunti, analisi, compresione per le scuole medie suddivisi per materie scientifiche, per ognuna troverai appunti, dispense, esercitazioni, tesi e riassunti in download.
tecnicheTecniche
Gli appunti, le tesine e riassunti di tecnica amministrativa, ingegneria tecnico, costruzione. Tutti gli appunti di AppuntiMania.com gratis!
Appunti
scientifiche
Astronomia cosmologiaChimicaEconomiaEducazione fisicaFisica
MatematicaStatistica


AppuntiMania.com » Scientifiche » Appunti di Fisica » Fisica

Fisica




Visite: 1909Gradito:apreciate 4-stela [ Grande appunti ]
Leggi anche appunti:

Energia meccanica


ENERGIA MECCANICA Abbiamo visto in precedenza come il moto dei corpi nello

La onda


Un'ONDA è una perturbazione che si propaga senza trasporto di materia (ciè energia

I manometri


I manometri, di largo impiego industriale, sono quelli metallici o a quadrante.Ricordiamo
immagine di categoria

Scarica gratis Fisica

Fisica


Scienza che studia le proprietà della materia e della radiazione, intendendo per materia tutto ciò che ha massa e per radiazione ogni fenomeno caratterizzato da una propagazione di tipo ondoso. Fisica atomica, studio della struttura degli atomi, dei loro livelli energetici e delle interazioni con il campo della radiazione elettromagnetica. Fisica classica, complesso delle conoscenze fisiche indipendenti dalle teorie della relatività e della meccanica quantistica. Fisica matematica, studio dei metodi e delle tecniche matematiche più usati nella fisica e in particolare delle equazioni differenziali e integrali. Fisica moderna, complesso delle conoscenze fisiche che fanno uso essenziale delle teorie della relatività e della meccanica quantistica. Fisica nucleare, studio della struttura e delle proprietà del nucleo atomico. Fisica sperimentale, parte della fisica che raccoglie ed elabora informazioni sperimentali sui fenomeni fisici. Fisica teorica, parte della fisica che cerca ed elabora una descrizione razionale e il più possibile unitaria di tutti i fenomeni fisici mediante la formulazione in linguaggio matematico delle loro proprietà. Fisica delle particelle elementari, ramo della fisica moderna che studia la struttura e le proprietà delle particelle subatomiche. Fisica dello stato solido, parte della fisica che studia le proprietà dei solidi e in particolare delle strutture cristalline. Fisica delle basse temperature, parte della fisica che studia le proprietà dei liquidi e dei solidi a temperature molto vicine allo zero assoluto. Fisica sanitaria, scienza a carattere interdisciplinare (radiobiologia, ingegneria biomedica, ecc.), che va acquistando una propria autonoma dignità.

Fisica

Si esamineranno successivamente le caratteristiche e le suddivisioni della fisica per studiare poi i metodi di cui questa scienza si serve; infine si daranno alcuni cenni storici sulla sua evoluzione.

Caratteristiche fondamentali

La genesi delle diverse discipline dall'unica "filosofia naturale" degli antichi, che comprendeva tutto lo studio degli eventi della natura, è stata tale da lasciare in certa misura simili gli oggetti della fisica e della chimica. Tuttavia la diversificazione storica degli interessi delle due scienze e una permanente ragione pratica di suddivisione del lavoro portano a distinguere i fenomeni in due grandi classi: quelli in cui le proprietà del corpo in esame subiscono una sostanziale modificazione permanente e quelli in cui non la subiscono; nel primo caso si parla di fenomeno chimico, nel secondo di fenomeno fisico. Così, ad es., l'ossigeno e l'idrogeno, combinati in condizioni opportune, formano l'acqua e le proprietà di questo composto sono essenzialmente diverse da quelle degli elementi originari: lo studio del fenomeno rientra perciò nell'ambito della chimica. Ma quando l'acqua stessa viene raffreddata, e si trasforma in ghiaccio, la sua natura è rimasta inalterata: il cambiamento di stato è perciò un processo studiato dalla fisica.

Tuttavia, questa suddivisione è sempre meno netta, perché a fondamento di tutto il comportamento della materia si trovano i fenomeni atomici e nucleari e sempre più si sente l'esigenza di spiegare eventi, quali le reazioni di combinazione chimica degli elementi, attraverso le proprietà delle molecole, degli atomi, dei nuclei ecc. In questo caso lo sviluppo è stato possibile grazie all'elaborazione dei metodi matematici propri della fisica; ma negli ultimi anni è cresciuto anche l'interesse dei chimici per i problemi relativi alla struttura atomica della materia e il campo di lavoro comune alle due scienze è indagato ora sotto il nome nuovo di fisico-chimica o chimica-fisica.

Divisioni della fisica

Si possono distinguere due momenti essenzialmente separati nell'evoluzione della fisica: fisica classica e fisica moderna, caratterizzata quest'ultima dalle teorie della relatività e della meccanica quantistica elaborate nell'ultimo mezzo secolo, che hanno rivoluzionato il modo stesso di affrontare lo studio dei fenomeni. Nella fisica classica distinguiamo le seguenti discipline aventi oggetti separati: meccanica, termologia e termodinamica, elettrologia , ottica, acustica e fenomeni ondulatori; ciascuna di esse ha poi risentito della nuova impostazione sorta con la fisica moderna e ne è stata modificata. La fisica moderna è nata dall'elaborazione della teoria della relatività e della meccanica quantistica, e trova il suo massimo campo di studio nella fisica atomica e nucleare, nella fisica delle particelle elementari, nella fisica dello stato solido e nella fisica delle basse temperature.

Meccanica

Studia le condizioni di moto e di quiete dei corpi e si suddivide in cinematica, dinamica e statica a seconda del particolare aspetto del problema del moto che viene considerato. Nella cinematica il movimento è studiato indipendentemente dalle cause che lo producono: interessa determinare le caratteristiche geometriche della traiettoria del mobile e le grandezze di velocità e di accelerazione, che stabiliscono come la traiettoria stessa è percorsa durante un certo intervallo di tempo. La cinematica è legata quindi alla nozione di spazio e utilizza il tempo come un parametro atto a individuare la successione delle posizioni occupate dal mobile; a questo scopo si deve introdurre un sistema di riferimento spaziale, rispetto a cui descrivere il moto: occorre perciò anche precisare come le equazioni della traiettoria, la velocità e l'accelerazione del corpo dipendano dal sistema di riferimento che si considera. Nella cinematica classica intervengono trasformazioni tra sistemi di riferimento, dette trasformazioni di Galileo, rispetto a cui il tempo è un parametro invariante, universalmente definito; la teoria della relatività introduce invece nella cinematica un concetto di correlazione tra lo spazio e il tempo, che rende diverse le proprietà di trasformazione di velocità e accelerazione.

Nella dinamica si pongono in relazione le caratteristiche della traiettoria con le forze applicate al mobile: per la risoluzione del problema è fondamentale la legge di Newton, secondo cui l'accelerazione a impressa a un corpo è proporzionale alla forza F, cui esso è sottoposto (a = F/m). Si introduce così il concetto di massa m, costante di proporzionalità che nella teoria classica mantiene sempre lo stesso valore, caratteristico di un dato corpo qualunque sia la velocità con cui questo si muove. Anche qui occorre notare che l'espressione dell'equazione fondamentale dipende dal sistema di riferimento e che nella dinamica classica la legge di Newton risulta invariante per trasformazioni di Galilei tra sistemi in moto relativo di traslazione con velocità costante.

Infine, il caso particolare della dinamica, in cui le forze applicate si fanno equilibrio, è studiato dalla statica: l'interesse di questa parte della meccanica è reso anche più grande dal fatto che ogni problema dinamico può essere ricondotto a un problema statico, attraverso la definizione di opportune forze legate al moto; questa impostazione, introdotta con l'enunciazione del principio di d'Alembert, consente così di trasferire i metodi propri della statica, e i risultati conseguiti da questa, allo studio di ogni problema dinamico.

Se si considera la natura del corpo in movimento è necessario distinguere la meccanica in sezioni che differiscono per l'oggetto di cui si studia il moto: meccanica del punto materiale, che tratta un oggetto dotato di massa e di dimensioni spaziali trascurabili; meccanica dei sistemi rigidi, cioè degli insiemi di punti materiali le cui distanze reciproche restano invariate durante il movimento; meccanica dei corpi deformabili, le cui proprietà dipendono dal tipo di sollecitazione cui sono sottoposti. In particolare, rientra in quest'ultima sezione la meccanica dei fluidi (liquidi e aeriformi), che si è sviluppata fin dall'antichità come disciplina di grande interesse: le condizioni di equilibrio, studiate dall'idrostatica, sono state definite dall'enunciazione della legge di Archimede, della legge di Pascal e della legge di Stevino, mentre per il problema dell'idrodinamica i risultati più importanti sono contenuti nel teorema di Bernoulli (per il moto stazionario e senza attrito interno) e nella legge di Poiseuille (per il caso in cui occorre tener conto dell'attrito interno del liquido). Infine presenta un interesse autonomo, e soprattutto è importante perché consente di studiare il caso dei gas, la meccanica di un insieme costituito di un gran numero di particelle: su questo oggetto è stata elaborata la meccanica statistica, che riconduce il problema a concetti di grandezze medie e di distribuzioni di probabilità.


Termologia e termodinamica

Questa parte della fisica introduce i concetti di quantità di calore e di temperatura e studia i fenomeni connessi con gli scambi di calore e le variazioni di temperatura: dilatazione dei corpi, propagazione del calore (per conduzione, convezione o irraggiamento), cambiamenti di stato (fusione e solidificazione, vaporizzazione e liquefazione, sublimazione); le proprietà delle soluzioni, le trasformazioni in calore dell'energia meccanica, elettrica (effetto Joule), chimica (termochimica). Questi ultimi fenomeni, che dimostrano che il calore è una forma particolare di energia, sono oggetto di studio della termodinamica, che tratta le relazioni tra proprietà termiche e meccaniche; in essa si sono stabiliti due princìpi fondamentali: 1. vi è un'equivalenza tra energia termica e meccanica; 2. non tutta l'energia termica posseduta da un sistema può essere trasformata in energia meccanica, mentre può accadere il processo contrario. La spiegazione della relazione che collega il calore all'energia meccanica è data dalla teoria cinetica della materia e soprattutto per i gas essa è raggiunta per mezzo della meccanica statistica, che permette di ricondurre le proprietà termiche di un sistema (temperatura, quantità di calore, entropia, ecc.) ai valori medi delle variabili dinamiche di tutte le particelle del sistema.

Elettrologia

Ha per oggetto i fenomeni elettrici e magnetici e le interazioni tra essi: poiché l'esperienza dimostra che una carica elettrica in moto (quale, ad es., la corrente in un conduttore) produce effetti simili a quelli prodotti da un magnete, occorre distinguere i fenomeni connessi con particelle in quiete (elettrostatica e magnetostatica) oppure con cariche in movimento (elettrocinetica). Tutte le proprietà dell'elettromagnetismo possono essere dedotte dalle quattro equazioni di Maxwell, che determinano completamente il campo elettromagnetico generato da un'assegnata distribuzione di cariche e correnti. Le equazioni di Maxwell, diversamente dalla legge di Newton, non sono invarianti rispetto alle trasformazioni di Galileo. Proprio questa caratteristica delle equazioni di Maxwell è stata all'origine dell'elaborazione della teoria della relatività.

Ottica

Parte della fisica che ha per oggetto i fenomeni luminosi; benché ora sia noto che la luce non è altro che propagazione di onde elettromagnetiche, è ancora utile tuttavia considerarne lo studio come una disciplina a sé stante. Per ragioni storiche, e per le diverse caratteristiche fisiche dei fenomeni considerati, conviene distinguere l'ottica geometrica e l'ottica ondulatoria: nella prima, si considerano problemi in cui la lunghezza d'onda della radiazione luminosa è trascurabile rispetto alle dimensioni degli oggetti ch'essa incontra sul suo percorso; si può allora sostituire al concetto dell'onda che si propaga quello del raggio luminoso (direzione perpendicolare al fronte d'onda) e si studiano così i fenomeni di riflessione e rifrazione e la formazione delle immagini negli strumenti ottici (specchi, lenti, prismi). Molti fenomeni possono invece essere interpretati solo nell'ambito dell'ottica ondulatoria, che studia, ad es., le proprietà di diffrazione, di interferenza, di polarizzazione, di diffusione. Appartiene anche all'argomento dell'ottica la spettroscopia, che studia gli spettri di emissione e di assorbimento dei corpi.

Acustica e fenomeni ondulatori

La propagazione per onde è un fenomeno di grande interesse anche in altri campi della fisica; ogni volta che un mezzo elastico è sottoposto a una perturbazione, questa genera un movimento vibratorio che si propaga per onde: lo studio di queste vibrazioni rientra nel dominio della teoria dell'elasticità. In particolare la perturbazione può consistere in una produzione di rarefazioni e compressioni in un mezzo, e si genera allora un'onda che si propaga nello spazio circostante. Se la frequenza dell'onda è compresa nel campo di udibilità si ha un suono, considerato attualmente come l'insieme del fenomeno fisico della propagazione per onde e delle sensazioni fisiologiche prodotte nei soggetti viventi. Si usa peraltro ancora mantenere la distinzione fra lo studio dei fenomeni fisici connessi alla propagazione e al passaggio da un mezzo all'altro (attenuazione, assorbimento, riflessione, diffrazione, interferenza, diffusione), che viene chiamata acustica fisica, e lo studio delle proprietà fisiologiche del suono (sensazione sonora, altezza, timbro, ecc.) che unito ai fenomeni relativi (mascheramento, affaticamento, localizzazione spaziale, ecc.), alle modalità di emissione della voce umana (fonazione) e alle sue proprietà fisiche costituisce l'acustica fisiologica.

Lo studio delle proprietà e degli strumenti atti a generare quei particolari suoni complessi armonici chiamati musicali costituisce l'acustica musicale. A questa si affianca l'acustica ambientale, che studia i fenomeni acustici relativamente agli ambienti in cui sono prodotti.

L'elettroacustica è lo studio delle trasformazioni tra energia acustica ed energia elettrica e viceversa.

Il campo studiato dall'acustica si è esteso anche alle vibrazioni di frequenza inferiore o superiore a quella dei suoni percepibili dall'orecchio umano (infrasuoni e ultrasuoni) e ha fornito metodi di indagine utili anche in altri problemi inerenti i fenomeni elastici, quali ad es. la propagazione di onde attraverso il sottosuolo terrestre. La disciplina è importante anche per lo studio dell'inquinamento acustico e per la realizzazione di misure di prevenzione e controllo relative.

Teoria della relatività

Elaborata da Einstein, comprende la relatività ristretta e la relatività generale. La relatività ristretta si propone di formulare le leggi della fisica in modo che siano invarianti per trasformazioni tra sistemi di riferimento in moto relativo di traslazione con velocità costante, introducendo a questo scopo una definizione del tempo non più come parametro universale (quale è dato nella meccanica classica, v. sopra), ma come grandezza definita in un certo sistema di riferimento, in modo tale da soddisfare la proprietà (provata dall'esperienza di Michelson del 1889) che la velocità c della luce nel vuoto è costante e indipendente da ogni sistema di riferimento. Da questa impostazione si deducono nuove proprietà per i moti di corpi a grandi velocità, mentre per velocità trascurabili rispetto a quella della luce la meccanica relativistica si riduce al limite classico; una conseguenza particolarmente importante della teoria è la dipendenza della massa di un corpo dalla sua velocità, che è in contraddizione con il principio di costanza della massa ipotizzato dalla dinamica classica, e l'equivalenza tra massa m ed energia E: E=mc². La relatività generale enuncia le leggi fisiche in modo che siano invarianti rispetto a trasformazioni anche tra sistemi di riferimento in moto accelerato l'uno rispetto all'altro: secondo la teoria di Einstein ogni accelerazione è equivalente all'effetto di un campo gravitazionale, e alla gravitazione sono legate le proprietà geometriche dello spazio-tempo. La relatività generale è particolarmente importante per la comprensione del campo gravitazionale e delle proprietà dell'universo: anche qui, come per la relatività ristretta, il caso classico della teoria gravitazionale di Newton è un'approssimazione limite della relatività generale.

Il legame stretto che la teoria della relatività introduce fra gravitazione e geometria si estende, oltre che all'universo su grande scala, ai fenomeni su scale molto piccole: benché fra teoria della relatività e fisica quantistica vi siano differenze metodologiche significative, in tempi recenti si sono avuti molti punti di convergenza fra le due, e tecnologie raffinate hanno permesso di misurare direttamente gli effetti gravitazionali sulle particelle elementari.

Teoria dei quanti e meccanica quantistica

Originata dalla necessità di spiegare fenomeni fisici (quali l'effetto fotoelettrico, l'effetto Compton, l'emissione del corpo nero e tutti i fenomeni spettroscopici) non interpretabili mediante la meccanica classica di Newton e l'elettrodinamica classica di Maxwell, la teoria quantistica stabilisce sostanzialmente che la fisica classica non può essere applicata a sistemi dinamici microscopici (di dimensioni circa 10 cm, o inferiori a queste). Poiché la determinazione di una grandezza fisica richiede che avvenga un'interazione tra il dispositivo di misura e l'oggetto osservato, dobbiamo chiederci se l'interazione stessa non alteri in modo sostanziale la situazione fisica dell'oggetto, sì da rendere anche concettualmente impossibile la determinazione delle sue condizioni dinamiche: e questo processo avrà effetti certo più rilevanti per i sistemi microscopici che non per quelli macroscopici. Consideriamo, ad es., la determinazione della posizione di una particella; per poterla compiere è necessario illuminare la particella, ma illuminare significa inviare fotoni con un certo impulso e questi, incidendo sul corpuscolo, ne mutano la velocità in modo non trascurabile, a differenza del caso classico - cioè dei sistemi macroscopici - in cui l'ordine di grandezza delle dimensioni e dell'impulso dell'oggetto osservato è tale che in confronto a esso è lecito non tener conto dell'alterazione prodotta dall'apparato di misura. Dall'analisi di un processo del genere risulta che è impossibile determinare contemporaneamente con una precisione prefissata grandezze quali la posizione e l'impulso di una particella: l'equazione del moto della meccanica quantistica (equazione di Schrödinger) è perciò tale che la sua soluzione non dà la posizione (o l'impulso) del punto - o del sistema - in un certo istante, ma piuttosto la probabilità che il punto - o il sistema - si trovi in quell'istante in quella posizione (o abbia quel certo valore dell'impulso). Inoltre, l'energia del sistema che soddisfa a questa equazione non assume in genere valori continui, come nel caso classico, bensì discreti (o "quantizzati"): si ottiene così una spiegazione coerente dell'emissione e dell'assorbimento di radiazione da parte dei sistemi atomici, che avviene sempre per quantità discrete (quanti di energia). Il risultato fondamentale della teoria è quello di porre sullo stesso piano radiazione e materia: entrambe aspetti di una stessa realtà fisica, esse manifestano la natura di corpuscoli oppure di onde a seconda del tipo di interazione che avviene nel processo di osservazione.è

Fisica atomica e fisica nucleare

Poiché studiano particelle e sistemi che hanno dimensioni microscopiche (inferiori a 10 cm circa) e sono dotati di velocità spesso confrontabili con la velocità della luce, queste sezioni della fisica moderna fanno uso della teoria quantistica e della teoria della relatività. La fisica atomica studia principalmente la struttura degli atomi e i loro livelli di energia, e la spettroscopia relativa alle transizioni di elettroni da un livello energetico a un altro, esaminando quindi in modo particolare le interazioni degli atomi con il campo elettromagnetico. L'oggetto della fisica nucleare comprende lo studio della struttura del nucleo atomico, l'analisi dei suoi livelli energetici, l'interpretazione dei possibili processi di interazione tra nuclei e altre particelle subatomiche o radiazioni (reazioni nucleari) e soprattutto la ricerca di una teoria soddisfacente delle forze nucleari.

Fisica delle alte energie

L'elemento più pesante (cioè avente numero atomico Z più elevato) esistente in natura finora noto è l'uranio, avente Z = 92. Tuttavia i fisici nucleari hanno teorizzato l'esistenza e la stabilità di elementi ancora più. La possibilità di dimostrare l'esistenza di tali elementi è offerta tanto dalla tecnica di cattura neutronica nei reattori nucleari che da quella del bombardamento ad alta energia realizzabile negli acceleratori lineari. Nei reattori, dall'inizio dell'era nucleare, si sono sintetizzati elementi che oggi arrivano fino al numero atomico 106: forse il più famoso fra questi, per via anche delle sue applicazioni militari, è il Plutonio (numero atomico 94). Utilizzando viceversa gli acceleratori di ioni pesanti nel 1970 è stato "realizzato" un elemento con numero atomico 105 (denominato col nome provvisorio di dubnio o, dai tedeschi, hanio, in ricordo di Otto Hahn, scopritore della fissione nucleare). Successivamente sono stati scoperti elementi aventi Z ancora maggiore, tuttavia tutti con vita media estremamente breve, cioè non stabili. Nel 1971 un gruppo di ricercatori inglesi accelerando protoni contro un bersaglio (target) di tungsteno, a una energia tale da impartire ad alcuni nuclei del tungsteno l'energia sufficiente per vincere le forze di repulsione coulombiana e fondersi con altri nuclei vicini, crearono nuovi nuclei, i quali, a loro volta, decaddero in uno stato energetico stabile, corrispondente a un elemento avente Z = 112. Tuttavia questo risultato fu accolto con molta cautela, e anzi alcuni fisici sostennero che la sezione d'urto di collisione che i protoni avevano nel colpire il bersaglio di tungsteno non poteva essere sufficiente a provocare i risultati riportati. L'interesse di questo filone di ricerca sperimentale sta anche nel fatto che le attuali teorie sulla struttura del nucleo atomico fanno prevedere la presenza di una "isola" di stabilità per elementi con numero atomico attorno a 114 e un'altra ancora per Z=164.

Fisica delle particelle elementari

Il numero delle particelle subatomiche scoperte sperimentalmente è aumentato con l'entrata in funzione di acceleratori di particelle sempre più potenti. Mettere ordine nel catalogo che ne è risultato è stato difficile (e non è detto che il compito sia stato assolto a pieno). Il "modello standard" adottato nel corso degli anni Novanta vede solo dodici particelle come fondamentali, divise in due famiglie: quella dei quark e quella dei leptoni. Della prima fanno parte i quark su (up, u), giù (down, d), strano (strange, s), incanto (charm, c), basso (bottom, b) e alto (top, t); della famiglia dei leptoni, invece, fanno parte l'elettrone, il muone, la particella tau e i relativi neutrini (elettronico, muonico e tauonico). Per ciascuna particella esiste poi l'antiparticella corrispondente. I quark e gli antiquark si combinano a formare particelle più complesse, che prendono il nome di adroni (inizialmente si pensava che adroni e leptoni fossero le due famiglie di particelle "elementari"). Gli adroni a loro volta si dividono in sottofamiglie, a seconda del tipo di composizione: ci sono quelli composti da tre quark, che prendono il nome di barioni, quelli formati da tre antiquark (antibarioni) e quelli formati da un quark e un antiquark (mesoni).

Le forze che agiscono fra particelle, d'altra parte, possono essere di quattro tipi: le classiche forze gravitazionale ed elettromagnetica, la forza forte (che agisce sui quark), la forza debole.

La ricerca in questo campo è focalizzata, sin dagli anni Sessanta, sulla formulazione di teorie in grado di "unificare" queste forze, cioè di fornirne un quadro unico e coerente. Una teoria soddisfacente che unificava la forza elettromagnetica e quella debole nell'ambito dell'elettrodinamica quantistica (QED, quantum electrodynamics) è stata formulata da A. Salam e S. Weinberg e nota con il nome di teoria elettrodebole. La teoria prevedeva l'esistenza di tre particelle (W+ W- e Z) portatrici dell'interazione debole, che sono state poi effettivamente scoperte. Teorie come quella elettrodebole si basano sul concetto delle simmetrie unitarie, secondo cui fra le varie particelle devono intercorrere relazioni di approssimata simmetria (relazioni che vengono matematicamente definite applicando le teorie dei gruppi).

Una teoria analoga all'elettrodinamica quantistica, basata a sua volta sul concetto di simmetria, ha permesso di trattare le interazioni forti, che risultano mediate da particelle denominate gluoni (dall'inglese glue, colla), perché sono quelle che tengono uniti i quark. I gluoni portano una carica (l'analogo della carica elettrica delle interazioni elettromagnetiche) denominata colore: la teoria nel suo complesso è stata chiamata cromodinamica quantistica(QCD, quantum chromodynamics).

Rimane da integrare in un'unica teoria di grande unificazione (GUT, great unification theory) la forza gravitazionale, ma i buoni risultati della QCD lasciano sperare che il compito non sia impossibile.

Fisica dello stato solido

Questo ramo della fisica, esistente già nel secolo scorso, subì un salto qualitativo verso il 1930, quando l'applicazione della meccanica quantistica e statistica allo studio dei solidi e dei cristalli permise di dare un'interpretazione quantistica coerente di molte delle loro principali proprietà a partire da quelle dei nuclei e degli elettroni che li costituiscono. La fisica dello stato solido, grazie alle sue sicure basi concettuali, ha ottenuto successi sia in campo teorico (nell'interpretazione della struttura e delle proprietà dei solidi), sia nelle applicazioni pratiche come, ad es., quelle relative al diodo a semiconduttore e al transistor. Da qualche tempo si preferisce parlare di fisica della materia condensata e far rientrare in questo ambito d'indagine le ricerche sui sistemi composti da un gran numero di elementi e in particolare sui semiconduttori e sulla superconduttività.

Fisica delle basse temperature. Superfluidità

L'applicazione della meccanica quantistica ai fenomeni che si manifestano nei metalli a bassa temperatura fu in grado di spiegare in modo soddisfacente la superfluidità riscontrata nell'isotopo normale dell'elio (He ) e la superconduttività in numerosi metalli. Gli stessi presupposti teorici fecero pensare all'esistenza di fenomeni analoghi anche nell'isotopo leggero dell'elio liquido (He³). Solo nel 1973, però, è stata conseguita una serie di risultati sperimentali che hanno confermato la fondatezza di quell'ipotesi. L'isotopo (He³) presenta un cambiamento di fase, tipico di una transizione da uno stato normale a uno superfluido al di sotto di 3 mK (10 K). In realtà, al di sotto di quella temperatura, davvero molto bassa, l'elio-3 possiede addirittura almeno tre fasi con proprietà radicalmente differenti da quelle della fase normale, che sono collettivamente chiamate "elio-3 superfluido". Le applicazioni della superfluidità sono ancora poche (avvengono soprattutto nel raffreddamento di altri materiali), ma le proprietà di un materiale superfluido sono davvero affascinanti: fluisce senza attrito in capillari sottili, si arrampica sulle pareti del recipiente che lo contiene (il fenomeno è chiamato "pellicola strisciante"), riscaldato in determinate condizioni zampilla in modo spettacolare (fenomeno detto "effetto fontana").

Superconduttività

Tra le applicazioni della superconduttività, quella relativa alla realizzazione di forti campi magnetici trova il proprio interesse in particolare nell'aver reso possibile un ulteriore avanzamento nella tecnologia costruttiva degli acceleratori nucleari. Come si sa, l'intensità di campo magnetico massima realizzabile con un magnete a materiale superconduttore è frutto di un compromesso con la temperatura critica di quel materiale, la quale tende ad abbassarsi drasticamente all'aumentare dell'intensità del campo.

Le ricerche si sono quindi orientate verso la realizzazione di materiali superconduttori che presentino una temperatura critica Tc e una intensità di campo magnetico critica Hc (al di sotto della quale non ci sono variazioni delle proprietà superconduttrici) sempre più elevate. Nel 1986 K. A. Muller e J. G. Bednorz hanno scoperto che ossidi a base di rame, lantanidi e metalli alcalino-terrosi presentavano caratteristiche di superconduttività a temperature superiori (28 K) a quelle note fino ad allora, ossia 23 K per le leghe di niobio e germanio. In seguito sono stati prodotti ossidi di ittrio, bario e rame che hanno una temperatura critica (90 K) superiore a quella dell'azoto liquido; ulteriori composti hanno permesso di rilevare il fenomeno della superconduttività anche al di sopra dei 125 K. Le proprietà di questi superconduttori ad alta temperatura, diverse da quelli a bassa temperatura, si spiegherebbero con la particolare struttura cristallina di questi composti.

Fisica del laser

La fisica del laser ha conosciuto negli ultimi anni notevoli progressi sia nella ricerca di base, con la sofisticazione di modelli già esistenti o la messa a punto di nuovi, sia in quella applicativa, con l'individuazione di numerosi campi nei quali l'impiego della luce laser si rivela particolarmente proficuo. L'attenzione dei ricercatori si è ultimamente rivolta in modo particolare al laser a gas (anidride carbonica, xeno, cripto, ecc.) che grazie all'elevata purezza e stabilità e alla bassa densità dei gas consente di ottenere una buona monocromaticità, direzionalità e stabilità con potenze elevate. Tuttavia notevole interesse continuano a suscitare fra gli altri i laser organici (o a coloranti, così chiamati appunto perché il materiale radiante è un colorante organico) e quelli al neodimio. I primi presentano i vantaggi di emettere in un qualsiasi punto del visibile, a seconda del colorante impiegato, e di poter essere accordati in modo tale da poter far variare la luce emessa con continuità all'interno di una certa gamma di lunghezze d'onda. I secondi offrono invece il vantaggio di rendimenti elevati con la conseguente possibilità di ottenere notevoli potenze del raggio emesso. Lo sforzo dei ricercatori per la messa a punto di laser in grado di offrire una potenza sempre maggiore si colloca all'interno di una prospettiva applicativa che, specialmente negli ultimi anni, è diventata centrale: la fusione termonucleare controllata. In particolare il raggio di luce laser avrebbe il compito di innescare la reazione fra due atomi di deuterio per la produzione di un neutrone energetico: D + D  He³ + n.


Onde gravitazionali

La rivelazione di onde gravitazionali, previste dalla teoria generale della relatività di Einstein, effettuata da Joseph Weber nel 1969, ha suscitato un notevole interesse dei ricercatori in questo campo. Tuttavia vari tentativi di ripetere l'esperienza di Weber hanno avuto finora risultati deludenti. Essi sono stati tutti basati sulla ricerca originale di Weber, centrata sulla teoria della rivelazione delle onde gravitazionali e sulla costruzione di rivelatori per la misura della curvatura dinamica dello spazio con una precisione ancora insuperata. Molte ipotesi sono state fatte sulle possibili fonti di radiazione gravitazionale, e sul valore possibile del flusso con il quale la radiazione dovrebbe essere rivelata sulla terra; stelle di neutroni, pulsar, supernovae, esplosioni in quasar e nuclei galattici sono ritenute le fonti principali. Tuttavia ogni futuro ampliamento delle conoscenze sulla fisica delle onde gravitazionali è strettamente legato al progresso nella tecnologia della rivelazione. Vari laboratori stanno tentando di realizzare rivelatori più sensibili di quelli di Weber, pur basati sullo stesso principio; un tipo di rivelatore diverso è l'interferometro laser, in cui un fascio laser viene diviso in due fasci, riflessi poi da specchi e fatti tornare al punto di partenza, dove interferiscono; il passaggio di un'onda gravitazionale dovrebbe far variare la lunghezza di uno dei due percorsi, generando quindi nel punto d'incontro dei due fasci riflessi figure di interferenza diverse.

Fisica sanitaria

Ai nostri giorni si evidenzia, nell'evoluzione della scienza medica, una crescita del ruolo assunto da metodiche di diagnosi e cura che sfruttano sofisticate apparecchiature, frutto del progresso scientifico e tecnologico: tomografia assiale computerizzata (TAC), tomografia a risonanza magnetica nucleare (RMN), tomografia a emissione di positroni (PET), laser, betatrone, acceleratore lineare (LINAC), e così via. Ai servizi di fisica sanitaria ospedalieri, in Italia come negli altri paesi più progrediti, competono dunque funzioni considerate ormai irrinunciabili in alcuni settori, come la radiologia e la medicina nucleare, mentre la loro collaborazione viene sempre più richiesta anche nell'ambito di altre specialità mediche, come la cardiologia, l'audiologia, l'oftalmologia, ecc. È noto che attualmente la "filosofia" della medicina tende a privilegiare la tutela della salute, e quindi l'aspetto preventivo dell'intervento sanitario rispetto a quello diagnostico-terapeutico. In tale contesto si colloca l'altro settore di attività, proprio della fisica sanitaria, costituito dalla radioprotezione, o protezione sanitaria contro i rischi derivanti dall'impiego delle radiazioni, ionizzanti e non ionizzanti.




Metodi della fisica

La fisica è essenzialmente una scienza sperimentale. Ciò significa che essa si basa innanzi tutto sull'osservazione attenta dei fenomeni naturali e poi sull'esperimento, cioè sulla ripetizione in condizioni controllate del fenomeno che si intende studiare. In effetti i fatti che avvengono in natura sono in generale molto complessi e presentano aspetti diversi e una pluralità di eventi concomitanti. L'osservazione ripetuta consente di cogliere le regolarità, cioè l'insieme dei fattori effettivamente collegati fra loro: quelli che viceversa hanno carattere accidentale vengono evidenziati proprio dalla loro presenza saltuaria e scorrelata rispetto al fatto principale. Nell'esperimento il ricercatore riproduce il fenomeno in condizioni semplificate e controllate in modo tale da poter verificare l'influenza dei diversi parametri in gioco. L'osservazione, tanto in condizioni naturali che in laboratorio, era inizialmente effettuata mediante l'uso dei sensi: Galileo osservava con gli occhi il moto dei corpi che scendevano lungo i suoi piani inclinati e si avvaleva di strumenti molto semplici per la misura dei tempi. In realtà risultò ben presto evidente che la precisione dei nostri sensi non era per lo più sufficiente per estrarre in modo attendibile dall'esperimento i dati necessari alla formulazione di precise leggi fisiche. Fu così che si misero in opera vari accorgimenti per potenziare i sensi stessi; esempio tipico sono gli strumenti ottici, quali telescopi e microscopi: Galileo poté effettuare le sue osservazioni sui satelliti Medicei di Giove grazie al suo cannocchiale. In sostanza si sostituirono e si sostituiscono ai nostri occhi, ai nostri orecchi e in generale ai nostri sensi, degli opportuni sensori in grado di captare luce o altri segnali elettromagnetici, vibrazioni meccaniche, piccolissimi spostamenti e altro, e poi, tramite un apparato di misura, di amplificare (o attenuare) e convertire tutto ciò in informazioni accessibili alla vista o all'udito. L'informazione finale può essere resa manifesta dalla posizione di un indice su di una scala oppure, oggi sempre più spesso, appare in forma di una serie di cifre visibili su di un display alfanumerico. La complessità e la scala, spesso lontanissima dai fatti della vita quotidiana, di molti fenomeni che la fisica contemporanea studia, sono tali da far sì che la catena che intercorre tra l'oggetto di analisi e l'informazione finale presentata allo scienziato contenga sostanzialmente già una parte dell'interpretazione a priori del fenomeno stesso. Lo spazio dell'intuizione immediata è virtualmente scomparso, mentre la teoria della misura acquista un valore centrale e vitale. Osservazioni ed esperimenti non sono naturalmente fini a se stessi né debbono servire semplicemente per classificare e descrivere razionalmente i fenomeni. L'obiettivo dei fisici è quello di desumere dai fatti le leggi che li governano e consentono di spiegare quelli osservati e prevederne di nuovi. In realtà l'idea di legge di natura che viene scoperta dallo scienziato è un po' ingenua. Per lo più il fisico, mettendo insieme le conoscenze acquisite, giunge a formulare delle ipotesi razionali a riguardo di quali sono i parametri significativi e quali i nessi formali che li collegano, formulati ed espressi in termini matematici. Queste ipotesi consentono di progettare nuovi esperimenti prevedendone i risultati: se la previsione trova riscontro nei fatti, l'ipotesi di partenza ne esce corroborata, diversamente essa deve essere modificata o abbandonata (come avvenne per l'ipotesi dell'esistenza dell'etere cosmico come mezzo per la propagazione delle onde elettromagnetiche). Obiettivo della scienza è quello di spiegare il maggior numero di fatti col minor possibile numero di ipotesi. Diverse ipotesi correlate fra loro che permettono di interpretare unitariamente fenomeni a priori non connessi gli uni agli altri costituiscono una teoria (teoria cinetica dei gas, teoria elettromagnetica della luce, teoria dei quanti, ecc.). La bontà di una teoria si fonda sulla solidità delle ipotesi che la compongono e sulla capacità di indicare intere classi di nuovi fenomeni diversi da quelli per spiegare i quali essa è stata formulata. Naturalmente anche per una intera teoria, come per le singole ipotesi, vale il fatto che se gli esperimenti effettuati per verificarne le previsioni danno un esito negativo o comunque imprevisto la teoria deve essere o modificata o abbandonata. Teorie a priori non verificabili, o, come si dice, non falsificabili per esperimento o osservazione, non hanno in generale validità scientifica. Periodicamente, più in passato che oggi, si riaffaccia l'aspirazione o la speranza di formulare una definitiva teoria del tutto, cui nulla sfugga e che abbia carattere conclusivo, ma sono in generale i fatti a frustrare questa idea. In realtà la fisica, come le altre scienze sperimentali, è in continua evoluzione: le sue teorie si modificano e si affinano via via, al comparire di nuovi fenomeni e l'idea stessa di poter scrivere un giorno la parola fine allo sviluppo della conoscenza si pone al di fuori delle affermazioni a carattere scientifico.

I princìpi

Nella formulazione di ipotesi e leggi scientifiche emergono alcune ricorrenze e regolarità che concernono classi molto diverse di fenomeni e che però, per quanto costantemente verificate dall'esperimento, non mostrano ragioni a priori di validità incondizionata. Queste regolarità di comportamento espresse in forma di norma universale prendono il nome di principi. Essi sono in genere semplici e, poiché sono di natura ipotetica, restano validi soltanto finché non si osservano fenomeni che li contraddicano. Un esempio di un principio fisico fondamentale nella fisica è quello della conservazione dell'energia: esso non è mai stato smentito fino ai nostri giorni, anche se alcuni passaggi dell'elettrodinamica quantistica fanno riferimento a processi virtuali per i quali il principio di conservazione dell'energia non è rispettato. Per quanto "fondamentali" i principi della fisica vivono comunque di vita precaria, nel senso che qualunque fatto nuovo che li smentisca ne determina l'abbandono o quanto meno il ridimensionamento, come avvenne nel caso del principio di equipartizione dell'energia nella teoria dell'irraggiamento, il cui abbandono costituì il preludio della teoria dei quanti. Tra i princìpi attualmente accettati, oltre a quello della conservazione dell'energia, si possono citare il principio di minima azione, il principio di relatività di Einstein, i due princìpi della termodinamica. Qualche volta dei principi fisici possono assolvere a una funzione simile a quella degli assiomi matematici: partendo da essi è possibile dedurre per via logico matematica un corpo di conseguenze talmente ampio da costituire una vera e propria disciplina autonoma come nel caso, ad esempio, della termodinamica.

Possiamo ricapitolare il procedimento fin qui delineato che porta al definirsi di un corpo sistematico di conoscenze scientifiche. Il primo passo sta nell'osservazione e nell'esperimento, dopodiché l'analisi dei dati acquisiti consente, con metodo induttivo, di individuare delle leggi fisiche. Queste esprimono in forma matematica i nessi causali che sussistono fra diverse grandezze fisiche; esempi di leggi fisiche possono essere le leggi di Boyle-Mariotte, di Gay-Lussac, di Joule, di Ohm, ecc. La validità di una legge riposa sulla verifica sperimentale delle sue predizioni, verifica che però non è mai semplice. Uno dei problemi, negli esperimenti, è che i risultati ottenuti sono sempre affetti da un certo grado di incertezza; ciò avviene per una quantità di motivi diversi legati alla natura dell'esperimento e alle caratteristiche della procedura e degli strumenti utilizzati. In qualche caso l'incertezza è dovuta a veri e propri errori sistematici di misura, incontrollabili fino a tanto che non se ne sia individuata la presenza, ma correggibili quando la loro presenza sia stata riconosciuta. A prescindere dagli eventuali errori sistematici vi sono poi una quantità di perturbazioni accidentali che possono influenzare l'esito di una misura; l'effetto di queste perturbazioni, proprio per via della loro aleatorietà, non è determinabile a priori, è però contenibile, con opportuni accorgimenti entro limiti, questi sì, prevedibili. Per via di questa situazione nessuna misura può fornire risultati esatti, anzi lo stesso concetto di valore esatto è privo di significato. Ciò che si ottiene è l'indicazione che il valore di una data grandezza fisica è contenuto in una fascia di possibili valori, l'incertezza appunto della misura; fascia che ci si sforza di ridurre il più possibile, ma che non può mai essere azzerata. La conferma sperimentale di una legge fisica risente dunque di questi limiti ed è lo stesso affinarsi dei procedimenti di misura che può, col tempo, finire per mettere in dubbio ciò che in un primo momento poteva parere assodato. D'altro canto non sempre si riesce a dar conto compiutamente di determinate regolarità e ricorrenze che si riscontrano nei dati. In questi casi si individuano quelle che si possono definire leggi empiriche; esse vengono formulate mediante espressioni contenenti parametri ad hoc il cui significato fisico inizialmente sfugge in tutto o in parte, ma il cui valore è suggerito dall'esperienza. Si può in qualche caso anche fare a meno di una formulazione matematica diretta ricorrendo alla presentazione grafica o tabellare, da utilizzarsi, mediante procedimenti di interpolazione ed estrapolazione, per dedurre valori non direttamente misurati. Le relazioni empiriche sono molto spesso lo stadio preliminare della definizione di una nuova legge fisica e di una compiuta teoria di una certa classe di fenomeni. Un esempio in tal senso sta nell'interpretazione del fenomeno dell'irraggiamento termico della materia, e più particolarmente quello dello spettro energetico dell'irraggiamento prodotto da una cavità portata a una certa temperatura (irraggiamento del "corpo nero"). Dopo che furono proposte diverse formule approssimate per rappresentare questo spettro energetico, una formula esatta, ma empirica, fu scoperta da Max Planck. Tuttavia una formula empirica, per quanto esatta, non è soddisfacente per il fisico, perché resta isolata, sterile, non implica nessi con altri fenomeni, finché non sia stato possibile darne un'interpretazione teorica. Nell'esempio appena citato, lo stesso autore della formula empirica propose un'ipotesi teorica dalla quale la si poteva logicamente dedurre. Negli anni che seguirono, numerosi lavori, tanto sperimentali quanto teorici, dimostrarono la fecondità dell'ipotesi di Planck, che ha costituito il punto di partenza di un corpo di dottrina, quello della fisica quantistica. Oggi nell'esplorare i confini dell'estremamente piccolo e dell'estremamente grande la fisica finisce spesso e per necessità coll'allontanarsi nuovamente dalla dimensione della sperimentalità, o quanto meno, della sperimentalità praticabile. Ciò spinge a sviluppare sempre più attività essenzialmente speculative in cui le deduzioni logiche che vengono formulate ricorrono in modo massiccio ad un formalismo matematico sempre più astratto e complesso. La matematica comunque, anche nell'ambito sperimentale, ha acquistato un ruolo sempre crescente nella fisica che si serve sistematicamente di algoritmi matematici assai complessi, come l'algebra formale, la teoria delle funzioni, il calcolo differenziale e integrale, il calcolo vettoriale e l'analisi tensoriale, il calcolo delle matrici, la teoria dei gruppi per lo studio delle simmetrie dei fenomeni fisici, il calcolo delle probabilità, ecc. Questo tecnicismo spinto, insieme con l'apertura di filoni e campi di ricerca specialistici e sempre nuovi, tende a favorire una frammentazione della fisica rendendo difficile la percezione non meramente superficiale del quadro d'insieme e compromettendo un poco quell'universalità della conoscenza che era fra gli ideali di quell'umanesimo all'interno del quale la scienza moderna si sviluppò.


Massa


Fisica

La massa è comunemente definita come la quantità di materia di un corpo, e poiché l'espressione quantità di materia non è ben chiara, si suole dire che macroscopicamente le cose vanno come se la locuzione avesse un senso ben preciso: in questo modo il concetto di massa è stato introdotto da Newton nei suoi Philosophiae naturalis principia mathematica (1687). L'idea che tutti i corpi posseggano una proprietà dipendente in modo esclusivo dalla materia di cui sono costituiti è suggerita dall'esperienza per cui, a parità di forze agenti, un corpo subisce un'accelerazione tanto maggiore quanto minore è la quantità di materia del corpo stesso. Un esperimento molto comune è quello di spingere un corpo lungo un piano perfettamente liscio: la resistenza che il corpo oppone a chi voglia metterlo in moto, se è fermo, o a chi voglia mutarne la velocità, se è già in moto, è dovuta alla sua massa inerziale; il rapporto tra la forza applicata a un corpo e l'accelerazione che ne consegue, invariabile per ogni corpo, viene assunto a rappresentare la quantità di materia dello stesso. Una nozione diversa di massa trae origine dalla legge newtoniana di attrazione gravitazionale: l'attrazione che un corpo subisce da parte di un altro dipende infatti dalla natura fisica dei due corpi e questa natura fisica si può misurare con una grandezza scalare positiva che si definisce come massa gravitazionale. Poiché l'esperienza dimostrava che la massa inerziale e quella gravitazionale sono tra di loro proporzionali, si riteneva sempre possibile scegliere un'unità di misura per la quale le due masse coincidessero, così da giustificare la misura di masse mediante la misura dei pesi corrispondenti.

A questa concezione della massa come quantità di materia si opposero le critiche di E. Mach e altri filosofi della scienza della seconda metà del XIXsec.: in effetti la definizione precedente nasconde un'ipotesi non scientifica, cioè quella che i corpi risultino costituiti di parti nelle quali la quantità di materia è costantemente proporzionale ai loro volumi. Se si lascia cadere questo assioma, si riconosce che il concetto di massa in tanto è valido in quanto si possiede un metodo preciso per misurarla. In questa prospettiva la massa inerziale (determinata con metodi dinamici) e la massa gravitazionale (determinata con metodi statici) sono due entità assolutamente diverse, la cui uguaglianza appare nell'ambito della fisica classica una coincidenza inspiegabile. La teoria della relatività generale di Einstein consente di ottenere un'interpretazione soddisfacente di questo fatto.




La massa nella meccanica classica e relativistica

Se nella meccanica classica la massa di una particella è una proprietà della particella che non dipende dalle sue condizioni fisiche, nella meccanica relativistica la massa m varia con la velocità v della particella secondo la legge

dove mo è la massa della particella quando è in quiete (massa di riposo) e c la velocità della luce. Ancora nella meccanica relativistica viene a cadere un principio fondamentale della meccanica classica, quello della conservazione della massa: la relazione fondamentale Eo = mc² pone infatti in luce la possibilità di trasformare l'energia Eo nella massa m, e viceversa, dando così luogo al principio più generale della conservazione della massa e dell'energia.

Metodi di misura della massa

Il più diffuso metodo per la misura delle masse è fondato sulla proporzionalità esistente in ogni punto della superficie terrestre tra la massa m di un corpo e il suo peso P: P = gm, dove g è l'accelerazione di gravità. Mediante la bilancia si possono confrontare i pesi di due corpi: in particolare quando i pesi si equilibrano le masse sono uguali. (È da notare che il peso di un corpo varia da un punto all'altro della superficie terrestre, mentre la massa è costante ed esprime una proprietà intrinseca del corpo.) Il metodo di misura con la bilancia non è ovviamente applicabile a corpi di dimensioni atomiche. Nel caso di particelle atomiche o subatomiche elettricamente cariche si può risalire al valore della massa dalla deviazione che subiscono in un campo magnetico: il raggio di curvatura della traiettoria di una particella carica in un campo magnetico costante è proporzionale alla massa della particella. Un altro metodo applicabile anche alle particelle prive di carica elettrica è fondato sulla legge relativistica di conservazione dell'energia e della quantità di moto: se si applica questa legge a un processo in cui si produce una nuova particella si può determinare la sua energia totale E e la sua quantità di moto p; queste due quantità sono legate alla massa m dalla relazione E²-p²c² = m²c dove c è la velocità della luce nel vuoto.

Unità di misura della massa

Nel sistema SI l'unità di misura della massa è il chilogrammo- massa o bes, definito come la massa del prototipo di platino-iridio sancito dalla conferenza generale dei pesi e misure e conservato al Pavillon de Breteuil a Sèvres. Nel sistema CGS, ormai in disuso, l'unità di massa è il grammo-massa, che è la millesima parte del bes.

Massa elettromagnetica

Nell'interazione di un campo elettromagnetico con una particella elettricamente carica parte dell'energia e dell'impulso del campo viene trasferita alla particella. La quantità di moto p acquistata dalla particella si può scrivere nella forma p= meu dove u è la velocità della particella e me è una costante che ha le dimensioni di una massa e viene detta appunto massa elettromagnetica della particella.


Elettrologia


Parte della fisica che comprende lo studio dei fenomeni relativi alle cariche elettriche in quiete (elettrostatica) e in movimento (elettrocinetica), dell'azione mutua fra correnti (elettrodinamica), delle masse magnetiche in quiete (magnetostatica) e delle interazioni tra fenomeni elettrici e fenomeni magnetici. [L'elettrologia riguarda anche lo studio dei legami tra energia elettrica e chimica (elettrochimica) e della conduzione elettrica nel vuoto, nei gas e nello stato solido (elettronica).]

Fisica

Il campo dei fenomeni elettrici, magnetici ed elettromagnetici, studiati e analizzati con mezzi sempre più perfezionati, è in corso di continuo allargamento; pertanto qui ci si limita a un'esposizione elementare dello sviluppo storico e degli aspetti fondamentali dell'elettrologia, mentre data l'importanza teorica e applicativa dell'elettromagnetismo, dell'elettronica, dell'elettroacustica e delle altre branche specializzate queste vengono trattate sotto i rispettivi lemmi.

Profilo storico

Fin dall'antichità era noto che l'ambra gialla, per effetto dello strofinio, acquista la proprietà di attirare corpi leggeri, come pagliuzze, piume, ecc. Questo comportamento è citato da vari autori greci, in particolare da Talete di Mileto ( VI sec. a.C.). Era anche nota la scarica elettrica provocata dalla torpedine che Aristotele consigliò per la cura della gotta. Gli antichi Indiani avevano invece riscontrato che alcuni cristalli riscaldati attirano le ceneri (piroelettricità). Durante il medioevo non si ebbero ulteriori progressi in queste conoscenze fino al XVIsec., quando l'inglese William Gilbert (1544-1603) riscontrò un comportamento analogo a quello dell'ambra in diverse sostanze, come il vetro, la resina, lo zolfo, ecc., che furono chiamate dielettrici (isolanti). I materiali nei quali non si riusciva a raccogliere l'elettricità, come ad es. i metalli, si dissero per contrapposto anelettrici (conduttori). A Gilbert si deve inoltre la distinzione tra fenomeni elettrici e fenomeni magnetici. Otto von Guericke (1602-1686) inventò la prima macchina elettrostatica, costituita da una sfera di zolfo posta in rotazione, che veniva elettrizzata per strofinio dalle mani dello sperimentatore. Mediante questo apparecchio, che permise di dare un indirizzo sperimentale alle ricerche sull'elettricità, si ottenne la prima scarica elettrica. Stephen Gray (1670-1736) osservò che anche i conduttori potevano essere elettrizzati, purché fossero isolati; scoprì la conduzione elettrica ed eseguì la prima esperienza di trasporto di una carica a distanza; osservò inoltre, in casi particolari, l'elettrizzazione per induzione (influenza elettrostatica). Questi risultati furono confermati da Charles François du Fay (1698-1739), che dimostrò la possibilità di elettrizzare tutti gli oggetti, compreso il corpo umano, e osservò, impiegando un pendolino elettrostatico formato da una sferetta di midollo di sambuco sospesa a un filo, che il vetro e la resina acquistano, per sfregamento, elettricità contrarie, denominate rispettivamente vetrosa (positiva) e resinosa(negativa). Pieter Van Musschenbroek nel 1746, e quasi contemporaneamente Jürgen von Kleist, costruirono i primi condensatori elettrici nella forma nota come "bottiglia di Leida", che consentirono di ottenere scariche elettriche di considerevole intensità. Si perfezionarono anche le macchine elettrostatiche, fra le quali ricordiamo quelle di Hawksbee (1709) e di Winkler (1766) a cilindro di vetro e quella di Ramsden a disco di vetro (1768). Benjamin Franklin (1706-1790) scoprì il potere delle punte, utilizzandolo come mezzo protettivo contro le scariche atmosferiche (parafulmine). Nel 1754 l'inglese John Canton (1718-1772) realizzò l'elettrizzazione per induzione elettrostatica. Contemporaneamente si cominciavano a delineare le teorie relative a questi fenomeni: William Watson (1715-1787) nel 1746 e Franklin nel 1750 avanzarono l'ipotesi che lo sfregamento non "creasse" l'elettricità, bensì ne modificasse la distribuzione fra i due corpi a contatto: uno perde e l'altro acquista cariche elettriche (principio di conservazione della carica).

I primi studi quantitativi si devono a Coulomb (1736-1806) il quale, mediante la sua bilancia di torsione, misurò le forze di attrazione e repulsione elettrostatica, constatando che si tratta di azioni di intensità inversamente proporzionale al quadrato della distanza (1785). Egli inoltre scoprì che l'elettrizzazione interessa gli strati superficiali dei conduttori. I risultati sperimentali di Coulomb, inquadrati analiticamente da P.-S. de Laplace (1749-1827), J. B. Biot (1774-1862), da C. F. Gauss (1777- 1855) e S. D. Poisson (1781-1840), segnarono il coronamento dell'elettrostatica.

Gli ulteriori perfezionamenti in questo campo hanno portato alla realizzazione di macchine elettrostatiche più efficaci, come quelle di Wimshurst (1832-1903) e di Van de Graaff (1935) e di elettrometri particolarmente sensibili. Dopo la scoperta di Luigi Galvani (1737- 1798), che nel 1790 mostrò come, mettendo a contatto mediante un archetto metallico i nervi lombari e i muscoli della gamba di una rana scorticata, si osservavano notevoli contrazioni, Alessandro Volta (1745-1827) avanzò l'ipotesi che questo comportamento fosse dovuto a corrente elettrica prodotta dalla forza elettromotrice esistente nel contatto fra il metallo dell'archetto e le soluzioni elettrolitiche. Osservando poi che le contrazioni erano più intense quando l'archetto era formato da due metalli di natura diversa, riuscì a definire esattamente il fenomeno (forza elettromotrice di contatto fra metalli) e stabilì la distinzione fra conduttori di prima e di seconda specie, rispettivamente metalli e soluzioni elettrolitiche. La celebre controversia sorta fra questi due scienziati portò Volta, dopo lunghe e metodiche ricerche, alla scoperta della pila nel 1800. Prese così l'avvio un nuovo campo d'indagini, l'elettrocinetica, che si occupa del movimento di cariche elettriche nei conduttori. Si stabilirono progressivamente anche le leggi che governano il comportamento delle correnti elettriche. Nel 1827 Georg Simon Ohm (1787-1854) determinò la relazione che lega la tensione fra due punti di un circuito e l'intensità di corrente che l'attraversa, definendo la resistenza elettrica. Rudolf Kohlrausch (1809-1858) definì successivamente la resistività (1848). Gustav Robert Kirchhoff (1824-1887) definì il comportamento elettrico di una rete comunque complessa formata da maglie e nodi. Charles Wheatstone (1802-1875) ideò nel 1844 il ponte che porta il suo nome per la misura delle resistenze. James Prescott Joule (1818-1889) studiò gli effetti termici della corrente elettrica e formulò nel 1841 la legge che esprime la relazione fra la corrente che percorre un circuito e la potenza dissipata in calore.

Già nella seconda metà del XVIII sec. si era tentato di stabilire un legame tra fenomeni elettrici e magnetici, ma solo nel 1820 Hans Christian Oersted (1777-1851) scoprì che una corrente elettrica devia un ago magnetizzato; André Marie Ampère (1775-1836) riscontrò il medesimo effetto nel caso di due correnti gettando le basi dell'elettrodinamica. Jean Baptiste Biot e Félix Savart (1791-1841) misurarono il campo magnetico prodotto dalla corrente. Pierre-Simon de Laplace ne dedusse una legge elementare e, nel 1822, Ampère formulò la legge generale del fenomeno: egli, assimilando un solenoide a un magnete, pose le basi dell'elettromagnetismo. A Michael Faraday (1791-1867) si deve la scoperta del fenomeno dell'induzione elettromagnetica (1831) sul quale si basa la trasformazione dell'energia elettrica in lavoro meccanico. L'interpretazione matematica di questo fenomeno venne data da Franz Ernst Neumann (1798-1895), che si servì della nozione di potenziale, e fu successivamente completata e verificata sperimentalmente da Wilhelm Weber (1804-1891), Kirchhoff e Helmholtz. Nel 1820 François Arago (1786-1853) magnetizzò un ago d'acciaio mediante una corrente elettrica; nel 1876 Henry Augustus Rowland (1848-1901) osservò che un ago magnetizzato devia per azione di un disco rotante che porta una carica elettrica, dimostrando l'identità fra elettricità statica ed elettricità dinamica. Nel 1882 James Alfred Ewing (1855-1935) scoprì l'isteresi magnetica a seguito delle esperienze di Emil Warburg (1846-1931). James Clerk Maxwell (1831- 1879), infine, formulò le equazioni generali del campo elettromagnetico giungendo a una sintesi completa di tutta l'elettrologia.

Elettrostatica

Esistono molti corpi, detti dielettrici o isolanti(vetro, resina, ebanite, zolfo, ecc.) che si elettrizzano per strofinio, acquistano cioè una carica elettrica localizzata nella zona di sfregamento. La carica elettrica posseduta da un corpo può essere di due tipi differenti; si è convenuto di chiamare positiva quella che si accumula sul vetro strofinato e negativa quella che si osserva sulla resina. Esistono altri procedimenti elementari per elettrizzare un corpo qualsiasi, per esempio mettendolo a contatto con un oggetto carico (elettrizzazione per contatto). Analogamente avvicinando un corpo carico A a un corpo B inizialmente neutro, si manifesta nella parte di B più vicina ad A una carica di segno opposto a quella di A, mentre la parte più lontana acquista una carica dello stesso segno; allontanando A da B questa elettrizzazione scompare (elettrizzazione per influenza o induzione elettrostatica). In alcuni corpi, detti conduttori, si può isolare durante il processo d'influenza la carica elettrica di un solo segno, per es. tagliando a metà il conduttore B e allontanando le due parti; in questo caso l'elettrizzazione rimane anche quando cessa il fenomeno dell'influenza.

Le forze che si esercitano tra le cariche elettriche in equilibrio sono descritte dalla legge di Coulomb : due cariche elettriche puntiformi dello stesso segno o di segno opposto si respingono o si attraggono con una forza che è inversamente proporzionale alla loro distanza e direttamente proporzionale al prodotto delle cariche; inoltre la forza che si esercita tra due cariche non dipende dalla presenza di altre cariche. Il campo di forza generato da una carica elettrica è conservativo: in altri termini, il lavoro compiuto da una carica elettrica che si muove da un punto A a un punto B non dipende dalla traiettoria seguita, ma solo dalle posizioni iniziale e finale della carica. Si può allora definire in ogni punto P dello spazio una funzione V(P), detta potenziale, tale che il lavoro compiuto da una carica q che si muove da A a B è W = q [V (A) - V (B)].

La conoscenza del potenziale V di un campo elettrostatico permette di determinare la forza elettrostatica che si esercita su una carica qualsiasi; precisamente si può dimostrare che il vettore E = - grad V, detto intensità del campo elettrico, rappresenta la forza che il campo esercita sulla carica elettrica unitaria. Il problema fondamentale dell'elettrostatica consiste nel trovare il potenziale di una data distribuzione di cariche elettriche. Per esempio con procedimenti elementari si può verificare che il potenziale è costante all'interno di un conduttore elettricamente carico e quindi l'intensità del campo elettrico è nulla; nei punti esterni vicini al conduttore il vettore E è perpendicolare alla superficie del conduttore e il suo valore è dato dal teorema di Coulomb

Teoria del potenziale

Esiste una teoria matematica, nota come teoria del potenziale, relativa alle forze che si esercitano tra cariche elettriche in quiete, formalmente analoga a quella che descrive la magnetostatica e la forza d'attrazione newtoniana. Le equazioni fondamentali dell'elettrostatica sono

rot E = 0, div D = .

Esse costituiscono un caso particolare delle equazioni di Maxwell (v. ELETTROMAGNETISMO); da queste due equazioni si ricava l'equazione di Poisson, per il potenziale elettrostatico V:

V = /

è l'operatore di Laplace. Ogni problema di elettrostatica è riconducibile alla ricerca di una soluzione dell'equazione precedente che soddisfi determinate condizioni al contorno.

Elettrocinetica

Il movimento ordinato delle cariche elettriche si ottiene di solito mediante l'applicazione di un campo elettrico. In molti solidi e liquidi, come i metalli e le soluzioni elettrolitiche, la densità di corrente J è proporzionale all'intensità del campo elettrico E applicato: J = , dove è la conducibilità elettrica del mezzo. Da questa relazione si può ricavare la legge di Ohm per le correnti di conduzione che stabilisce la relazione di proporzionalità esistente tra intensità di corrente e differenza di potenziale; questa proprietà non è tuttavia universalmente valida; per esempio in alcuni semiconduttori tale relazione non è lineare, inoltre se il conduttore non è isotropo, come certi cristalli, la conducibilità dipende dalla direzione di J e non e più uno scalare ma diventa un tensore. L'equazione di continuità per la corrente,

che esprime la conservazione della carica elettrica, permette di stabilire che in assenza di cariche variabili nel tempo la densità di corrente è un vettore solenoidale, cioè div J = 0. Questa proprietà della corrente unita alla legge di Ohm permette di ricavare i princìpi di Kirchhoff che costituiscono le leggi fondamentali dei circuiti. Il passaggio della corrente in un conduttore è accompagnato da diversi fenomeni, come la produzione di calore (effetto Joule), fenomeni magnetici che verranno trattati in seguito e processi elettrolitici.

Campo creato da una corrente

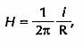
Si può osservare che in prossimità di un circuito percorso da una corrente di intensità i si manifesta un campo magnetico del quale possiamo calcolare l'intensità H sommando vettorialmente le intensità elementari d H prodotte nel punto M dai diversi elementi del circuito, come PP' = dl. Il vettore d H è normale, in M, al piano MPP'; il suo senso è dato dalla regola dell'uomo di Ampère: un osservatore posto in P sul circuito in modo che la corrente gli entri dai piedi e gli esca dalla testa e rivolto verso M vede il vettore diretto verso la sua sinistra. Il valore numerico di H è dato dalla prima legge di Laplace (v. ELETTROMAGNETISMO); in particolare per un conduttore rettilineo indefinito percorso da una corrente di intensità i, il vettore H è parallelo al piano perpendicolare al conduttore e il suo modulo H è dato nel sistema SI dalla legge di Biot e Savart:

dove R è la distanza del conduttore dal punto M.

In base a ciò si può definire il magnete equivalente al circuito: esso è il magnete fittizio che produrrebbe nel generico punto M un campo magnetico di intensità uguale a quella ora calcolata; si può altresì facilmente calcolare il suo momento magnetico, per lo meno nel caso dei circuiti di forma consueta.

Quando la corrente i varia, anche il corrispondente valore di H, in un punto dato, varia; una corrente sinusoidale produce in ogni punto M una intensità H sinusoidale in fase con la corrente.

Azione di un campo su una corrente

Un circuito percorso da una corrente i, e posto in un campo magnetico esterno, è soggetto a un sistema di forze, dette forze di Laplace, che si può valutare sia sostituendo il circuito con il magnete equivalente, sia calcolando la forza df applicata a ogni elemento di linea del circuito; il vettore è normale al piano definito da e dall'induzione B; il suo verso può essere definito mediante la regola delle tre dita della mano sinistra (Fleming): se si dispongono il pollice, l'indice e il medio della mano sinistra in posizioni mutuamente ortogonali, il vettore risulta diretto secondo la direzione indicata dal pollice quando l'indice e il medio sono rivolti rispettivamente nelle direzioni individuate da B e dalla corrente lungo il circuito; il valore numerico della forza è dato dalla seconda legge di Laplace:

Quando il circuito è libero di spostarsi le forze di Laplace compiono un certo lavoro dato da = i( ) relazione in cui è misurato in joule, i in ampère;  e  sono i flussi di induzione (in weber) concatenati con il circuito prima e dopo lo spostamento. Le correnti di convezione producono gli stessi fenomeni magnetici delle correnti di conduzione e subiscono gli stessi effetti in presenza di un campo magnetico esterno. In particolare una carica elettrica puntiforme q con velocità u immersa in un campo magnetico di induzione B è sottoposta a una forzaF nota come forza di Lorentz, che vale F = qu ; se inoltre è presente un campo elettrico E, la forza totale che si esercita sulla carica q è

F = q (E + u ).

Interazioni tra correnti

Le formule precedenti conservano la loro validità anche quando il campo magnetico esterno è creato da una corrente; in realtà, da questo punto di vista, non vi è differenza fra un campo prodotto da un magnete e quello prodotto da una corrente. In questo caso è più logico, però, parlare di azioni mutue fra i due circuiti; si possono calcolare queste azioni partendo dall'espressione dell'energia dei due circuiti: W = Mi i ove i e i sono le intensità delle due correnti e M il coefficiente di mutua induzione espresso in henry.

L'esperienza di Ampère consente di applicare le stesse considerazioni nel caso molto particolare di azione di una corrente su se stessa quando si utilizza un circuito deformabile (il circuito tende a disporsi in modo da abbracciare la massima superficie possibile) o quando il circuito è alimentato con corrente variabile (appare nel circuito una corrente indotta che si sovrappone alla corrente principale).

In questi casi si sostituisce la quantità M con il coefficiente di autoinduzione L.

Scarica gratis Fisica
Appunti su:



Scarica 100% gratis e , tesine, riassunti



Registrati ora

Password dimenticata?
  • Appunti superiori
  • In questa sezione troverai sunti esame, dispense, appunti universitari, esercitazioni e tesi, suddivisi per le principali facoltà.
  • Università
  • Appunti, dispense, esercitazioni, riassunti direttamente dalla tua aula Universitaria
  • all'Informatica
  • Introduzione all'Informatica, Information and Comunication Tecnology, componenti del computer, software, hardware ...

Appunti Chimica Chimica
Tesine Geografia Geografia
Lezioni Biologia Biologia