![]() |
|
| Appunti scientifiche |
|
| Visite: 1147 | Gradito: |
Leggi anche appunti:EclissiEclissi L'eclissi avviene quando un corpo celeste si colloca tra una La LunaLa Luna Anche ora che la Luna è diventata quel cerchietto piatto e lontano, Elementi propedeutici di fisicaElementi propedeutici di fisica 1.1 Forze |
![]() |
![]() |
Le leggi di Keplero
Le tre leggi del movimento dei pianeti Keplero le derivò in parte studiando le osservazioni di Brahe e sarà Newton a verificare tali leggi grazie alla legge di gravitazione universale.
La prima legge
"L'orbita descritta da un pianeta è un'ellisse, di cui il Sole occupa uno dei due fuochi."
Per la prima volta nella storia della scienza Keplero elimina dall'astronomia le sfere celesti e ipotizza per i pianeti un moto diverso da quello circolare. Osserviamo che, poiché l'ellisse è una figura piana, i moti dei pianeti avvengono in un piano, detto piano orbitale. Per la terra tale piano è detto eclittica.
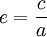
Parametri caratteristici dell'orbita:
semiasse
maggiore (a), semiasse minore (b), distanza focale (c),
eccentricità (e).
Tra questi parametri esistono le relazioni seguenti:
![]()
![]()
L'ellisse in figura ha un'eccentricità di circa 0.5 e potrebbe rappresentare l'orbita di un asteroide.
La distanza della
Luna dalla Terra non è costante (essendo quest'ultima su uno dei due fuochi) ma
passa da un apogeo a un perigeo. In oltre la Luna si allontana dalla Terra di
circa
Seconda legge di Keplero
"Il raggio vettore che unisce il centro del Sole con il centro del pianeta descrive aree uguali in tempi uguali."
Consideriamo ora alcune conseguenze di questa legge:
La velocità orbitale non è costante, ma varia lungo l'orbita. Le due aree evidenziate nella figura qui sotto sono, infatti, uguali e vengono quindi percorse nello stesso tempo. In prossimità del perielio, dove il raggio vettore è più corto che all'afelio, l'arco di ellisse è, in corrispondenza, più lungo. Ne segue quindi che la velocità orbitale è massima al perielio e minima all'afelio. Per l'orbita qui raffigurata, la velocità al perielio è circa 3 volte la velocità all'afelio.
Il momento angolare orbitale del pianeta si conserva
La velocità lungo una determinata orbita è inversamente proporzionale al modulo del raggio vettore. Questa è una conseguenza della conservazione del momento angolare. Se L, dato dal prodotto di m, r e vt è costante ne discende che vt è inversamente proporzionale a r .
Sul pianeta viene esercitata una forza centrale, cioè diretta secondo la congiungente tra il pianeta e il sole.

La seconda legge della dinamica per i sistemi in rotazione è
![]()
dove M è il momento della forza applicata. Poiché L si conserva, la sua variazione è nulla e quindi anche M è nullo. Questo può accadere solo se F è parallelo ad r, cioè è diretto come la congiungente con il sole.
La terza legge di Keplero
"I quadrati dei periodi di rivoluzione dei pianeti sono direttamente proporzionali ai cubi dei semiassi maggiori delle loro orbite."
Questa legge è valida anche per i satelliti che orbitano intorno ai pianeti e può essere espressa in forma matematica nel modo seguente:
K = T2 − d3
dove K è una costante (a volte detta di Keplero), che dipende dal corpo celeste preso in considerazione (il Sole o qualcuno degli altri pianeti). Per un'orbita circolare la si riduce a:

dove r è il raggio dell'orbita.

Limiti di validità delle leggi di Keplero
Va specificato che le leggi di Keplero sono precise nella misura in cui sono soddisfatte le seguenti ipotesi:
La massa del pianeta è trascurabile rispetto a quella del sole;
Si possono trascurare le interazioni tra diversi pianeti (tali interazioni portano a leggere perturbazioni sulla forma delle orbite).
![]() |
| Appunti su: appunti di scienze sulle leggi di keplero, |
|
| Appunti Geografia | ![]() |
| Tesine Archeologia | ![]() |
| Lezioni Ecologia ambiente | ![]() |