Appunti per Scuola e Università
humanisticheUmanistiche
Appunti e tesine di tutte le materie per gli studenti delle scuole medie riguardanti le materie umanistiche: dall'italiano alla storia riguardanti le materie umanistiche: dall'italiano alla storia 
sceintificheScientifiche
Appunti, analisi, compresione per le scuole medie suddivisi per materie scientifiche, per ognuna troverai appunti, dispense, esercitazioni, tesi e riassunti in download.
tecnicheTecniche
Gli appunti, le tesine e riassunti di tecnica amministrativa, ingegneria tecnico, costruzione. Tutti gli appunti di AppuntiMania.com gratis!
Appunti
informatica
CComputerDatabaseInternetJava
Linux unixReti


AppuntiMania.com » Informatica » Appunti di computer » Le reti

Le reti




Visite: 1659Gradito:apreciate stela [ Medio appunti ]
Leggi anche appunti:

La formalizzazione dell'informazione


La formalizzazione dell'informazione L'informazione è un concetto matematico.

Calcolo di Minr


Calcolo di Minr Scopo Calcolo del minimo numero reale rappresentabile

Illustrazione del sistema di monitoraggio


Illustrazione del sistema di monitoraggio L'obiettivo
immagine di categoria

Scarica gratis Le reti

LE RETI


1. Suddivisione delle reti


LAN

Local Area Network , limitata a un solo edificio a o edifici molto vicini

MAN

Metropolitan Area Network, copre un'intera città o area metropolitana

WAN

World Area Network, copre distanze molto estese

WWW

World Wide Web, letteralmente (Mondo) (esteso) (rete, ragnatela)

Internet

INTERconnected NETworks (reti di lavoro connesse tra loro)


Internet è il supporto di comunicazione, WWW ( o semplicemente spesso WEB) è il servizio

2. Topologie di rete


A stella


Un nodo centrale a cui sono connessi tutti gli altri.

Tutti i messaggi devono passare per il nodo C, che provvederà a smistarli.

Se cade un collegamento il nodo è isolato

Inesistente il rischio di collisioni.

Il nodo C prende il nome di server, gli altri di client ( architettura client-server)

Il malfunzionamento del server blocca l'intera rete.

Ogni nodo può trasformarsi in un server di livello inferiore.

Nella topologia a stella connessa il server può essere collegato ad altro server


Ad anello


Il segnale viaggia lungo l'anello, struttura unidimensionale rinchiusa in sé stessa, propagandosi in una sola direzione. La trasmissione avviene utilizzando il token, un pacchetto speciale che circola lungo l'anello.

La stazione che vuole trasmettere preleva il token, lo rimuove dall'anello, e vi accoda il pacchetto, che verrà rilasciato al destinatario. Il successivo passaggio del token dalla stazione che ha trasmesso il messaggio renderà il token nuovamente disponibili


A bus


Tutti i nodi sono connessi ad un unico mezzo trasmissivo lineare, il bus, percorribile in entrambi i versi. Ogni pacchetto viene preceduto da un gruppo di bit che indica il destinatario. Il pacchetto viene ricevuto e analizzato da tutti i nodi, ma solo la stazione il cui codice corrisponde al gruppo di bit di testa lo accetterà.

Il controllo può avvenire via hardware, con porte logiche, o via software, mediante il controllo dei byte ricevuti dalla chiamata dell'interrupt.

Nella topologia a bus il segnale viene inviato solo dopo aver controllato se la linea è libera: me nell'intervallo di tempo tra risposta 'linea libera' e invio del messaggio un'altra stazione può aver trasmesso. In questo caso si crea una collisione.

Agli estremi del bus vi sono i nodi terminatori, ad evitare che il segnale torni indietro creando collisioni.


Il controllo dell'indirizzo via hardware può avvenire secondo il principio illustrato nello schema, limitato a 3 bit per semplicità ma facilmente estendibile



A maglie


Ogni nodo può essere collegato ad altri nodi, senza vincoli gerarchici o organizzativi. Se ciascun  nodo è collegato con tutti gli altri si ha la topologia a maglia completa. Il numero dei collegamenti necessari, in questo caso, è

n ( n+1 ) /2, dove n è il numero dei nodi.

Collegando tra loro, in vari modi e successivi momenti, reti LAN e MAN preeseistenti, si ha automaticamente una topologia a maglie.

Internet ha evidentemente una topologia a maglie.



3. Mezzi trasmissivi in una rete LAN Ethernet



CABLAGGIO

Cavo coassiale

Doppino UTP

Fibra ottica

Cat 3

Cat 5

Cat 5E

Identificativo

10base-5

10base-2

10base-T

100base-T

1000base-T

100base-F

Nome

Ticknet

thinnet

Ethernet

Fast Ethernet

Gigabit Ethernet

Fiber-cabled Ethernet

Lunghezza max.

500 m

200 m

100 m

100 m

30-40 m.

500m.- 4 km

Distanza minima tra stazioni in metri







Connettori

a vampiro

a T

RJ-45

RJ-45

RJ-45


Velocità in Mbps








Cavo coassiale

Conduttore di rame isolato da uno strato di plastica. Adattato alla trasmissione digitale, resistente all'interferenza. E' la soluzione più semplice ed economica per realizzare una dorsale o collegare tra loro gli hub.Sconsigliato per il collegamento dei singoli computer. E' soggetto al rischio di guasti con una certa frequenza. Attualmente viene utilizzato quasi esclusivamente il coassiale sottile ( tipo RJ58 U/A)

Doppino UTP

E' un doppino telefonico particolare, realizzato con 4 coppie di filo di rame. Il cavo non è schermato, se non in presenza di forti rumori elettromagnetici. La categoria indica la qualità del cavo. Vengono collegati alle macchine utilizzando un concentratore, hub o switch, e quindi, dal punto di vista fisico, la topologia è a stella. Può trasmettere sia dati analogici che digitali.

Fibra ottica

Utilizzata soprattutto nella realizzazione di dorsali in cui è necessario superare grande distanze per raggiungere i dispositivi di rete, soprattutto se la rete si sviluppa in spazi aperti. Utilizza segnali luminosi trasmessi su una sottile fibra di vetro. Elimina il problema dell'interferenza elettrica, e dimostra buona affidabilità.

Wireless LAN

Le LAN di tipo Wireless utilizzano per trasmettere i dati segnali radio ad alta frequenza o raggi di luce infrarossa. Ogni computer deve avere la sua scheda rete wireless ed è necessario poter disporre di un apparato centrale ( access point ), un trasmettitore in grado di comunicare con tutti gli adattatori che si trovano nella sua zona di copertura. E' anche collegato alla rete locale, con un connettore RJ-45, e quindi svolge il ruolo di bridge ( ponte) tra la rete cablata e la rete wireless.

. Gli svantaggi delle reti wireless sono l'eccessivo costo, la poca sicurezza garantita, la suscettibilità all'interferenza elettrica, e la maggior lentezza ( 11 Mbps ) rispetto a una LAN cablata di Cat. 5 o superiore.


4. Mezzi trasmissivi in una rete MAN - WAN



Velocità

Ingresso

Uscita

Fast ADSL

4.8 Mbps

1.0 Mbps

ADSL

640 Kbps

128 Kbps

ISDN

128 Kbps

Linea Telefonica PSDN

56 Kbps


5. Protocolli

Un protocollo è l'insieme delle regole che governano la trasmissione e la ricezione dei dati, quali l'identificazione del mittente e del destinatario, la definizione della velocità di trasmissione, il segnale di inizio e fine del messaggio, la suddivisione in pacchetti ( o frame, o trame ), il criterio per il controllo degli errori di trasmissione. Per controllare il tutto è necessaria un'interfaccia software, e quindi, come applicativi, usano spazio in memoria e rallentano i processi, dovendo funzionare in background. Spesso con il termine 'protocollo' ci si riferisce proprio al software.

E' possibile avere più protocolli abilitati sulla propria rete, ma ciò inevitabilmente rallenta l'efficienza del sistema.

Ogni protocollo deve essere installato e configurato.

Il NetBIOS (Network Basic Input/Output System) definisce una modalità d'interfaccia di programmazione alla rete. E' uno standard che per la sua semplicità ed efficienza è stato adottato e implementato da tutti i protocolli di rete.


NetBEUI

La NetBIOS Extended User Inteface consente la connessione di computer in piccole reti ( poche decine di stazioni) o in analoghi segmenti di grandi reti. E' fornito come opzione di rete in tutti i sistemi operativi IBM e Microsoft, ma è assente in altri, il che ne limita la possibilità d'uso in reti multipiattaforma. E' tuttavia molto veloce e di grande semplicità, non richiedendo praticamente configurazione, potendosi tranquillamente sempre accettare i valori di default previsti.

Non è possibile il suo utilizzo in reti segmentate o in presenza di router


IPX

E' un protocollo estremamente semplice dal punto di vista della configurazione e della manutenzione, richiedendo pochissimi parametri. E' tuttavia inadatto in caso di reti segmentate con un qualche livello di complessità. E' molto veloce, ma solo in caso di reti privi di router.


TCP/IP

E' il protocollo attualmente più diffuso e generalizzato, considerando che ormai ogni LAN ha comunque un router che la collega a Internet,.

Anche se in ambito locale altri protocolli potrebbero essere più convenienti, come NetBEUI o Ipx, la necessità di adottare TCP/IP per l'accesso ad Internet non consiglia di caricare due protocolli diversi. Il TCP/IP ( Transmission Control Protocol / Internet Protocol) non è in realtà un singolo protocollo, ma un insieme di protocolli che integra diversi standard che forniscono tutti i servizi necessari.

I livelli ISO OSI più coinvolti dal protocollo sono il livello 7 ( applicazione) il livello 4 (trasporto) il livello 3 (rete).


6. Gli apparati attivi ( componenti, dispositivi ) di rete


6.1 Schede di rete

La scheda rete è l'interfaccia che permette di collegare una stazione di lavoro alla rete, e a volte è integrata sulla motherboard. Naturalmente anche la scheda rete ha bisogno del suo driver. Ogni scheda di rete ha un numero identificativo unico al mondo, formato da 48 bit ( 6 byte). I primi 24 bit identificano il costruttore, i secondi 24 il numero progressivo della scheda. Questo numero identificativo della scheda rete coincide con l'indirizzo di un computer all'interno della LAN, e figurerà quindi nel frame nelle posizioni riservate agli indirizzi del mittente e del destinatario.(indirizzo MAC )

La scheda rete è dotata di spine per l'accesso alla rete: in alcuni casi sono disponibili modelli detti 'combo', con connettori BNC per il cavo coassiale e spina RJ-45 per il collegamento al doppino UTP.


6.2 Adattatori (Transceiver: livello 1 ISO-OSI)

Trasformano i segnali per adattarli a differenti mezzi trasmissivi

6.3 Ripetitori (Reapeter: livello 1 ISO-OSI)

Amplificano e ritrasmettono i segnali per estendere le dimensioni di una rete, particolarmente nel caso dell'uso del cavo coassiale. Tuttavia al massimo è possibile inserire quattro ripetitori, e quindi collegare tra loro 5 tratte di rete.


6.4 Concentratori (HUB, fulcro, perno, nodo : livello 1 ISO-OSI)

Possono essere considerati dei ripetitori multiporta. Esistono HUB per i cavi coassiali ( 6 o 8 uscite) e per doppini UTP ( 4, 8, 12, 16, 24, 48 uscite di tipo RJ-45).

Gli HUB sono solo amplificatori di segnali elettrici, e quindi non effettuano alcuna analisi sul percorso dei messagi che ricevono. In altri termini, le due situazioni in figura ottengono il medesimo effetto, in ogni caso giungendo il messaggio a tutti i computer collegati, per essere eventualmente rifiutato dopo il confronto dell'indirizzo del destinatario.



Inserendo hub, la LAN assume una topologia fisica a stella, pur restando da un punto di vista elettrico una topologia a bus.


6.5 Bridge ( ponte : livello 2 ISO-OSI)


Permette di collegare una seconda rete alla prima. Il bridge memorizza ogni messaggio in arrivo, da una parte e lo trasmette anche alla seconda parte della rete solo se è destinata a questa. Se invece deve rimanere all'interno della prima rete, viene inibito il suo passaggio nel bus della seconda rete.

La rete complessiva è così divisa in due segmenti indipendenti dal punto di vista della collisione ( due diversi domini di collisione)

Il bridge quindi non svolge solo le funzioni di un ripetitore, ma è in grado di filtrare i messaggi, facendo passare solo quelli effettivamente diretti all'altro segmento.

Il bridge è un'apparecchiatura costosa, trattandosi di un vero e proprio computer che svolge il suo lavoro di filtro via software


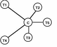
6.6 Switch (scambio, interruttore : livello 2 ISO-OSI)


Lo switch è un dispositivo in grado di ricevere il pacchetto in arrivo, analizzare l'indirizzo del destinatario, stabilire l'uscita ( porta) corrispondente all'indirizzo e inviare il messaggio unicamente su quell'unica uscita.

Riunisce in sè le funzioni di un hub ( più uscite collegate ) e di un bridge ( possibilità di discriminare il seguito del percorso). Rispetto al bridge, però, esegue le analisi mediante circuiti hardware dedicati registrati permanentemente e non via software.

Ciò consente da una parte una maggiore velocità, dall'altra un costo più contenuto e destinato a scendere rapidamente.

In pratica, con l'uso dello switch, ad ogni invio di messaggio è come se si venisse a creare una sotto rete a bus virtuale, che comprende, oltre naturalmente alla stazione che ha inviato il messaggio, solo la stazione destinataria e quelle collegate al bus teorico che si viene a creare escludendo tutte le stazioni collegate allo switch.

Si vengono così a creare, volta per volta, tanti domini di collisione diversi, che possono agire contemporaneamente senza reciproco intralcio.


Ad esempio, nello stesso momento T1 invia un messaggio a T3, T2 a T4 e T5 ad un computer con indirizzo MAC non presente nella 'mappa di raggiungibilità dello switch. E' come se si creassero 3 reti virtuali diverse, appartenenti a tre diversi domini di collisione. Quindi lo scambio di dati può avvenire in contemporanea, senza reciproco disturbo.



Per dare un'idea di come sia possibile identificare l'uscita corrispondente all'indirizzo del destinatario del messaggio ricorriamo al seguente schema di decoder, ipotizzando per semplicità un indirizzo a 3 bit. Ogni diversa configurazione in entrata darà il valore 1 in uscita su una e una sola porta. Per come è impostato lo schema, l'uscita Ux sarà attivata dalla configurazione in ingresso tale che il valore binario dei tre bit sia proprio x.


U0 U1 U2 U3 U4 U5 U6 U7


Nell'esempio, si controlla facilmente che l'uscita U3 sarà a 1, e tutte le altre a 0.

6.7 Router (instradatore, inoltratore: livello 3 ISO-OSI) e indirizzi IP


Il router serve a collegare una LAN ad Internet, ad Intranet ( una rete dedicata che sfrutta i collegamenti Internet ma il cui accesso è riservato agli utenti autorizzati, una rete interna ad organizzazioni o enti). a una MAN, comunque ad un'altra rete. Può quindi essere visto come la frontiera della LAN e il punto d'accesso all'esterno. Nel caso di Internet, la funzione del router è sostanzialmente di permettere di raggiungere i nodi della rete attraverso l'indirizzo IP, e viceversa di inviare il messaggio da internet al computer che lo ha richiesto.

Quindi, oltre all'eventuale conversione di protocolli, effettua la sincronizzazione del segnale e organizza i pacchetti di informazioni inserendo l'indirizzo di destinazione e quello del mittente,

Un indirizzo IP è formato da 4 byte, 32 bit, e può essere suddiviso in classi ( A, B, C ). Generalmente un nodo internet che funziona da host è identificato dai primi tre byte, e il valore del quarto byte individua il computer della LAN. Il ruoter quindi gestisce la tabella di corrispondenza tra IP e indirizzo MAC ethernet.

A sua volta il ruoter è collegato al server attraverso una porta RJ-45 e possiede un proprio indirizzo MAC, comportandosi, nell'ambito della LAN, come un qualsiasi altro nodo.


7. Il cablaggio strutturato e gli armadi di permutazione


Con il termine cablaggio strutturato si intende la posa dei cavi che raggiungono le aule, gli uffici, i laboratori coinvolti nella LAN. I cavi viaggiano lungo apposite canaline, e gli apparati di rete sono alloggiati in uno o più armadi di permutazione.

Quanti armadi utilizzare e dove disporli dipende ovviamente dalla planimetria dell'edificio. In ogni caso la posizione di questi armadi nulla ha a che vedere con lo schema logico della rete.

Ogni armadio di permutazione può servire una zona entro la massima lunghezza del tratto di rete permesso dal mezzo trasmissivo prescelto. Generalmente gli armadi di permutazione sono tra loro collegati da dorsali.

I singoli apparati attivi vengono inseriti nei rispettivi armadi di permutazione.



8 Modello di descrizione di una rete


8.0 Articolazione


Descrizione della struttura


Cablaggio strutturato

Planimetria dell'edificio con schema di cablaggio

Schema logico del cablaggio

Mezzi trasmissivi e connessioni

Armadi di permutazione

Hardware e software di rete

Schema logico degli apparati attivi

Apparati di rete

Specifiche dei computer

Device aggiuntivi

Servizi internet

- Parametri di rete

- Assegnazione dei numeri IP interni

- Generazione degli utenti

Descrizione della struttura

Si tratta di una piccola scuola contenuta in un unico edificio ad un solo piano. Dell'edificio vengono descritte solo le stanze rilevanti per il progetto, ossia tre laboratori, la Presidenza, la vicepresidenza , la segreteria amministrativa, la segreteria didattica e l'auletta del server.

Si realizzerà l'intera cablatura in cavo UTP cat.5.

La rete interna è basata sullo standard 802.3u (fast ethernet) a livello 1 e 2 ISO/OSI e sullo standard TCP/IP a livello 3 e 4 ISO/OSI.

L'accesso a Internet è realizzato con un connessione fast ADSL attraverso un router.

Oltre ai computer utilizzati come workstation si prevede la presenza di un server di rete locale


8.2 Cablaggio strutturato


Planimetria dell'edificio con schema di cablaggio



A1 e A2 sono gli armadi di permutazione, la linea più grande indica la dorsale ( lunghezza circa 30 m.), i quadratini neri le workstation, la linea che passa per le stazioni indica le canalette dove transitano i doppini UTP.

I computer verranno così indicati


Ambiente

Sigla

Quantità

Aula server

SV


Laboratorio 1

10,11,.1B  (genericamente 1x)


Laboratorio 2

20,21,.2B ( genericamente 2x)


Laboratorio 3

30,31,. ..3B (genericamente 3x )


Presidenza

PR


Vicepresidenza

VP


Segreteria Amministrativa

SA


Segreteria Didattica

S1,S2


Totale




Schema logico del cablaggio



Mezzi trasmissivi e connessioni


Tutto il cablaggio è realizzato con cavo UTP CAT.5

Tutte le connessioni sono realizzate con connettori RJ45


Armadi di permutazione




8.3 Hardware e software di rete


Schema logico degli apparati attivi


La rete interna è basata sullo standard 802.3u (fast ethernet) a livello 1 e 2 ISO/OSI e sullo standard TCP/IP a livello 3 e 4 ISO/OSI.


Apparati di rete

ROUTER integrato, contenente sia il modem fast ADSL a 4.8 Mbps in entrata che il router con firewall configurabile

2 HUB a 8 porte RJ-45 per cavo UTP da 100 Mbps

4 switch a 16 porte RJ45


Specifiche dei computer

SV : SERVER DI RETE : 1

CPU Pentium 4 2.80 GHz

Cache Memory 512 KB

RAM 1 GB

Hard disk 120 GB SCSI ( scasi )

Monitor LDC 17'' scheda video 64KB

1 porta PS/2 per il mouse

1 porta RS232 COM1

2 porte parallele, LPT1, LPT2

3 porte USB (Universal Serial Bus )

PR, VP, SA, S1, S2 : 5

CPU Pentium 4 2.80 GHz

Cacke Memory  256 KB

RAM 512 MB

Hard disk 80 GB IDE

Monitor LDC 17'' scheda video 64KB

1 porta PS/2 per il mouse

1 porta RS232 COM1

1 porte parallelq LPT1

2 porte USB (Universal Serial Bus )

1x,2x,3x : 36

CPU Pentium 3 1.2.GHz

Cache Memory  128 KB cache

Memoria 512 MB

Hard disk 40 GB IDE

Monitor LDC 15'', scheda video 64 KB

1 porta PS/2 per il mouse

1 porta RS232 COM1

1 porte parallele, LPT1, LPT2

1 porta USB (Universal Serial Bus )

Su tutti i computer viene istallato il s.o, WINDOWS XP PROFESSIONAL con FAT a 32 bit e gestione plug and play.delle porte.

La protezione antivirus sarà garantita da Norton Antivirus, aggiornato ogni anno.

Il browser per Internet sarà IEXPLORE.EXE, connesso tramite la LAN.

Per le esigenze del livello 7 ISO/OSI si acquisteranno le licenze per:

- Microsoft Office, comprendente .

- Visual Basic 8.0,

- ecc.

Il Server avrà anche una partizione con s.o. Linux per la gestione alternativa e integrativa delle risorse del sitema e di rete.


8.4 Servizi Internet


Viene quindi creata una rete IP interna. L'assegnazione dei numeri IP è gestita da un servizio integrato nel router.

La condivisione di risorse è realizzata con il protocollo NBT (NETBIOS su TCP) che consente la interoperabilità tra sistemi operativi diversi.

Parametri di rete

Dominio: Alfieri.edu

Sottorete 170.41.27.0

numeri IP riservati ai nodi: 170.41.27.1 / 170.41.27.254 (253 nodi)

Assegnazione IP interni

Categorie di account

IP

Computer

Tipo

Autorizzazioni di accesso


Server di rete SV

Administrator

Tutta la rete e accesso a Internet


Presidenza PR

Preside e vicepreside

Tutta la rete, ad esclusione del server, e accesso a internet


Vicepresidenza VP

Personale segreteria

Dominio di collisione SA, S1, S2, accesso a Internet


Segreteria Amministrativa SA

Docenti

Laboratori, accesso a Intenet


Segreteria didattica S1

Studenti

Account provvisorio per accesso ad internet, a scadenza


Segretteria didattica S2

Generico

Escluso accesso a Internet, solo laboratori. E' un account comune, pubblico, con user-id Alfieri e password 2006

da 170.41.27.10

a   170.41,27.21

Laboratorio 1 : 10..1B



da 170.41.27.30

a   170.41,27.41

Laboratorio 2 : 20..2B



da 170.41.27.50

a   170.41,27.61

Laboratorio 3 : 303B





Scarica gratis Le reti
Appunti su: rete ticknet,



Scarica 100% gratis e , tesine, riassunti



Registrati ora

Password dimenticata?
  • Appunti superiori
  • In questa sezione troverai sunti esame, dispense, appunti universitari, esercitazioni e tesi, suddivisi per le principali facoltà.
  • Università
  • Appunti, dispense, esercitazioni, riassunti direttamente dalla tua aula Universitaria
  • all'Informatica
  • Introduzione all'Informatica, Information and Comunication Tecnology, componenti del computer, software, hardware ...